中华人民共和国国家标准
医药工艺用水系统设计规范
Code for design of pharmaceutical process water system
GB 50913-2013
主编部门:中国医药工程设计协会
批准部门:中华人民共和国住房和城乡建设部
施行日期:2014年5月1日
中华人民共和国住房和城乡建设部公告
第150号
住房城乡建设部关于发布国家标准《医药工艺用水系统设计规范》的公告
现批准《医药工艺用水系统设计规范》为国家标准,编号为GB 50913-2013,自2014年5月1日起实施。其中,第3.0.1、4.1.2、4.2.3、4.3.4(1)、4.3.7、4.4.2、4.4.4(3)、4.5.2、4.6.3、4.7.3、5.2.4、5.4.5、5.5.1、7.1.1条(款)为强制性条文,必须严格执行。
本规范由我部标准定额研究所组织中国计划出版社出版发行。
中华人民共和国住房和城乡建设部
2013年9月6日
前言
本规范是根据住房和城乡建设部《关于印发<2008年工程建设标准规范制订、修订计划(第二批)>的通知》(建标[2008]105号)的要求,由中国医药集团联合工程有限公司会同有关单位共同编制完成的。
本规范在编制过程中,编制组经广泛调查研究,认真总结医药工艺用水在工程实践中的经验,参考有关国际标准,并广泛征求意见,最后经审查定稿。
本规范共分8章和3个附录,主要内容包括:总则、术语和符号、水质、工艺系统设计、管道、站房、建筑与结构、公用工程等。
本规范中以黑体字标志的条文为强制性条文,必须严格执行。
本规范由住房和城乡建设部负责管理和对强制性条文的解释,由中国医药工程设计协会负责日常管理,由中国医药集团联合工程有限公司负责具体技术内容的解释。本规范在执行过程中如有意见或建议,请寄送至中国医药集团联合工程有限公司(地址:湖北省武汉市武昌区黄鹂路25号,邮政编码:430077),以供今后修订时参考。
1 总 则
1.0.1 为在医药工艺用水系统设计中贯彻执行《药品生产质量管理规范》(GMP),做到技术先进、经济合理、运行可靠、确保质量,满足环境保护和节约能源的要求,制定本规范。
1.0.2 本规范适用于新建、改建和扩建的医药工艺用水系统的设计。
1.0.3 医药工艺用水系统的设计应为施工安装、维护管理、检修和运行创造必要的条件。
1.0.4 医药工艺用水系统的设计,除应符合本规范外,尚应符合国家现行有关标准的规定。
2 术语和符号
2.1 术 语
2.1.1 医药工艺用水 pharmaceutical process water
医药生产工艺过程中使用的水,包括生活饮用水、纯化水、注射用水。
2.1.2 原水 raw water
进入医药工艺用水生产装置或设备有待进一步处理的水。
2.1.3 生活饮用水 drinking water
指供人生活的饮水和生活用水,简称饮用水。
2.1.4 纯化水 purified water
蒸馏法、离子交换法、反渗透法或其他适宜的方法制得的医药工艺用水,不含任何添加剂。
2.1.5 注射用水 water for injection
纯化水经蒸馏所得的水。
2.1.6 分配系统 distribution system
从产生或供应的地方到使用点配送工艺用水的整套系统。
2.1.7 站房 station building
制备医药工艺用水的建筑物的总称。
2.1.8 确认 qualification
证明厂房、设施、设备能正确运行并可达到预期结果的一系列活动。
2.1.9 纯蒸汽 pure steam
用纯化水或注射用水经蒸汽发生器或多效蒸馏水机制得的蒸汽。
2.1.10 死角 dead leg
在医药工艺用水系统中可能导致工艺用水污染的滞流区域/点。
2.1.11 卫生 hygienic
设备或管路系统的设计、材质和操作符合其清洁维护要求,由设备或管路系统生产出的工艺用水不会对人类和生物健康产生不利的影响。
2.2 符 号
2.2.1 设计流量:
Q——管路设计流量;
Qmax——所有用水点的累积最大出水量;
Qb——回水流量。
2.2.2 管径确定:
d——管道内直径;
Vf——工艺用水的体积流量;
u——工艺用水的平均流速;
W——工艺用水的质量流量;
ρ——工艺用水的密度。
2.2.3 压力损失计算:
△Pf——管道总摩擦压力降;
λ——摩擦系数;
L——管道长度;
D——管道内直径;
K——管件、阀门等阻力系数;
△Ps——静压力降;
Z1、Z2——分别为管道系统始端、终端的标高;
g——重力加速度;
△PN——速度压力降;
u1、u2——分别为管道系统始端、终端的流体流速;
△P——管道系统总压力降;
k——裕度系数;
△Pfz——直管段摩擦压力降;
△PK——流体经管件或阀门的压力降;
△Pkf——阀门的局部压力降;
Kv——阀门的流量系数。
3 水 质
3.0.1 医药工艺用水的水质应符合生产工艺要求的质量标准。
3.0.2 医药工艺用水的水质应符合下列要求:
1 饮用水水质应符合现行国家标准《生活饮用水卫生标准》GB 5749的有关规定。
2 纯化水水质应符合表3.0.2的规定和药品生产要求。
3 注射用水水质应符合表3.0.2的规定和药品生产要求。
表3.0.2 纯化水和注射用水检查项目

4 工艺系统设计
4.1 一般规定
4.1.1 水源应保证连续供应所需的水量和稳定的水质。
4.1.2 制水工艺流程应根据原水水质、生产工艺对工艺用水的水质要求进行选择。
4.1.3 工艺用水系统应符合下列要求:
1 应满足经济、适用的要求。
2 应满足布置紧凑、操作简便、安全可靠的要求。
3 应满足节水、节能和环境保护的要求。
4.1.4 工艺用水系统的设计能力应根据用水量和生产负荷确定。
4.2 工艺用水制备
4.2.1 饮用水可采用混凝、沉淀、澄清、过滤、软化、消毒、去离子、沉淀、减少特定的无机/有机物等物理、化学和物理化学的方法制备。
4.2.2 纯化水制备的原水应采用饮用水,并应采用合适的单元操作或组合的方法制备,如蒸馏、离子交换、反渗透、过滤等。
4.2.3 注射用水的水源应以纯化水为水源,并应采用蒸馏方法制备。
