《广东省安全生产条例》
> M 修订解读
修订背景
修订内容
修订亮点
修订背景
《广东省安全生产条例》修改历程
《广东省安全生产条例》已由广东省第十四届人民代表大会常务委员会第 四次会议于2023年7月27日修订通过,自2023年10月1日起施行。
O----O----O----O
制定《广东省安 第一次修正
全生产条例》
|
2002年 |
2006年 |
2013 年 |
2017 年 |
2023年 |
第一次修订
第二次修正 第二次修订
(-)修订《条例》是坚决贯彻落实党中央有关重大决策部署必然要求 习近平总书记重要讲话
•树立安全发展理念,弘扬生命至上、安全第一的思想,健全公共安全体系,完善安全生产责 任制,坚决遏制重特大安全事故,提升防灾减灾救灾能力。
--2017年10月18日在中国共产党第十九次全国代表大会上的报告
•要健全风险防范化解机制,坚持从源头上防范化解重大安全风险,真正把问题解决在萌芽之 时、成灾之前。
--2019年11月29日在中央政治局第十九次集体学习时强调
•坚持安全第一、预防为主,建立大安全大应急框架,完善公共安全体系,推动公共安全治理 模式向事前预防转型。推进安全生产风险专项整治,加强重点行业、重点领域安全监管。
--2022年10月16日在中国共产党第二十次全国代表大会上的报告
党中央重要文件
•《中共中央关于制定国民经济和社会发展第十四个五年规划和二0三五年远景目标的建议》
•《中共中央、国务院关于推进安全生产领域改革发展的意见》
•中共中央办公厅、国务院办公厅印发《关于全面加强危险化学品安全生产工作的意见》
(二)修订《条例》是保证法制统一性的迫切需要
2021年6月10日全国人大常委会审议通过《关于修改〈中华人民共和 国安全生产法〉的决定》,对安全生产体制、监管制度和法律责任等都作了 较大幅度的修改。《条例》部分内容已与上位法不一致,亟待修改。
(三)修订《条例》确认机构改革和职能优化的需要
国家安监总局
国务院办公厅 公安部— 民政部\ 国土资源部
水利部 农业部
国家林业局 中国地震局
职责
应急管理职责
消防管理职责
救灾职责
|
地质灾害防治相关职责 | |
|
水旱灾害防治相关职责 | |
|
草原防火相关职责 | |
|
森林防火相关职责 | |
震灾应急救援职责
职责
国家防汛抗旱总指挥部
国家减灾委员会
国家森林防火指挥部
,11 ⅞⅝ 户
国务院抗震救灾指挥部
职责
⅛∣Sη∣
职责
W职责
广东省积极响应机构改革精 神,组建省应急管理厅以及省内 各市、县应急管理部门。县级以 上人民政府应急管理部门对本行 政区域内安全生产工作实施综合 监督管理并承担同级人民政府安 全生产委员会日常工作。
修订《条例》是有力防范化解我省各类安全生产风险的重要基础
《条例》在防范和减少生产安全事故方面发挥重要作用
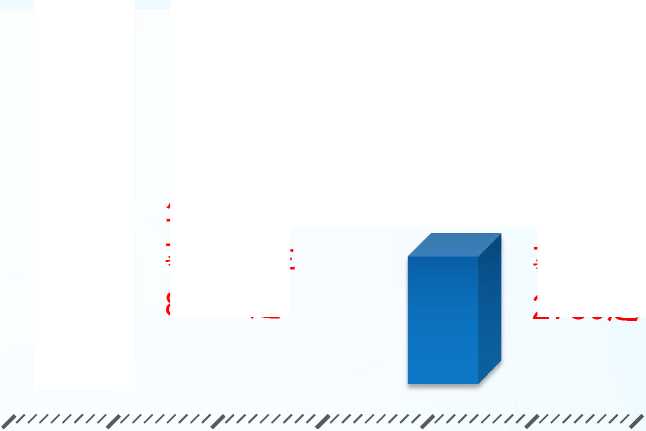
生产安全 事故死亡 人数 3951人
生产安全 事故死亡 人数2122 人
生产安全 事故发生 8331起
生产安全 事故发生 2780起
2016年 2022年
下降约46%
2016 年 2022年
下降约67%
(五)修订《条例》是巩固安全生产领域有益工作经验的需要
为了防范和减少重大安全生产事故的发生,加强安全生产工作,广东省在实践探索中 形成了系列行之有效的措施制度,包括“一线三排”工作机制、安全风险分级管控制度、安 全生产责任保险制度、复工复产安全管理制度,以及化工行业特殊作业“四令三制”、动火 作业“三个一律”、高空作业“五个必须”和有限空间作业“七个不准”等经验做法,对规 范作业、防范事故、加强监管起到了积极的作用,有必要通过修订《条例》来进一步固化这 些创新机制和成功经验。
修订内容
|
《条例》(2017) |
《条例》(2023) | |
|
总则 |
共九条 (第1条至第9条) |
共十三条 (第1条至第13条) |
|
生产经营单位的 安全生产保障 |
共二十三条 (第10条至第32条) |
共二十七条 (第14条至第40条) |
|
安全生产的 监督管理 |
共八条 (第33条至第40条) |
共十三条 (第41条至第53条) |
|
应急救援与事故 调查处理 |
共五条 (第41条至第45条) |
共七条 (第54条至第60条) |
|
法律责任 |
共六条 (第46条至第51条) |
共六条 (第61条至第66条) |
|
附则 |
共两条 (第52条至第53条) |
共两条 (第67条至第68条) |
修订后的《条例》保持原篇章结构不变,在原条文 的基础上新增27条,修改41条,删除14条,共68条。
|
修改 |
新条例条文序号:第1、2、3、4、5、6、9、10、11、12、13、14、 16、17、18、19、20、21、22、25、26、27、28、30、32、 34、35、36、43、44、49、50、53、54、57、58、59、60、 66、67、68条__________________________________________ |
|
新增 |
新条例条文序号:第7、8、15、23、24、29、31、33、37、38、 39、40、41、42、45、46、47、48、51、52、55、56、61、 62、63、64、65条 |
|
删除 |
原条例条文序号:第15、19、20、27、28、32、33、34、38、40、 47、48、49、50条 |
未依法设置安全生产管理机构或者配备安全生产管理人员
未进行安全生产考核和培训
未为从业人员提供劳动防护用品
未对重大危险源登记建档或者实时监控
生产经营场所或者宿舍不符合相关要求
提供检测、检验、认证、评价、教育培训、咨询等服务弄 虚作假的 经停产停业整顿仍不具备安全生产条件的
(1)优化立法目的和适用范围
(2)确立安全生产工作基本原则
第—早
【总则】
(共修改11条, 增加2条,修改后 13条。)
K (3)明确生产经营单位主体责任以及各级政府及相关部门、
K 镇街、功能区的安全生产工作职责
E (4)发挥工会监督作用
99 (5)加强安全生产教育体系建设
<_____丿
(6)引导行业协会加强行业自律和内部管理
(7 )对先进单位和个人予以表彰和奖励等
IF
《条例》第一条
《条例》第二条
适用范
,亠二二行政区域内生产经营单 位的安全生产以及相关的监督 管理活动
特殊领域安
全生产的法 律适用
有关法律、法规对消防安全和道 路交通安全、铁路交通安全、水 上交通安全、民用航空安全以及 核与辐射安全、特种设备安全另 有规定的,适用其规定
确立安全生产工作基本理念
《条例》第三条
以人为本
IH坚持人民至上、 生命至上
把保护人民生 命安全摆在首<
树牢安全 发展理念
强化红线意识
明确安全生产工作的方针
《条例》第三条
安全第一
预防为主〉综合治理
「从源头上防范化解重大安全风险
I I
第二章
【生产经营 单位的安全 生产保障】
(共修改17条, 删除6条,增加 10条,修改后 共27条。)
丿
1丨11】
转变监管模式
R (2)丰富监管手段
(共修改5条, 删除3条,增 加8条,修改 后共13条。)
I 丿
(3)整合监管力量
@ π∏⅛
第四章
【应急救援 与事故调查 处理】
J⅞⅛⅜⅞βAg¾⅞
E ( 2)应急救援预案制定和演练
(共修改5条,
增加2条,修
改后共7条。)
丿
B ( 3 )生产安全事故报告和调查处理
R (4)生产安全事故防范和整改
第五章 【法律责任】
(共修改1条,删
除5条,增加5条,
修改后共6条。)
.丿
(1)增设法律责任
( 2 )明确行政处罚实施主体
明确行政机关及其丁作人员不依法履职的法律责任
≡(i)术语界定
(修改2条, 修改后共2
条。)
S (2)施行时间
_______丿
修订亮点
F;
毋1.压实政府及部门监管职责
簡6.推行构建双重预防体系
會2.压实生产经营单位安全生产主体责任命7.丰富监管手段
功3.突出化工行业安全管理
4. 加强重点环节安全监管
5. 根据行业规模实行差异化管理
命8.加强社会共治
功9.完善事故应急救援体系和调查程序
功10.增设违法行为的罚则
亮点―
压实政府及部门监管职责
π
《条例》第五条
制定并组织实施安全生产规划
建立健全安全生产责任考核机制,将安全生产 纳入高质量发展评价体系
安全生产基础设施建设和安全生产监管能力 建设所需经费纳入本级预算
构建安全风险分级管控和隐患排查治理双重预防 工作机制
设立安全生产专项资金
依法组织生产安全事故应急救援和调查处理
建立健全并落实安全生产监督管理责任制
π
建立健全安全生产工作协调机制
《条例》第六条 第1款
承担同级人民政府安全 生产委员会日常工作
01
应急管理 部门综合 监管职责
06
分析安全生产形势并 及时发布安全生产信息
会同有关部门编制、 实施本地区安全生产规划
02
05
依法开展生产安全事故 应急救援和调查处理
03
04
指导协调、监督检查同级 人民政府有关部门和下级人民
政府履行安全生产工作职责
1丨11】
负责安全生产责任 制考核具体工作
(1)应急管理、交通运输、住房城乡建设、水利等有关部门依照有 关法律、法规的规定,在各自的职责范围内对有关行业、领域的安全生产工 作实施监督管理
《条例》第六条
第2、3款
(2)负有安全生产监督管理职责的部门应当相互配合、齐抓共管、
信息共享、资源共用
(3)负有安全生产监督管理职责的部门和其他有关部门的安全生产 工作职责,按照有关安全生产职责分工的规定执行。
IJIIlIZ