4.3 设 备
4.3.1 预处理设备应根据原水水质配备,出水水质应符合后续处理设备的进水要求。
4.3.2 蒸馏水机应符合现行行业标准《多效蒸馏水机》JB/T 20030及《热压式蒸馏水机》JB 20029的有关规定。
4.3.3 多效蒸馏水机应设置原水泵。
4.3.4 纯化水储罐和注射用水储罐的设计和选型,应符合下列要求:
1 纯化水储罐应采用无毒、耐腐蚀材料制造。注射用水储罐应采用优质低碳不锈钢制造。
2 纯化水储罐和注射用水储罐的罐盖、人孔和罐底阀门等零部件应设计为卫生连接的方式,并应便于拆卸和清洗。可拆卸零部件与罐体之间的密封材料应无毒、无析出物、耐高温、无脱落物。
3 罐体结构件不得有裂纹、开焊和变形,内壁表面应光滑平整、无死角。
4 纯化水储罐和注射用水储罐的最低处应设置排放口,排水管路不应出现使水滞留的部位。储罐应设置液位计量装置,液位计量装置不得有对水质产生污染的风险。除采用臭氧连续灭菌的储罐外,再循环系统储罐顶部应设置喷淋装置,喷淋装置的设置应避免形成能滋生微生物的死角。
5 储罐的通气口应安装不脱落纤维的0.22μm疏水性通气过滤器,并应能满足输水泵以最大流量注入水或在高温消毒的循环水中体积收缩的情况下有效地卸放负压的要求。
6 当纯化水储罐和注射用水储罐采用灭菌时,储罐应按压力容器设计,并应达到卫生设计标准。对需热贮存的注射用水储罐罐体应保温,保温层表面应平整、光洁。
4.3.5 储罐的大小应能满足各种用水条件下的储水量要求。纯化水储罐和注射用水储罐的容量应符合下列要求:
1 贮水量的大小应符合下列要求:
1)应满足系统循环时蒸馏水机连续运行的要求;
2)满足用水点的平行以及顺序的各种加工要求;
3)在用水高峰时期,储罐内的水位不应低于输送泵净正吸水压头所要求的水位,并确保有足够的水流流过所有的供水点和回水管道。
2 应满足在制水设备出现故障或因设备消毒或再生循环而停产的情况下提供短期储备用水的要求。在确定储罐的容量时,应能够保证提供生产一个批次产品或者一个工作周期或其他合理需求的一段时间的用水。
4.3.6 纯化水和注射用水输送泵应采用不锈钢卫生泵、卫生卡箍作连接件。泵所有的润湿零部件应采用优质低碳不锈钢材质加工,泵外壳底部应能完全排除积水,泵出水口宜设置为45°。当采用双端面机械密封时,纯化水输送泵应采用纯化水润滑,注射用水输送泵应采用注射用水润滑。
4.3.7 注射用水输送泵提供的扬程和流量应确保水在输送系统中保持湍流。
4.3.8 过滤器的设置应符合下列要求:
1 过滤器的大小和材质应根据水的流量和水质确定,应对过滤系统内水压力进行监控。
2 在纯化水储罐出水口、分配输送管路不宜使用过滤器,在注射用水储罐出水口、分配输送管路不应使用过滤器。
4.3.9 换热器应按卫生要求设计,应采用优质低碳不锈钢制造。换热器不应出现使水滞留和不易清洁的部位。
4.4 工艺用水的分配输送
4.4.1 饮用水系统应设计成单向的保持持续正压的分配系统。
4.4.2 纯化水、注射用水的分配输送应有防止微生物滋生和污染的措施。
4.4.3 纯化水宜采用循环输送。循环输送管路应符合下列要求:
1 循环供水流速宜大于1.5m/s。
2 循环回水流速不宜小于1.0m/s,循环回水流量宜大于泵出口流量的50%。
3 支管长度不宜大于支管管径的3倍。
4.4.4 注射用水应采用循环输送。循环输送管路应符合下列要求:
1 宜采用70℃以上保温循环。
2 循环供水流速宜大于1.5m/s。
3 循环回水流速不应小于1.0m/s。
4 循环回水流量宜大于泵出口流量的50%。
5 支管长度不宜大于支管管径的3倍。
4.4.5 纯化水、注射用水可根据需要采用不同的循环方式确保纯化水、注射用水水质和使用要求。纯化水、注射用水宜采用单管循环输送,并应符合下列要求:
1 不含管道弯曲、弯头等的总长度应小于400m。
2 循环供水管路的直径DN不宜大于65mm。
3 当不能满足本条第1款、第2款的要求时,纯化水、注射用水的分配输送管路应采用双管循环输送或二次分配系统循环输送。
4.5 纯化水、注射用水系统的清洗、消毒和灭菌
4.5.1 预处理设备应根据运行和维护的要求设置清洗、消毒或灭菌措施。
4.5.2 纯化水储罐和输送系统应设置清洗、消毒设施。
4.5.3 注射用水储罐和输送系统应设置在位清洗、在位灭菌设施。
4.5.4 消毒灭菌措施应符合下列规定:
1 选用紫外线消毒时,紫外线有效剂量不应低于40mJ/cm2,紫外线消毒设备应符合现行国家标准《城市给排水紫外线消毒设备》GB/T 19837的规定。紫外灯应有计时器和照度计。
2 采用臭氧消毒时,宜采用紫外线照射除去臭氧。
3 根据季节变化,消毒方法可组合使用。
4.6 纯化水、注射用水的检测和控制
4.6.1 直接应用于药品生产某个阶段或作为原水生产纯化水的饮用水应定期检查。
4.6.2 消毒灭菌设备应安全可靠。
4.6.3 纯化水和注射用水系统的工艺参数应进行监控,并应按取样标准操作程序规定设置取样口检测水质。纯化水和注射用水在线检测系统应具备水质超标时程序报警功能。
4.6.4 纯化水系统宜安装流量、压力、温度、电导率等检测仪表,同时应根据水质要求配置水样的物理、化学和微生物污染等离线检测设备。注射用水系统应安装流量、压力、温度、电导率和总有机碳等检测仪表,同时应根据水质要求配置水样的物理、化学和微生物污染等离线检测设备。
4.6.5 纯化水和注射用水系统宜设自动化控制系统,并应具有手动控制功能。控制系统应运行安全可靠,应设置故障停机、故障报警装置。
4.6.6 纯化水和注射用水控制系统应有各设备运行状态和系统运行状态指示或显示,可按工艺要求按设定的程序进行自动运行。
4.6.7 纯化水和注射用水控制系统宜能显示重要运行参数,并宜设定监测指标的警戒限度与纠偏限度。
4.6.8 纯化水和注射用水控制系统应对缺水、过压、过流、过热、不合格水排放等有保护功能,并应根据反馈信号进行相应控制、协调系统的运行。
4.6.9 需要安装在工艺用水系统上的压力、温度及其他仪表,应满足卫生及在位清洗、在位灭菌要求。