应急管理部门和对有关行业、领域的安全生产工作实施监督管理的部 ∏,统称负有安全生产监督管理职责的部门
M ■
S ■ ≡
:::
■ ■ ■
安全生产工作应当坚持“党政同责、一岗双责”,实行“三管三必须”
《条例》第三条
「√ 安全生产工作
厂V
管行业必须管安全
管业务必须管安全
管生产经营必须管安全
强化和落实生 产经营单位主 体责任与政府 监管责任
《条例》第六条 第2款
对新兴行业、领域的安全生产监督管理职责不明确的,由县级以上人民 政府按照业务相近的原则确定监督管理部门。
《条例》第七条
明确负责安全生产监督管理的有关工作机构及其职责
乡镇人民政府和街 道办事处,以及自 由贸易试验区、开 发区、经济合作区、 工业园区、港区、 风景区等功能区
加强安全生产监管力量建设
将安全生产纳入基层网格化管理范围
按照职责对管理区域内生产经营单位的安全生产工作 依法进行监督检查
亮点二
压实安全生产主体责任
• “全员安全生产责任制”:要求生产经营单位明确所有层级、各类岗位从业人员 的安全生产责任,建立起安全生产工作“层层负责、人人有责、各负其责”的工 作体系
一是制定完善从主要负责人到一线从业人员的安全生产责任制
二是加强生产经营单位全员安全生产责任制公示,公示内容包括所有层级、所有岗 位的安全生产责任、责任范围、考核标准等
《条例》第三十八条
将新就业形态从业人员 纳入本单位的从业人员 进行统一安全管理
建立健全并落实全员 安全生产责任制
济行域经 经兴领产 台新、生 平等业的
¥
履行法律、法规规定 的有关安全生产义务
制定的制度规则、考核 指标和平台算法应当保 障从业人员的人身安全, 防范事故发生
加强从业人员安全生 产教育和培训
鼓励购买人身意外伤害 保险、雇主责任保险等 商业保险
2、明确“人”和“机构”设置责任


生产经营单位
遵守有关安全生产的法律、法规, 加强安全生产管理,接受政府监管 和社会监督,提高安全生产水平, 确保安全生产
《条例》第四条
主要负责人
作为本单位安全生产第一责任人, 对本单位的安全生产工作全面负责
分管负责人
协助主要负责人具体履行安全生产 工作职责
生产经营单位的主要负
责人和其他责任人不得
以任何形式转移安全生
其他负责人、相关人员
在履行岗位业务工作职责的同时 履行相应的安全生产工作职责
=≡≡∏[∣ιT
KJL
一 r. r
《条例》第十六条、第六十七条
主要负责人
是指在生产经营单位中承担全面 领导责任的法定代表人、实际控 制人等主要决策人
|
蓮 制 |
组织制定并实施安全生产规章制度和安 全生产操作规程,加强安全生产标准化 建设 |
|
'教 育 |
组织制定并实施本单位安全生产教育和 培训计划 |
|
组织制定并实施生产安全事故应急救援 预案,每年至少组织和参与一次应急救 援演练_______________ |
演练 |
|
发生事故时迅速组织抢险救援,并及时、 如实报告事故情况,做好善后处理工作, 配合调査处理____________ |
ɪ 援 |
每年向职工大会或者职工代表大会、股 报
保证本单位安全生产投入的有效实施
东会或者股东大会报告安全生产情况, 接受监督
H督促安全风险分级管控、隐患排查和整
预
防
法律、法规规定的其他安全生产工作职
Γvn∏f∏l J Iu
Il Hi
改措施的落实,及时消除生产安全事故 隐患,每半年至少组织一次安全生产全
《条例》第十七条
组织落实重大危险源管理、安全风险分 级管控、生产安全事故隐患排查治理
组织拟订安全生产规章制度 并指导实施
对生产经营决策是否符合法律、法规彳 本单位安全生产管理制度提出意见・
每季度至少组织一次全面检査,及时 研究解决问题,并向主要负责人报告
安全生产工作情况
协助生产经营单位主要负责人组织并 参与应急救援演练
对拟奖惩和调整职务的从业人员, 提出安全生产工作履职意见■
法律、法规规定的其他安全生产工 作职责
《条例》第十八条
安全生 产管理 峰机构
建筑施工单位
从业人员超过一百人的金属冶炼、 危险物品使用、危险物品废弃处置 船舶修造单位
从业人员超过五十人的矿山和危险 物品生产、经营、储存、运输、装 卸单位
安全生产管理 机构/专职安全 生产管理人员
从业人员超过三百人的机械制造、建材制造、 电力、运输单位、农业机械作业合作组织
从业人员超过一千人的其他生产经营单位
《条例》第十八条第4款
矿山
金属冶炼单位
应当
危险物品的生产、储存、装卸单位
相应专业类别的注册安全工程师
从事安全生产管理工作
鼓励其他生产经营单位聘用注册安全工程师从事安全生产管理工作
《条例》第十九条
安全生产管理机构以及安全 生产管理人员职责
组织或者参与拟定本单位安全生产规章制度、操作规程和生产安全事故应急救援预案
组织或者参与本单位安全生产教育和培训,如实记录安全生产教育和培训情况
组织开展安全风险和危险源辨识、评估,督促落实本单位安全风险分级管控和重大危险源安全管理措施
组织或者参与本单位应急救援演练
组织安全生产岗位检查、日常安全检查和专业性安全检查,每月至少组织一次安全生产全面检查,及时排 查生产安全事故隐患,提出改进安全生产管理的建议
制止和纠正违章指挥、强令冒险作业、违反操作规程的行为
督促本单位履行安全生产职责,落实安全生产整改措施,组织安全生产考核
《条例》第二十二条第1、2款
(1 )安全生产相关管理人员的教育培训
主要负责人和安全生产分管 负责人、安全总监、安全生 产管理人员
必须具备
与本单位所从事的生产经 营活动相应的安全生产知 识和管理能力
负有安全生产监督管理职责 的部门
考核
考核不得收费
危险物品的生产、经营、 储存、装卸单位以及矿山、 金属冶炼、建筑施工、运 输单位的主要负责人和安 全生产分管负责人、安全 总监、安全生产管理人员
新增
(2)复工复产、离岗换岗教育培训
《条例》第二十二条第3、4款
内容:
在复工复产前对从业人员开
展安全注意事项、安全防范---
措施、应急避险措施等安全
生产教育培训
内容:
专门的安全生产教育和培训
对象:
危险物品的生产、经营、储存、 装卸单位以及矿山、金属冶炼、
建筑施工、运输单位复工复产
顷 丿
对象:
离岗六个月以上或者换岗的从 业人员
\__/
新增
安全生产教育和培训
Il
(3)明确培训费用承担主体及培训报告义务
《条例》第二十二条第5、6款
生产经营单位
组织或者指派从业人员参加安 全生产教育和培训的
A 「承担培训费用
I_______________________I
危险物品的生产、经营、 储存、装卸单位以及矿 山、金属冶炼、建筑施 工、运输单位的主要负 责人和安全生产分管负 责人、安全总监、安全 生产管理人员和特种作 业人员
Il HHBlM
培训
对象
安全培训机构
负有安全生产监督 管理职责的部门
将教师、教学和实 习实训设施等情况
书面报告
(4 )特种人员专门安全作业培训
《条例》第二十三条
委托培训
培训条件
生产经营单位
委托开展特种作业人员 安全作业培训
应当选择具备国家规定的安全 培训条件的培训机构
(5 )劳务派遣人员、学生的安全教育培训
纳入本单位的从业人员进行统一管理,进行岗位安全操 作规程和安全操作技能的教育和培训
生产经营单位
进行相应的安全生产教育和培训,提
供必要的劳动防护用品
中等职业(含技工 学校)、高等学校 实习学生
《条例》第二十四条
被派遣劳动者.
灵活用工人员
学校协助生 产经营单位 进行安全生
产教育和培 训
协议
协议
生产经营单位
学校
Il
劳务派遣 单位
|
明确各自承担的安全生产管理职责 " ・__J | |
|
Γ Iillhl Ein[∣H FH5I I πιIrlIiiinrTTɜ |
IinrnTHrrFy7I |
《条例》第十五条
纳入年度生产经营计划和
生产经营单位
财务预算
安全生产投入
按照国家有关规定,足额 提取、使用,专门用于改 善安全生产条件
Tl
承担责
予以保证
5・落实建设项目“三同时”制度
《条例》第二十五条 第1、2款
基本要求
新建、改建、 扩建工程项目 的安全设施
同时设计
同时施工
同时投入生产和使用
主体工程
安全设施投资应当纳入建设项目概算
6.建设项目“三同时”制度
施工要求
《条例》第二十五条
1丨11】
6.新增了工艺、设备与源头预防的规定
使用符合国家标准或者行 业标准的安全设备
对安全设备进行经常性维 护、保养,并定期检测, 保证正常运行
及时淘汰国家和省规 定的危及生产安全的 工艺、设备
鼓励其采用有利于改 善安全生产条件的新 工艺、新技术、新材 料、新设备
《条例》第二十九条
7、修改危险警示与告知的规定
《条例》第二十一条
设置明显的安全 警示标志
防范措施
危险警示与
告知
作业场所和工作 岗位存在的危险、 有害因素
应急措施
危险警示设置区域
因素 的生产经营场所 和有关设施、设 备上
较大危险
保障从业人
员的知情权
《条例》第三十三条
鼓励其他生产经营单位开展 安全风险监测预警
报送数据:
(一) 安全生产基础情况数据;
(二) 重大安全风险、重大危险 源和重大事故隐患数据;
(三) 重点部位和重点工艺装置 感知数据;
(四) 安全生产视频监控和监测 预警数据
亮点三
突出化工行业安全管理
π
《条例》第七条
根据产业特点、 安全风险实际分 区实行封闭化管 理
按照国家规定建 设公用工程和配 套功能设施
丿
建立完善安全生产 信息化监管体系
化工
园区
实施安全生产和应
急救援一体化管理
《条例》第二十六条
建设项目
主体工程
(完工后,需要试生 产的)
同时投入试运行 ■ ・
安全设施
试生产
建设单位
前提 在采取有效安全生产措施后,方可对生产、储存 危险化学品的建设项目进行试生产