4.7 纯蒸汽制备及输送
4.7.1 纯蒸汽应采用纯化水或注射用水经纯蒸汽发生器或多效蒸馏水机制备。
4.7.2 纯蒸汽分配系统应避免死角和冷凝水的积聚,安全阀、疏水器设置应合理。用于纯蒸汽的疏水器应为卫生设计、自行排水。
4.7.3 纯蒸汽输送应采用优质不锈钢或优质低碳不锈钢管道。
4.7.4 纯蒸汽流速宜小于25m/s,最大不得超过37m/s。纯蒸汽的凝水应排至单独的排水系统中。
5 管 道
5.1 一般规定
5.1.1 管道的设计应符合下列要求:
1 纯化水、注射用水管路系统宜避免死角、盲管。
2 管道布置设计应便于操作、安装及维护。
5.1.2 纯化水、注射用水制备系统宜预留清洗口,清洗口宜设在站房。
5.1.3 水平管道应有0.5%~1%的坡度,管路系统的排放管道应设置排放阀,排放管不应直接通向室外大气,应与地漏等保持空气阻断。
5.1.4 工艺用水管道宜布置在技术夹层或技术夹道内。引入洁净室(区)的管道当需要拆卸时宜明敷。
5.1.5 管道布置应确保工艺用水系统的独立性,不同水质的管路间应无交叉污染的风险。
5.1.6 用水点阀门应就近连接至设备。
5.2 管道的材质、阀门和附件
5.2.1 管道、管件等材料应在规定的使用压力和温度下具有足够的机械强度和耐腐蚀性能。
5.2.2 用于饮用水的输送管道、管件等的材料,宜选用不生锈、无腐蚀、无渗漏、无结垢的材料。
5.2.3 用于纯化水的输送管道、管件等的材料,应选用无毒、耐腐蚀的材料,宜选用内壁抛光的优质不锈钢材料或其他不污染纯化水的材料。
5.2.4 用于注射用水的输送管道、管件等的材料,应选用内壁抛光的优质低碳不锈钢材料或其他不污染注射用水的材料。
5.2.5 纯化水管道上的阀门应采用与连接的管道相适应的材料,管道上阀门应采用焊接或卡箍连接,不应采用螺纹连接,管道与法兰连接时应对齐,垫片内圈应与管道内壁等径,垫片应选用耐高温、不反应、不脱落、无析出物产生的材料。
5.2.6 注射用水管道上的阀门应采用焊接或卡箍连接的优质低碳不锈钢隔膜阀。
5.2.7 纯化水和注射用水系统管道上需要安装压力、温度及变送器等仪表时,应在管路上预留异径三通或等径三通接装仪表。
5.3 管径确定和压力损失计算
5.3.1 管径应根据工艺用水的流量、流速及管道允许的压力损失等确定。
5.3.2 工艺用水循环供水管路的直径应符合本规范第4.4.4条的规定。
5.3.3 工艺用水管径的确定应符合下列规定:
1 工艺用水管道的内径可按下式计算:
![]()
式中:d——管道内直径(mm);
Vf——工艺用水的体积流量(m3/h);
u——工艺用水的平均流速(m/s);
W——工艺用水的质量流量(kg/h);
ρ——工艺用水的密度(kg/m3)。
2 应按公式(5.3.3)计算得到的管道内径调整为实际内径,并应最后复核实际平均流速。
3 应以实际的管内径与平均流速核算管道压力损失,并应确认选用管径。管道压力损失不满足要求时,应重新计算。
5.3.4 管道平均流速不应超出1m/s~3m/s的流速允许范围。
5.3.5 工艺用水管道总压力损失应为管道摩擦压力降、静压力降以及速度压力降之和,并应计入适当的裕度,同时应符合下列要求:
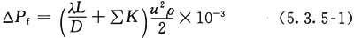
1 摩擦压力降可按下式计算:
![]()
式中:△Pf——管道总摩擦压力降(kPa);
λ——摩擦系数,无因次;
L——管道长度(m);
D——管道内直径(m);
∑K——管件、阀门等阻力系数之和,无因次;
u——工艺用水的平均流速(m/s);
ρ——工艺用水的密度(kg/m3)。
2 静压力降可按下式计算:
![]()
式中:△Ps——静压力降(kPa);
Z1、Z2——分别为管道系统始端、终端的标高(m);
g——重力加速度,9.81 m/s2。
3 速度压力降可按下式计算:

式中:△PN——速度压力降(kPa);
U1、U2——分别为管道系统始端、终端的工艺用水流速(m/s)。
4 管道系统总压力降可按下式计算:
![]()
式中:△P——管道系统总压力降(kPa);
△Ps——静压力降(kPa);
△PN——速度压力降(kPa);
△Pf——摩擦压力降(kPa);
k——裕度系数,取1.2~1.3。
5.3.6 管道允许的压力损失不宜超过0.05MPa/100m。
5.4 管道安装
5.4.1 不锈钢管道安装前,应确保每一个焊接点的操作空间符合焊接操作需求,并应确保在焊接焊缝时有含量不低于99.99%的惰性气体保护。
5.4.2 不锈钢管道的焊接应采用惰性气体保护焊接。焊接结束后应再用洁净水试压,试压合格后应对管道进行清洗、钝化处理,管道的试验压力应符合现行国家标准《工业金属管道工程施工规范》GB 50235的规定。
5.4.3 引入洁净室(区)的明敷管道应在洁净室间隔完成后安装。
5.4.4 不同的管材、管件或阀门连接时,应使用专用的转换连接件。
5.4.5 阀门安装应便于操作,不得妨碍设备、管道及阀门本身的拆除和检修。
5.4.6 不锈钢管道支架应采用不锈钢管托。塑料管可采用配套的塑料管卡。当塑料管采用金属管卡时,金属管卡与管道之间应采用塑料带或橡胶等软物隔垫。
5.4.7 穿越墙、楼板、吊顶的管道应设套管。管道和套管之间应有密封措施。
5.5 保 温
5.5.1 注射用水的热或冷贮存输送系统的管道应保温。
5.5.2 采用热力灭菌方式的纯化水系统的管道宜保温。
5.5.3 洁净区的保温材料应采用不释放纤维和颗粒的材料,保温材料可溶出氯化物、氟化物、硅酸盐及钠离子的含量应符合现行国家标准《覆盖奥氏体不锈钢用绝热材料规范》GB/T 17393的有关规定,并应采用不释放纤维和颗粒的材料作外壳保护。
6 站 房
6.1 一般规定
6.1.1 站房位置应根据下列因素,经技术经济比较后确定:
1 靠近工艺用水负荷中心。
2 供水、排水合理。
3 利于设备运输、安装。
4 避免靠近有毒害气体、腐蚀性介质及粉尘产生的场所。
5 不宜布置在变配电站的上方。
6.1.2 站房的规模应根据生产规划所规定的任务,以近期目标为主,并结合远期发展要求,综合分析确定。