新增
《条例》第三十条
生产经 营单位
对重大危险源登记 建档
I
;//!V定期检测、评估、监 r'"Λ!¾yj控重大危险源
登记建档内容:重大危险源的名称、 位置、性质、应急措施和可能造成的 危害等
告知从业人员和相
■ j关人员应急措施
明确本单位每一处重大危险源的主要 负责人、技术负责人和操作负责人, 对重大危险源的总体管理、技术管理、 操作管理等方面履行安全管理责任
—
备案内容:将本单位重大危险源及有 关安全措施、应急措施
IIrIIll
二十四小时专人值班制度
主体:
危险化学品生产企业以 及构成危险化学品重大 危险源的经营、储存、 使用危险化学品的生产 经营单位
领导带班制度
领导审批制度
主要负责动工
人审批 !停工
进行有限空间作业、火灾爆炸危 ;险区域或者管廊上的动火作业的
制定作业方案
《条例》第三十七条
安全生产管理机构负责
人、安全生产分管负责
人或者主要负责人审批
开具安全作业票证
亮点四
强化重点环节安全管理
π
1、加强对生产经营场所和宿舍管理
标志标识
安全设施
生产、储存、使用危险 物品的生产经营场所
生产、储存、使用危险 物品的生产经营场所
安全距离
Il
《条例》第三十四条 第1、 2、 3款
便于从业人员和社 会公众识别以及紧 急情况下的应急救 援
设置相应的通风、防潮、防雷、 防火、防爆、防毒、防静电、 隔离操作等安全设施
① 不得与员工宿舍在同一座建筑物内
k-------—-------1—
② 保持符合国家标准规定的安全距离
1 —胴丄 _
员工宿舍
生产作业场所、仓库严禁住宿和从事与生产经营无关的活动
2、强化了出口、疏散通道管理
《条例》第三十四条 第4、5款
生产经营场所
两个以上单位管理和使用的
员工宿舍
安全生 产管理 协议
《条例》第三十五条
爆破、吊装、 动火、临时用 电、悬吊、挖 掘、建设工程 拆除作业、临 近高压输电线 路、输油(气) 管线、通信光 (电)缆作业、 有限空间作和 国家规定的其
他危险作业
执行相关作业 ■
管理规定以及 ■
本单位作业管
理制度,落实
现场安全管理 ■ 措施
① 对作业现场进行安全风险识别,确认现场作业条件符合安全作业要求
② 制定作业方案或者安全防范措施,设置安全警示标志
③ 按照规定开具安全作业票证J并对安全作业票证进行现场查验确认
④ 确认作业人员的上岗资质、身体状况及配备的劳动防护用品符合 安全作业要求
⑤ 向作业人员说明危险因素、安全作业要求和应急措施
⑥ 安排专门人员进行现场安全管理J确保操作规程的遵守和安全措施 的落实
⑦ 发现直接危机人身安全的紧急情况时,采取应急措施J停止作业并 组织作业人员撤离
委托进行前款作业的
签订安全生产管理协议/在委托协议中 约定各自的安全生产管理职责
生产经营单位
基本要求
生产经营单位
X出租或发包 -------->
不具备安全生产条件或者相 应资质的单位或者个人
“三不得”
不得倒卖、出租、出借、挂靠或者以其 他形式非法转让施工资质
《条例》第三十六条
不得将其承包的全部建设工程 转包给第三人或者将其承包的 全部建设工程支解以后以分包 的名义分别转包给第三人
矿山、金属冶炼建 设项目和用于生产、 储存、装卸危险物 品的建设项目的施 工单位
不得将工程分包给不具 备相应资质条件的单位
《条例》第三十六条
发包或者出租生产经营项目、
场所的> —S
告知承包、承租单位
发包方责任一一告知义务 生产经营项目、场所的现场危险源、逃 等有关安全事项
发包或者出租生产经营设备的〉 > 设备的技术参数、操作规程和安全防护措施等
有关安全事项
发包方责任一一统一管理
(1)生产经营单位对承包单位、承租单位的安全生产工作统一协调、管理 定期进行安全检查,发现安全问题的,应当及时督促整改
(2)承包单位常驻本单位作业的,生产经营单位应当将其作业人员纳入本单位安 全生产教育和培训统一管理
承租方责任
承包单位、承租单位
应当了解掌握承包、承租的生产经营项目、场所、设备的有关 安全事项
承包、承租的生产经营项目、场所或者设备发生生产安全事故的 应当及时告知发包单位、出租单位
《条例》第三十六条 第3、4款
安全生产管理协议
生产经营项目、场所发包或者出租给其他单位的,生产经营单位 应当与承包单位、承租单位签订专门的安全生产管理协议,或者 在承包合同、租赁合同中约定各自的安全生产管理职责
《条例》第三十七条、第六十七条
餐饮等行业的生产经营单 位使用燃气的
应当
安装可燃气体报警装置, 并保障其正常使用
“燃气”是指《城镇燃 I气管理条例》定义的 燃气,即是指作为燃 ;料使用并符合一定要 求的气体燃料,包括 '天然气(含煤层气)、 液化石油气和人工煤 ■ I
Alllll
监督管理
I ■■■■
监督管理
未安装可燃气体报 警装置的
行政处罚
其他有关部门
燃气行政主管部门
亮点五
根据行业规模实行差异化管理
《条例》第三十九条
鼓励:企业集 团、连锁经营 企业
供应商、合作方
遴选
综合考核安全生产条件、安 全生产标准化建设水平以及 安全风险管控情况
■I:-,
《条例》第四十条
r小型微型企业、个体工 商户等规模小的生产经 营单位以及位置相邻、 行业相近、业态相似的 生产经营单位
可以根据实际需要 采取集群托管、资 源共享等方式
安全生产管理
集群托管、资源共享等方式不减轻或者转移生产经营 单位依法应当承担的安全生产主体责任。
同一建筑物内的多 个生产经营单位
《条例》第四十三条第1、2款
I主体:
县级以上人民政府负有安全生 产监督管理职责的部门、乡镇 人民政府、街道办事处、功能 区管理机构
新增内容
主体:
县级以上人民政府负有安全生
产监督管理职责的部门
职责:
建立健全安全生产日常检査制度, 对区域内的生产经营单位依法进 行检査,对有关信息登记、建档
职责:
根据行业分类、生产经营规模、 安全风险等级、生产安全事故情 况等确定本行业、领域的重点生 产经营单位,适度増加检查频次
亮点六
推行构建双重预防体系
《条例》第三十一条
生产经营单位
应当
落实
①开展安全风险识别、 分析、评价
②按照安全风险分级 采取相应的管控措施
发现存在重大 按照规定及时采取
安全风险的 相应的管控措施
③编制并动态更新安 全风险分级管控清单
清单内容包括风险类别、 名称、特征、位置、责 任主体、控制措施等情 况
在三日内报告
每月报 告重大 安全风
险管控 情况
所在地县级人民政府
负有安全生产监督 I
管理职责的部门
Ifl IrlIllII^n[∣∣71=≡
《条例》第三十二条第1款
如实
记录
应当落实
生产经营单位
!重大事故 隐患排查 治理情况
事故隐患排 查治理情况
雰變隐患 排查治理
职工大会或者职工代表 大会、信息公示栏、企 业内网等方式
通报
报告
负有安全生产监督 管理职责的部门
职工大会或者职工 代表大会报告
《条例》第三十二条第2款
生产经营单位
日常排查
生产经营单位的主要负责 人、安全生产分管负责人、 安全总监、安全生产管理 机构、安全生产管理人员 和其他从业人员
岗位排查
对排查出的 事故隐患
立即组织整改隐患
在隐患整改前或 者整改过程中无 法保证安全的
IIlII==TlnII≡nl I
采取应急防范措施, 必要时应当停产、停 业整改
《条例》第四十一条 第1款
县级以上人民政府
组织有关部门
建立健全本行政区 域重点行业、领域 安全风险防控体系
实行安全
风险管控
城市高层建筑 大型综合体 综合交通枢纽 隧道桥梁 管线管廊 道路交通 轨道交通 燃气 排水防涝 垃圾填埋场 渣土受纳场 电力设施 公园
其他重点行业领域、重 点区域、重点企业、重 大工程设施
跟踪安全风险变化
县级以上人
民政府负有
安全生产监
督管理职责
的部门
对本行业、领域的安全 风险信息进行汇总
及时发布预警提示信息
强化综合管控和源头治理
《条例》第四十二条第1款
组织有关部门建 立完善安全风险 评估与论证机制
加强规划安全风险 评估会商
按照安全风险管控要求,进 行产业规划和空间布局
对位置相邻、行业相近、 业态相似的生产经营单 位实施重大安全风险联 防联控
丿 \________________________________________)
《条例》第四十二条第2款
立项阶段
县级以上人民政 府发展改革部门
对涉及安全生产风险的项目 开展安全风险联合评估
确保项目符合安全生产规划、条件和标准,安全防护措施合理可行
7、建立健全隐患排查治理监管制度
《条例》第四十四条第1款
事故隐患排查治理监管方法
检查中发现事故隐患,应当责令立即排除
《条例》第四十四条第2款
县级以上人民政府 负有安全生产监督管理 职责的部门
发现重大事故隐患,应当及时登记,并督 促生产经营单位制定整改方案、落实整改 措施
重大事故隐患排除前或者排除过程中无法 保证安全的,应当责令从危险区域内撤出 作业人员,责令暂时停产停业或者停止使 用相关设施、设备
《条例》第四十五条 第1款
重大安全风险公示制度
安全生产监督
管理职责的部 门
省级负有安全
生产监督管理 职责的部门
安全风险等级降低的, 及时取消公示
省级负有安全生 产监督管理职责 的部门
建立健全重大安全风险公示制度, 依法公开本行业、领域重大安全风 险相关情况 ______
重大安全风险公示期间,加强监督 检查,督促生产经营单位采取有效 措施消除、降低或者控制重大安全 风险,避免事故发生 L-
'-O----------
督促
监督
重大生产安全事故 隐患治理督办制度
下级人民政府和负有安全 生产监督管理职责的部门
《条例》第四十五条 第2款一.