6.1.3 站房内接触或可能接触腐蚀性介质的设备表面,应涂衬合适的防护层或采用耐腐蚀材料制作。
6.1.4 站房噪声应符合现行国家标准《工业企业噪声控制设计规范》GB/T 50087的有关规定。
6.2 站房布置
6.2.1 站房布置宜包括设备间和化验室,纯化水制备和注射用水制备宜按区域分开布置。对实施自动化控制的站房应设置控制室。
6.2.2 非独立的站房宜和其他相邻设施隔开。
6.2.3 站房面积应满足设备和管道的布置、安装、操作、维修,以及扩大产能可能性的要求。
6.2.4 站房高度应根据设备高度、安装、吊运,以及站房内通风、采光要求等因素确定。
6.3 设备布置
6.3.1 制水设备宜按工艺流程的顺序以及设备和设施的不同功能布置。
6.3.2 设备布置应留有适当的通道和空间,并应满足正常运行、换料、清洗和维修要求。
6.3.3 同类设备宜相对集中布置。
6.3.4 振动设备应采取减振装置,其噪声应符合现行国家标准《工业企业噪声控制设计规范》GB/T 50087的有关规定。
6.3.5 设备中的阀门、取样口等应排列整齐、便于操作。
6.3.6 酸碱储罐宜布置在室外,寒冷地区可布置在室内。
6.3.7 离子交换柱应相对成列布置,相邻设备间的净距不宜小于0.4m,设备本体为法兰连接时,净距离应适当加大。
6.3.8 电渗析器的突出部分与墙壁净间距不应小于1.0m,与动力设备的净距离不应小于1.5m。电渗析器本体四周应设置排水沟/围堰。
6.3.9 反渗透装置两侧应保持足够的通行宽度,前后应留有足够的空间装卸膜元件。
6.3.10 蒸馏水机及储罐宜靠外墙设置,突出部分与墙壁净间距不宜小于0.5m。
7 建筑与结构
7.1 建 筑
7.1.1 站房应为戊类火灾危险性生产场所,站房的耐火等级不应低于二级。非独立的站房耐火等级不应低于主体建筑耐火等级。
7.1.2 站房地面、墙壁、顶棚应采用防水、防潮、防霉、易清洗的材料铺设。门窗应采用不易变形材料制成,并应采取防蚊蝇、防尘、防鼠等措施。
7.1.3 对有酸、碱侵蚀的站房地面、门窗、墙柱、围堰或地沟、中和池等建(构)筑物的设计,应符合现行国家标准《工业建筑防腐蚀设计规范》GB 50046的有关规定。
7.1.4 站房应预留能通过设备最大搬运件的安装洞,安装洞可结合门窗洞或非承重墙处设置。
7.1.5 站房通向室外的门应满足安全疏散、便于设备出入的要求。
7.1.6 控制室应设观察窗,观察窗窗台标高不宜高于0.8m,控制室的面积应根据表盘和控制柜的数量确定。控制室宜采用防尘地面,其内墙应光滑平整。
7.2 结 构
7.2.1 站房宜采用砖混、钢筋混凝土结构。非独立的站房应与主体建筑统一设计。
7.2.2 站房基础类型和地基处理措施应根据地基土质、站房特点、施工条件和运行要求等因素确定。
8 公用工程
8.1 电 气
8.1.1 除生产工艺明确要求不能中断供应工艺用水外,站房内制水工艺及辅助设施应按三级负荷供电。
8.1.2 站房应有良好的采光及照明,应符合现行国家标准《建筑照明设计标准》GB 50034的规定。
8.1.3 在站房的主要操作地点和通道,宜设置事故照明。
8.1.4 电气设施应满足防潮、防霉及防腐蚀的要求。
8.1.5 站房应设置与其他生产设施内部联系的通信装置。
8.1.6 站房可根据企业规划和生产管理要求,设置视频监视系统。
8.2 给水排水
8.2.1 进入站房的原水管径大小除应满足工艺用水制备的要求外,宜留有发展余量。
8.2.2 管道外表面可能结露时,应采取防结露措施。
8.2.3 站房内的围堰或地沟应能排除积水、便于清洁。
8.2.4 站房的排水汇集管道应采用耐腐蚀的管材。
8.2.5 站房内应设包括消防给水系统及必要的固定灭火装置等消防设施,并应符合现行国家标准《建筑设计防火规范》GB 50016的有关规定。
8.3 暖通空调
8.3.1 站房应保证通风良好,应采用有组织的自然通风。当自然通风不能排除蒸馏水机、工艺用水储罐等的余热时,应设置机械通风。
8.3.2 化验室和控制室宜设置空调和采暖设施。
8.3.3 站房设备间的温度不宜低于15℃。严寒地区的站房在非运行期间,可根据当地情况设置采暖设备。
附录A 工艺用水系统的管理和检查、维护
A.1 工艺用水系统的管理
A.1.1 工艺用水系统管道网络图的内容应包括管线、阀门、通气点、排水点、用水点、取样点、清洁点、检验仪表与仪器、水流速度、循环方式等。
A.1.2 工艺用水系统档案,应包括下列内容:
1 工艺用水系统管道网络图。
2 制造、安装厂家的有关资料附件。
3 工艺用水系统工艺规程及标准作业程序(SOP)。
4 工艺用水系统的清洁管理规程及标准作业程序(SOP)。
5 工艺用水质量标准、监测操作规程。
6 记录系统。
7 取样操作规程、检验操作规程等。
8 取样指南、测试程序、验证程序。
9 周期性回顾检查频率、要点。
A.1.3 工艺用水系统日常运行,应符合下列要求:
1 应按操作规程对工艺用水系统实施监控,并应记录各种仪表的数值,同时应定期进行趋势分析。
2 质量控制部门应定期检测水系统的运行状况,并应根据各项指标确定是否需要处理和更换各种组件。
3 应按操作规程消毒、灭菌纯化水、注射用水管道,以及其他供水管路。
4 工艺用水系统停用后再次启动前,应对管路进行清洗。
5 水质检验记录应保存三年。
6 水质检验报告书应附于批生产记录内。
A.1.4 工艺用水系统的现场管理,应符合下列要求:
1 各类管道均应有指明其内容物名称及流向的标识。
2 储水罐等应有内容物名称标识。
3 主要阀门应有开关状态标识。
4 现场宜有工艺用水系统图,操作工应能熟练讲解工艺用水制备的流程。
5 配制清洗液用的容器具、清洁储水罐用的工器具等均应在现场保存。
6 现场操作室不得有积水,卫生状况应良好。
7 用于水质检测的试剂、玻璃器具等均应在现场保存。
A.2 工艺用水系统的检查、维护
A.2.1 工艺用水系统的检查项目以及合理的督察计划,应包括下列内容:
1 所有取样点的取样和监测计划。
2 监测中需要报警和采取措施的参数设定。