9、确立重大生产安全事故隐患治理督办制度
建立健全重大生 产安全事故隐患 治理督办制度
县级以上人民政府及 其负有安全生产监督 管理职责的部门
落实监管 责任
在规定期 限内完成 整改
对本地区、本行业领域内危险 性较大、治理难度较高、可能 造成严重后果或者较大社会影 响的重大生产安全事故隐患治 理进行督办
亮点七
丰富监管手段
《条例》第五十条
-生产经营单位
-承保安全生产责任保险的保险公司
-为安全生产提供技术、管理服务的机 构
信用信息
向社会公开
公共信用信息平台
安全生产守信激励和失信惩戒
■I:-,
《条例》第四十六条
|
r | ||
|
■ ■ |
约读 |
, * ■ |
|
k • |
县级以上人民政府 本行政区域内安全生产工作不 力的本级人民政府有关部门、 下级人民政府以及有关生产经
营单位主要负责人
构建政府内部和外部企业的约谈制度
Illl
省人民政府
应急管理部门
建立完善统一的安全 生产信息管理系统
《条例》第四十八条
实现信息跨部门、跨 地区、跨领域共享
02
县级以上 人民政府
01
推进安全生产信息化建设,组织协调有关部门建立健全信息 共享机制,实现部门间安全风险监测预警、分级管控、事故 隐患排查治理、重大危险源监控、应急救援、监管执法等信 息互联互通
组织有关部门在高危行业、领域和城市电力、燃气、 供水、排水管网、桥梁等重要基础设施以及地质灾害 隐患点等开展安全风险监测预警网络建设
检查对象涉及多个负有安全生产监督管理职责的部门的行业、领域:
负有安全生产监督管理职责的部门应当加强行政执法协作 实行联合检查
《条例》第四十三条
确需分别进行检查的,应当互通情况,发现存在的安全问题应当由 其他有关部门进行处理的,应当及时移送其他相关部门并形成记录 备查,接受移送的部门应当及时进行处理
亮点八
加强社会共治
π
《条例》第十条
|
[ 主体 |
内容 |
|
各级人民政府及有关部门、生产经营 单位 |
采取多种形式普及安全生产法律、法 规和安全生产知识,开展安全生产宣 传 |
|
省人民政府教育、人力资源社会保 障等部门 |
将安全知识普及纳入国民教育,建 立完善学校安全教育和高危行业职 业安全教育体系.将安全生产纳入 相关技能考核和就业培训内容 |
|
职业学校、技工学校 |
开展安全生产知识和技能教育 |
|
新闻媒体 |
常态化开展安全生产公益宣传,对违 反安全生产法律、法规的行为进行舆 论监督 I UUBBi .___ ■上.■ |
» ■«■■■ ■ ■ 1■■: ■■■■■■
《条例》第九条
依法组织职工参与本单位安全生 产工作的民主管理和民主监督
参与安全生产检查、事故调查等 工作
督促生产经营单位制定并落实全员安 全生产责任制以及安全风险分级管控、 事故隐患排查治理等制度
提出建议、批评和意见
生产经营单位制定或者修改有关安全生产的规章制度,应当听取工会的意见
Tl
《条例》第二十八条
矿山、危险化学品、烟花爆 竹、交通运输、建筑施工、 民用爆炸物品、金属冶炼、 渔业生产等国家规定的高危 行业、领域的生产经营单位
应当 投保
鼓励
投保
|
r |
1 | |
|
安 I责 |
R全生产 長任保际 | |
|
L |
J |
① 提供生产安全事 故预防服务
② 与投保单位协商 制定事故预防技术 服务方案
③ 每年为投保单位 开展安全风险评估 和生产安全事故隐 患排查
其他生产经营单位
④协助投保单位开 展生产安全事故预/--
防工作 .∙J⅛
《条例》第五十二条
县级以上人民 政府负有安全 生产监督管理 职责的部门
购买服务
建立健全安全生产专家 队伍和服务机制
委托专家、安 全生产服务机 构等社会力量
为安全生产提供技
术支撑和咨询服务
《条例》第十二条
加强行业自律和内部管理
各级人民政府及有 关部门
培育和发展 ----->
安全生产有关行
业协会等社会组 织
接受负有安全生 产监督管理职责 的部门的指导和 监督
提供安全生产服务
《条例》第五十一条
1
县级以上人民政府
负有安全生产监督 I
管理职责的部门
可以聘任
应急管理综合行政 执法社会监督员
提出对安全生产执法工作的建议和意见, 提供有关违法行为和风险隐患的问题线索
《条例》第五十三条
Z
居民委员会、村民 委员会
报告
发现其所在区域内的生产经营单
位存在事故隐患或者安全生产违
当地人民政府或 者有关部门
Ij
法行为时
見点九
完善事故应急救援体系和调査程序
《条例》第五十四条
主体
内容
县级以上人民政府
乡镇人民政府和街道办事处,以及自由贸 易试验区、开发区、经济合作区、工业园 区、港区、风景区等功能区
化工园区
..
生产经营单位
① 组织有关部门制定本行政区域内生产安全事故应急救援预案
② 建立应急救援体系
③ 定期组织应急救援预案演练
① 制定相应的生产安全事故应急救援预案
② 协助县级以上人民政府有关部门或者按照授权依法履行生产 安全事故应急救援工作职责
① 制定本园区生产安全事故总体应急救援预案
② 结合企业类型和工艺特点针对某一种或者多种类型的生产安 全事故制定专项应急救援预案
① 制定本单位生产安全事故应急救援预案
② 报相关行业、领域主管部门备案
③ 定期组织应急演练
《条例》第五十五条
主体 内容
①可以在重点地区和重点行业、领域建立应急救援基地和 县级以上人民政府负有安全生产监督管理应急救援队伍
职责的部门 ②可以依托有条件的生产经营单位、社会组织共同建立应
急救援队伍
化工园区 建立危险化学品专业应急救援队伍,配备装备设施
危险物品的生产、经营、储存单位以及矿 ①应当建立应急救援组织