3 监测结果和趋势评估。
4 对系统最近一次年度检查结果的审查。
5 对最后一次检查后系统的所有变更进行审查,并检查是否实施了变更控制。
6 审查所记录的变动以及对变动进行过的调查。
7 对系统状态和条件的全面检查。
8 审查维护、失败和维修记录。
9 检查关键仪器设备的校审和校准。
10 对于新系统还需检查系统性能确认、运行确认、安装确认文件。
A.2.2 工艺用水系统应按标准作业程序(SOP)维护,并应包括下列内容:
1 关键仪表的校验计划。
2 系统各部件的维护频率。
3 特定作业的标准作业程序(SOP)。
4 对设备备件的控制。
5 维修指令和计划的发布。
6 在维修工作完成后,系统投入使用前的审查和批准。
7 维护过程中的记录,对偏差的审核、评估及纠正措施等。
附录B 纯化水、注射用水系统确认要求
B.1 纯化水、注射用水系统确认的内容
B.1.1 设计确认(DQ)应包括检查设计的完整性,检查设计满足用户需求、生产工艺需求的符合性,检查设计满足GMP要求和产品质量标准的符合性。
B.1.2 安装确认(IQ)应包括文件和图纸确认,系统图和布置图的确认,设备/部件(包括备件)确认,仪器仪表确认,控制系统硬件确认,控制系统软件确认,与产品接触材质确认,死角检查,焊接文件确认,排放能力的确认,压力测试的确认,脱脂清洗和钝化的确认,公用设施确认。
B.1.3 运行确认(OQ)应包括系统验证仪器校准的确认,人机界面的确认,运行功能的确认,报警和联锁的确认,关键操作参数(包括运行和消毒方式相关参数)测试,制备系统单元操作的确认,储存分配系统的确认,水质离线检测。
B.1.4 性能确认(PQ)应在安装确认(IQ)及运行确认(OQ)合格的前提下,检查工艺用水系统满足生产要求的符合性,以及检查送水口、回水口、各使用点工艺用水的各项相关指标满足工艺用水质量标准的符合性,并应确保系统稳定连续地生产出合格的水,以及确认清洗消毒周期。
纯化水、注射用水系统性能确认过程中,应按系统标准操作程序、维护保养程序、取样程序、检验规程和质量标准进行操作和判定。出现个别取样点水质量不符合标准的结果时,应按异常情况处理程序进行处理。
B.2 纯化水、注射用水确认文件目录
B.2.1 纯化水、注射用水系统的确认文件应包括设计确认的方案和报告、安装确认的方案和报告、运行确认的方案和报告、性能确认的方案和报告。
B.2.2 纯化水、注射用水系统的确认,可分解为制备系统的确认、储存和分配系统的确认。
B.2.3 设计确认,文件目录可包括下列内容:
1 批准页。
2 目的。
3 范围。
4 职责。
5 参考标准。
6 系统描述。
7 确认项目可包括下列内容:
1)人员的确认;
2)设计文件的确认;
3)设计参数和标准的确认;
4)设备/部件的确认;
5)仪表的确认;
6)施工要求的确认;
7)系统功能的确认。
8 偏差报告。
9 附件清单。
10 执行结果的审核和批准。
B.2.4 安装确认,文件目录可包括下列内容:
1 批准页。
2 目的。
3 范围。
4 职责。
5 参考标准。
6 系统描述。
7 测试项目可包括下列内容:
1)人员的确认;
2)文件的确认;
3)系统图和布置图的确认;
4)设备/部件的确认;
5)仪表的确认;
6)材质和表面抛光的确认;
7)主要设备和部件的卫生型结构的确认;
8)死角的确认;
9)焊接文件的确认;
10)排放能力的确认;
11)压力测试的确认;
12)脱脂清洗和钝化的确认;
13)公用设施的确认;
14)控制系统硬件组成的确认;
15)控制系统软件配置的确认。
8 偏差报告。
9 附件清单。
10 执行结果的审核和批准。
B.2.5 运行确认,文件目录可包括下列内容:
1 批准页。
2 目的。
3 范围。
4 职责。
5 参考标准。
6 系统描述。
7 测试项目可包括下列内容:
1)人员的确认;
2)验证仪器校准的确认;
3)人机界面的确认;
4)运行功能的确认;
5)报警和联锁的确认;
6)设备操作参数的确认;
7)使用点峰流量的确认;
8)消毒/灭菌过程的确认。
8 偏差报告。
9 附件清单。
10 执行结果的审核和批准。
B.2.6 性能确认,文件目录可包括下列内容:
1 批准页。
2 目的。
3 范围。
4 职责。
5 参考标准。
6 系统描述。
7 测试项目可包括下列内容:
1)人员的确认;
2)水质标准和取样点清单;
3)取样标准操作规程的确认;
4)第一阶段,密集取样和水质测试;
5)第二阶段,密集取样和水质测试;
6)第三阶段,日常取样和水质测试。
8 偏差报告。
9 附件清单。
10 执行结果的审核和批准。
附录C 工艺用水检测仪表选用要求
C.0.1 工艺用水检测仪表选用应符合下列要求:
1 工艺用水系统仪表、控制水平和方式,应根据生产规模、生产设备自动化水平、管理水平、工艺用水系统设备和检测要求,以及自动化设备元件供应情况等因素经技术经济比较确定。
2 工艺用水检测仪表应具有医药工艺用水工艺流程要求的可靠性和检测精度。
3 工艺用水应选择符合卫生要求、便于更换的仪表。与严格限制微生物的工艺用水直接接触的传感器应为卫生级结构。非卫生级仪表宜用于原水和预处理系统。
4 仪表接触工艺用水的表面应光滑,并应采用与工艺用水兼容的材料制造。
5 仪表应满足在线灭菌和耐腐蚀要求。
6 设计中采用的仪表不得选用未经工业鉴定的试制仪表。
C.0.2 温度仪表应符合下列要求:
1 就地温度仪表应选用卫生级双金属温度计,刻度盘直径宜选用100mm。
2 要求以标准信号传输的场合,应采用温度变送器。在满足设计要求的情况下,可选用测量和变送一体化的温度变送器。
3 温度传感器应拆装方便,并应便于清洗、维护,同时应能耐高温蒸汽清洗消毒,稳定性应好,测量精度应高。
4 检测元件及保护套管,应根据温度测量范围、安装场所等条件选择,热电偶可用于一般场合;热电阻可用于精确度要求较高的场合。热电阻、热电偶的连接方式应选用卫生级连接。卫生级连接不应产生死角或无法排空的区域。
5 检测元件保护套管材质应与相关工艺用水设备或管道材质一致,表面光洁度应高。
C.0.3 压力仪表应符合下列要求:
1 就地压力仪表应选用卫生级隔膜压力表,刻度盘直径宜选用100mm。
2 当采用标准信号传输时,应选用卫生级隔膜型压力变送器。
3 卫生级隔膜压力表或隔膜型压力变送器结构和材料应符合卫生要求,表面光洁度应高,应无死角,并应便于清洗、维护、安装和拆卸。
4 卫生级隔膜压力表或隔膜型压力变送器应能耐高温蒸汽清洗消毒。
5 卫生级隔膜压力表或隔膜型压力变送器稳定性应好,测量精度和可靠性应高。
C.0.4 流量仪表应符合下列要求:
1 流量仪表应选用卫生级流量计。
2 卫生级流量计的材质应与工艺用水设备或管道材质一致,表面光洁度应高;应防止测量介质残余物在测量管中的堆积,测量管道内应无可移动部件。
3 卫生级流量计应在使用过程中不易被污染,并应便于清洗、维护、安装和拆卸。测量精度应高,结果应可靠。
4 卫生级流量计应能耐高温蒸汽清洗消毒。
C.0.5 液位仪表应符合下列要求:
1 液位仪表应选用卫生型液位计。
2 液位计的材质应与工艺用水设备的材质一致,内外壁表面应采用抛光处理,应无死角,并应易清洗,同时应适合容器内液体介质的液位、界位测量。
3 测量范围应大,不应受储槽高度限制,指示机构与被测介质应完全隔离。
4 液位计应结构简单、可靠、安全,维护费用低,并应便于清洗、维护、安装和拆卸。
5 当采用自动控制时,除现场指示外,还可配置远传变送器、报警等功能。
C.0.6 总有机碳(TOC)测定仪应符合下列要求:
1 总有机碳(TOC)测定仪最低检出限为每升含碳不应高于0.050mg/L(50ppb)。
2 总有机碳(TOC)测定仪应符合定期的系统适用性测试要求。
3 总有机碳(TOC)测定仪监测方法应能区分无机碳。
本规范用词说明
1 为便于在执行本规范条文时区别对待,对要求严格程度不同的用词说明如下:
1)表示很严格,非这样做不可的:
正面词采用“必须”,反面词采用“严禁”;
2)表示严格,在正常情况下均应这样做的:
正面词采用“应”,反面词采用“不应”或“不得”;
3)表示允许稍有选择,在条件许可时首先应这样做的:
正面词采用“宜”,反面词采用“不宜”;
4)表示有选择,在一定条件下可以这样做的,采用“可”。
2 条文中指明应按其他有关标准执行的写法为:“应符合……的规定”或“应按……执行”。
引用标准名录
《建筑设计防火规范》GB 50016
《建筑照明设计标准》GB 50034
《工业建筑防腐蚀设计规范》GB 50046
《工业企业噪声控制设计规范》GB/T 50087
《工业金属管道工程施工规范》GB 50235
《生活饮用水卫生标准》GB 5749
《覆盖奥氏体不锈钢用绝热材料规范》GB/T 17393
《城市给排水紫外线消毒设备》GB/T 19837
《热压式蒸馏水机》JB 20029
《多效蒸馏水机》JB/T 20030
中华人民共和国国家标准
医药工艺用水系统设计规范
GB 50913-2013
条文说明
制订说明
《医药工艺用水系统设计规范》GB 50913-2013,经住房和城乡建设部2013年9月6日以第150号公告批准发布。
本规范的编制遵循主要的原则如下:
1 对医药工艺用水系统管道、站房、建筑与结构和公用工程等方面提出设计的基本要求;
2 设计应遵循技术先进、经济合理、运行可靠、确保质量的原则,并满足环境保护和节约能源的要求;
3 注重与国内现行《药品生产质量管理规范》的协调;
4 注意吸收国外关于医药工艺用水的先进设计理念。
为便于广大设计、施工、科研、制药企业等单位有关人员在使用本规范时能正确理解和执行条文规定,《医药工艺用水系统设计规范》编制组按章、节、条顺序编制了本规范的条文说明,对条文规定的目的、依据以及执行中需注意的有关事项进行了说明。但是,本条文说明不具备与规范正文同等的法律效力,仅供使用者作为理解和把握规范规定的参考。
1 总 则
1.0.1 本条规定了医药工艺用水系统设计的原则,要求在贯彻GMP的同时,应结合具体工程实际、生产工艺对医药工艺用水的质量要求和经济技术发展水平等情况,正确处理好技术先进和经济合理、运行可靠和保证质量的关系,同时在确定设计方案时还应符合国家环境保护、能源等法律法规的要求。
1.0.2 本规范适用于新建、改建和扩建医药工艺用水系统的设计。医药工艺用水是指医药生产工艺过程中使用的水,包括:生活饮用水、纯化水、注射用水。
随着GMP的修订更新,医药工艺用水的生产和防止微生物滋生、污染的控制方法会不断完善并日益增多,给医药工艺用水系统设计提出了新的要求。为了更好地体现国家标准的原则性和通用性,保持条款的相对稳定而不必随着制备工艺和设备的进步频繁修改,因此,本规范只规定医药工艺用水系统设计的基本要求,使用时应首先准确、完整地执行本规范规定。
2 术语和符号
2.1 术 语
2.1.1 医药工艺用水不含灭菌注射用水,灭菌注射用水为医药生产的产品。
2.1.10 美国机械工程师协会《生物加工设备》(ASME BPE)中定义死角是指当管路或容器使用时能导致产品污染的区域。本条结合ASME BPE对死角的定义作出规定。
2.1.11 本术语采用ASME BPE的定义。
3 水 质
3.0.1 本条为强制性条文,必须严格执行。在任何工艺步骤中供应的水的质量必须与最终产品要求的水的质量一致。虽然纯化水和注射用水的质量能达到《中国药典》中纯化水和注射用水的质量标准,但可能质量还不能满足生产工艺的要求,《中国药典》规定的纯化水和注射用水的质量标准只是医药工艺用水的最低标准,是否需要一个更加严格的水的质量标准取决于产品的生产工艺。因此作了本条的规定。
3.0.2 在医药生产过程中,水是使用最广泛的物质、原料或起始原料。不同给药途径的药品制造和制造过程中不同的工艺阶段决定了医药工艺用水的不同质量要求。饮用水、纯化水和注射用水都是医药生产过程中使用的工艺用水,分别用于各自适用的场合或生产工序,医药工艺用水的水质应确保符合预期用途的要求。
纯化水和注射用水水质应符合表3.0.2规定的现行《中国药典》所收载的纯化水和注射用水项下规定的各项检查项目和药品生产的要求。
4 工艺系统设计
4.1 一般规定