山、金属冶炼、城市轨道交通运营、建筑 ②生产经营规模比较小的,可以不建立应急救援组织,但 施工单位 应当指定兼职的应急救援人员
r 鼓励和支持生产经营单位和其他社会力量建立应急救援队伍,
配备相应的应急救援装备和物资
Il HI Irl!illIliF_Tn 口
《条例》第五十六条
- — — I -----
话
时值班制度j
班室和值班电
县级以上人民政府 负有安全生产监督 管理职责的部门
受理事故报告 和举报,上报 事故情况
《条例》第五十七条第1-3款
事故现场有关人员
立即启动生产安全事故应 急救援预案,迅速采取有 效措施,组织抢救
立即报告
本单位负责人
立即
于一小时内按照国家 有关规定如实报告
县级以上人民政府负 有安全生产监督管理 职责的部门
;立即赶到! 事故现场, 组织事故;
;抢救
:新
:增
有关地方人民 政府和负有安 全生产监督管 理职责的部门 的负责人
应急管理部门和其 他负有安全生产监 督管理职责的部门 接到事故报告后, 应当
按照国家有关规定上报 事故情况
《条例》第五十七条第4款
当地公安、司 法机关
应当依法采取有效措施
防止有关责任 人员函逸或者
转移、隐匿财 产
《条例》第五十八条
(1)事故调查主体
负责事故调 查的人民政 府
可以直接组织事故调查组
事故调查组实行组长负责制
可以依法授权或者委托本级人民政府应急管理部门或者负 有安全生产监管职责的部门组织事故调查组
|
未造成人员伤 |
县级人民政府可以依法委托 |
|
Tɪ" 6^1—jhzɪ-丰 ⅛⅛ | |
|
I—的 般事故 |
T |
事故发生单位 组织事故调查组
X
在当地负有安全生产监 督管理职责的部门指导 下进行事故调查工作
造成人员伤亡或者三百万元以上 直接经济损失的
不可以委托
在法定期限内,因事故伤亡人数或者直接经济损失变化导致事故等级发生变化的, 应当依法按照变化后的事故等级组织事故调查组进行调查。
(2)事故调查基本原则和主要任务
《条例》第五十九条 第1、2款
及时、准确查清事故原因
评估应急处置工作
查明事故性质和责任
ffi∙Ms^
原则
席W爲達
提出整改措施
总结事故教训
对事故责任单位和 人员提出处理建议
技术
分析事故原因
事故调查报告
管理
依法向社会公布
《条例》第五十九条 第3款一
整改落实情况
向从业人员公开
负有安全生产监管职 责的部门报告
《条例》第六十条
加强生产安全事故调查分 析技术支撑体系建设
建立生产安全事故暴露问 题整改督办制度
对安全生产制度和措施存在 的漏洞、缺陷及时予以修改 完善
督促相关行业、领域生产 经营单位加强防范和整改
负责事故调 查处理的县 级以上人民 政府
批复调查报告后 一年内
评估主体:
评估内容:
评估结果:
组织有关部门
事故整改和防范措施落实情况
向社会公开
:履行职责导致事故 整改和防范措施没
;有落实的有关单位;
I和人员 ■
追究责任
亮点十
增设违法行为罚则
π
(一)对离岗六个月以上的从 业人员未进行专门安全生产教 育和培训的;
责令限期改正,可以处五万元 以下的罚款
《条例》第六十一条
(二)未将灵活用工人员纳入 本单位的从业人员进行统一管 理,对其进行岗位安全操作规 程和安全操作技能的教育和培 训的。
逾期未改正的
V
责令停产停业整顿,并处五万元 以上十万元以下的罚款,对其直 接负责的主管人员和其他直接责 任人员处一万元以上二万元以下 的罚款
《条例》第六十二条
生产经营单位、安全培训机构
应当I
(一) 对特种作业人员进行安全作 业培训的,应当具备国家规定的安 全培训条件,并按照国家统一的培 训大纲进行;
(二) 生产经营单位委托安全培训 机构开展特种作业人员安全作业培 训的,应当选择具备国家规定的安 全培训条件的机构。
责令限期改正,并处五万元以 上十万元以下的罚款,对其直 接负责的主管人员和其他责任 人员处一万元以上二万元以下 的罚款;
逾期未改正的,责令停产停业 整顿。
违法对特种作业人员开展安全作 业培训
《条例》第六十三条
责令限期改正,予以警告;
责令限期改正,可以处三万元以下的罚款;
未按照规定明确本单位每一 处重大危险源的主要负责人、 技术负责人和操作负责人的
未按照规定报告重大安全风
险基本情况或者管控情况的
逾期未改正的,责令停产停业整顿,并处三万元以上五 万元以下的罚款,对其直接负责的主管人员和其他直接 责任人员处一万元以上二万元以下的罚款
逾期未改正的,责令停产停业整顿,并处三万元以下的 罚款,对其直接负责的主管人员和其他直接责任人员处 一万元以下的罚款。
■ ■ ■
《条例》第六十四条
危险化学品生产企业以及构成危险 化学品重大危险源的经营、储存、
使用危险化学品的生产经营单位
未制定或者未落实领导 带班制度
动工、停工或者复工, 未经主要负责人审批
进行有限空间作业、火灾爆炸危险区 域或者管廊上的动火作业,未经安全 生产管理机构负责人、安全生产分管 负责人或者主要负责人审批的
责令限期改正,可以处三万元以下的罚款
对其直接负责的主管人员和其他直接责任 人员处一万元以上二万元以下的罚款
HIIHj
逾期未改正
责令停产停业整顿,并处三万元以上 五万元以下的罚款
5、明确行政处罚执法部门
《条例》第六十五条
《条例》第六十六条
负有安全生产监督管理 职责的部门的工作人员
对不符合法定安全生产条 件的涉及安全生产的事项 予以批准或者验收通过
对已经依法取得批准的单位 不履行监督管理职责,发现 其不再具备安全生产条件而 不撤销原批准或者发现安全 生产违法行为不予查处
发现未依法取得批准、验 收的单位擅自从事有关活 动或者接到举报后不予取 缔或者不依法予以处理
在监督检查中发现重大事 故隐患,不依法及时处理
构成犯罪的,
依法追究刑
事责任