4.1.1 据了解,一些项目由于在确定水源前,对选择的水源没有进行详细的调研、勘察和评价,以致工程延误或停止。一些拟以地下水为水源的工程,由于没有进行详细的地下水资源勘察,取得必要的水文资料,而盲目兴建地下水取水构筑物,以致取水量不足,甚至完全失败。因此,本条规定水源应保证可连续供应所需的水量。
稳定的水质是水源选择的首要条件。水质对水处理工艺的选择非常重要,水源水质如果不稳定,医药工艺用水系统各级水处理设施的参数控制影响较大,制得的水可能达不到预期用水要求。此外水质不稳定也会增加水处理设施的成本。
4.1.2 本条为强制性条文,必须严格执行。
原水包括自来水、江水、河水、湖水、井水、深井水等,原水不同程度地带有杂质,如不溶性杂质、可溶性杂质、有机物、细菌、热原等。制药用水制备系统没有一种定型的模式,但均需根据不同的原水水质进行分析和计算,对原水进行预处理并逐级提纯水质,使之符合生产要求的标准。应该指出,原水的水质应达到饮用水标准。如果原水达不到饮用水标准,首先就要将原水进行处理达到饮用水标准,再进一步处理成符合生产工艺要求的医药工艺用水。
4.1.3 在选择制药用水工艺流程时,既要受原水性质、用户对制药用水水质要求的制约,又要满足经济、适用、布置、操作维护和安全可靠的要求,同时也应考虑制水效率的高低、能耗的大小和环境保护的要求,并根据各种纯化工艺的特点,灵活组合。
4.2 工艺用水制备
4.2.1 饮用水常规处理工艺的主要去除对象是水源水中的悬浮物、胶体物和病原微生物等。饮用水常规处理工艺所使用的处理技术有混凝、沉淀、澄清、过滤、消毒等。目前在我国95%以上的自来水厂都是采用常规处理工艺,因此常规处理工艺是饮用水处理系统的主要工艺。通常,医药生产过程中饮用水来源于城市自来水,正常情况下供水水质能保证符合国家现行标准,但小型集中式供水和分散式供水以及当发生影响水质的突发性公共事件时,水质部分指标可能会超过正常指标。同时,在国家饮用水标准中,检查项目只有38项,另一些指标,如氨氮、亚硝酸盐、耗氧量、总碱度、钙、镁等,也会对工艺用水的生产产生不利影响,但未列入标准之中。此外饮用水可能来源于井水、河水或水库水等,水源的水质与现行国家标准《生活饮用水卫生标准》GB 5749差异更大,因此必须在饮用水制备过程中采取必要的措施进行处理。
4.2.2 《中国药典》中给出了纯化水制备的指导原则,规定应以饮用水经蒸馏法、离子交换法、反渗透法或其他适宜的方法制备纯化水,但没有明确规定具体制备方法,可以使用一切经过验证证明是行之有效的方法以及这些方法之间不同的组合。纯化方法的局限和原水中污染物的存在决定了纯化水系统设计需要对每一功能段组成仔细研究。一套适宜的纯化水系统可以有序地除去不溶性杂质、可溶性杂质、有机物、微生物,经去离子得到纯化水。有时生产要求低电导率的纯化水时,还要考虑进一步纯化措施,如脱气,去除二氧化碳。
4.2.3 本条为强制性条文,必须严格执行。《中国药典》规定:注射用水应以纯化水为水源,采用蒸馏方法制备。蒸馏是世界各国制备注射用水的首选方法。蒸馏方法以相变为基础,制备的注射用水水质稳定,同时蒸馏过程还是一个消毒灭菌过程,在蒸馏水机新鲜注射用水出口处取样检不出细菌。因此,蒸馏方法可靠、使用安全,这已成为众所周知的事实。
《美国药典》(USP)从第19版开始,已经将反渗透法收藏为法定的注射用水生产方法之一。但由于反渗透装置是在常温下运行,不具备可靠的抗微生物污染的能力,因此,反渗透法制备注射用水的稳定性不如蒸馏法。在日本法规下,允许采用蒸馏、反渗透、超滤方法生产注射用水。
4.3 设 备
4.3.1 预处理是为了去除原水中的不溶性杂质、可溶性杂质、有机物、微生物,使其主要水质参数达到后续处理设备的进水要求。
(1)当原水浊度满足不了后续处理设备的进水标准时,预处理应设机械过滤器。否则,会对后续处理设备造成以下危害:
悬浮物会附着在离子交换剂颗粒表面,降低交换容量,堵塞树脂层孔隙,增加压力损失。
悬浮物黏附在电渗析膜表面成为离子迁移的障碍,增加膜电阻。
悬浮物会堵塞反渗透膜孔,减小膜的有效工作面积,导致产水量和脱盐率下降。
(2)为了确保后续处理设备运行良好,后续处理设备的进水对钙、镁离子浓度都规定了严格的要求。因此,当原水硬度较高时,应增加软化器。这对防止后续处理设备的膜表面结垢,延长后续处理设备的工作寿命和提高处理效果意义极大。
(3)当原水中有机物含量超过后续处理设备的进水标准时,会对后续处理设备造成以下危害,影响设备的运行使用寿命和出水水质。为除去这部分有机物,预处理应设活性炭过滤器,使水达到符合后续处理设备要求的质量水平。
有机物会污染阴离子交换树脂,使交换容量下降,再生剂的用量增加,缩短树脂的寿命。
有机物会在电渗析设备的水流通道和空隙中产生堵塞,造成水流阻力不均匀,使浓水室和淡水室中的水压不平衡,严重时会使膜破裂。带极性的有机物被膜吸附后,会改变膜的极性,降低膜的选择透过性,增加膜电阻。
有机物会堵塞反渗透膜膜孔,减小膜的有效工作面积,导致产水量和脱盐率下降。有些有机物会污染膜体恶化水质。
(4)若原水中的游离氯超过后续处理设备(离子交换柱、电渗析器、电去离子系统、反渗透装置等)进水标准时,会对这些设备造成以下危害,影响设备的运行使用寿命和出水水质,可采用活性炭过滤或加入亚硫酸钠处理,将过量余氯去除,使水达到符合后续设备要求的质量水平。
游离氯的存在会使阳离子交换树脂活性基氧化分解,长链断裂,引起树脂的不可逆膨胀,破坏离子交换树脂的结构,使其强度变差,容易破碎。
游离氯会使电渗析器、电法去离子系统和反渗透装置的膜氧化,影响膜的物理结构,造成膜不可修复性损坏。
(5)当原水中铁、锰含量较高,超过后续处理设备的进水标准时,会对后续处理设备造成以下危害,影响设备的运行使用寿命和出水水质。为降低铁、锰含量,预处理应增设曝气、锰砂过滤器,使水达到符合后续处理设备要求的质量水平。
铁、锰离子比钙、镁、钠离子更易被树脂吸附,且不容易被低浓度再生剂取代,积累在树脂颗粒内部,使交换容量下降,恶化出水水质。铁、锰离子易形成氢氧化物胶体,堵塞树脂微孔和孔隙,增大压降。
铁、锰离子会导致电渗析阳离子交换膜的离子选择性透过性严重受损而中毒。
原水中铁、锰含量较高会在反渗透膜上形成氢氧化物胶体,堵塞膜孔。
(6)软化器或离子交换树脂使用一定时间后,可能会发生树脂破碎的情况。精密过滤器主要作用是截留来自树脂软化或离子交换装置中可能随水流溢出的树脂颗粒,而这些颗粒会在高压水流的作用下对反渗透或电渗析设备的膜造成机械性损伤。因此,精密过滤器可保护反渗透或电渗析设备的膜不受机械性损伤,有效地保证反渗透或电渗析设备膜的使用寿命和产水水质。当通过混床的水直接进入纯化水罐时,在纯化水罐前也应设0.45μm滤器,以防止树脂碎片进入纯化水罐。
当软化器或离子交换系统需要使用酸、碱再生时,不仅消耗清洗水,而且产生废酸、废碱,成为水体和土壤环境的重要污染源。因此,软化器或离子交换系统应减少废酸、废碱的排放量,并应采取处理和处置措施,以达到环境保护的要求。
(7)反渗透技术的关键在于起除盐作用的反渗透膜的性能。所以,为了反渗透装置安全运行,应根据进水水质、产水量和产水水质要求选择性能合适的膜元件,做到既能保证产水量和产水水质,又能减少投资、降低能耗。
(8)将反渗透(RO)作为电去离子(EDI)的前处理工序,用反渗透(RO)除去95%以上盐分,用电去离子(EDI)进行深度脱盐,实现水的高纯度化。原因是:①反渗透(RO)装置适合于含盐量高的水源,电去离子(EDI)装置则正好相反,适合于含盐量低的水源。假如将电去离子(EDI)置于反渗透(RO)前面,则由于进水含盐量太高,电去离子(EDI)的工作电流相对不足且停留时间(相当于离子迁移时间)很短,许多离子还来不及从淡水室迁移出去,就很快离开了该室,因此脱盐很不彻底。另外,进水中的结垢物质大大超过电去离子(EDI)装置的承受极限,这将导致浓水严重结垢,电去离子(EDI)装置无法工作。②反渗透(RO)除盐容量很大,能保持较高脱盐率,但在电去离子(EDI)模块中,树脂充填量很少,交换容量非常有限,故一般适合于低含盐量水源。③反渗透(RO)对二价以上的离子,如Ca2+、Mg2+等具有很高的去除率,因而可以降低电去离子(EDI)的进水硬度,有效地防止膜堆浓水室及极水室结垢,有利于电去离子(EDI)模块长期稳定地运行。另外,传统除盐系统中阳、阴床出水的电导率虽然很低,但可能含有除离子之外的其他杂质,通常不建议把电去离子(EDI)放在阳、阴床的后面使用。在一般情况下,反渗透(RO)能除去大部分有机分子,总有机碳可降低至0.5mg/L以下,符合大多数电去离子(EDI)膜堆对给水中总有机碳的限定要求。
4.3.3 《中国药典》规定:注射用水的制备必须以纯化水为水源。由于多效蒸馏水机通常要求进水压力大于或等于0.5MPa,所以,应设置原水高压泵以满足进水压力要求。
4.3.4 本条规定了纯化水储罐和注射用水储罐及其附件(罐盖、人孔、通气口、罐底阀门)的设计要求。
1 本款为强制性条款,必须严格执行。依据GMP,为了保证在生产和热消毒中所需的无反应、耐腐蚀、耐高温等性能,纯化水储罐和注射用水储罐广泛使用不锈钢制造。不过,被认为符合卫生消毒要求的材料包括低碳不锈钢、聚丙烯、聚偏氟乙烯和聚四氟乙烯等。联合国世界卫生组织(WHO)《药品生产质量管理规范》规定:制药用水(纯化水、高纯水和注射用水)系统如果使用不锈钢材料,级别至少是316L。由于注射用水的材料要求比纯化水高,如将304不锈钢材料用于注射用水热储存罐的制造,使用一段时间后罐体内部颜色是褐色的,并有可能脱落锈蚀的杂质,而且这种杂质不易清洗,只有连续用水冲刷内表面的结垢后才会消失,但是药品质量存在可能受到影响的风险。因此,本规范规定注射用水储罐应采用优质低碳不锈钢,如316L。
2 GMP要求:纯化水和注射用水的贮存应当能够防止微生物的滋生。因此,储罐的罐盖、人孔和罐底阀门等必须确保密封、不泄露、不脱落,应符合卫生学设计要求。
3 罐体结构件有裂纹、开焊和变形的部位最容易发生腐蚀,很容易滞留、滋生微生物。为控制生物膜的生成,利于设备清洗、灭菌,纯化水储罐和注射用水储罐内壁表面应抛光,抛光有助于降低内表面的粗糙度,使内表面光滑平整、无死角。WHO《药品生产质量管理规范》规定:抛光后的内表面的粗糙度的算术平均值(Ra)不得超过0.8μm。ASME BPE-2009规定:Ra小于或等于0.6μm。
4 纯化水储罐和注射用水储罐应当考虑到必要时将罐内的水全部排空的要求,因此要求排水管口设置在储罐的最低处。罐底排水管的管径应按照输送泵进水要求计算,排水管路少设弯头,减少泵吸入管路损失。为了避免储罐出现水滞留导致微生物滋生的状况,排水管口及排水管路的设置应确保可排尽管内的水,管路中不产生积水。
适合纯化水储罐和注射用水储罐的液位计量装置都是电信号液位控制装置,如电容式液位计、隔膜压力式、称重式、雷达液位计和液位开关等。传感器的选型应考虑是否符合卫生要求和对储罐内极端温度压力的耐受情况。为确保系统安全运行,罐内还可加设高低液位报警开关或与输送泵联锁的流量开关。
再循环系统储罐(采用臭氧连续灭菌的储罐除外)顶部应设置喷淋装置,喷淋装置的设置应避免形成能滋生微生物的死角。喷淋装置的选型及安装位置的确定与罐顶设计应结合考虑,以确保储罐顶及罐顶件所有的内表面随时处于湿润更新状态,并维持腔体内的温度,用以控制水系统中的微生物。喷淋装置应确保喷淋装置内的水能够全部排空、自清洗不产生二次污染。喷淋装置需定期拆下检查,故喷淋装置的设计要考虑易于拆装。
5 纯化水和注射用水分配过程中,为避免因储罐内部水位变化而造成的水体污染,在储罐的顶部需安装孔径为0.22μm的疏水性通气过滤器[如聚四氟乙烯(PTFE)或聚偏氟乙烯(PVDF)]。
过滤器通量要考虑最大的泵流量或蒸汽消毒后迅速冷凝时的最大气流速度(无正压保护系统时)。
要考虑系统灭菌对过滤器的影响。当采用臭氧灭菌时,过滤器要抗臭氧;当采用纯蒸汽灭菌时,过滤器要耐高温。
为了避免通气过滤器的疏水性滤芯表面形成水膜或被二次蒸汽凝结水堵塞,注射用水储罐通气过滤器的不锈钢外壳宜采用电或蒸汽加热,使过滤器高于罐内水温10℃左右。
通气过滤器需进行离线或在线完整性测试,故通气过滤器靠近储罐的一侧应装有切断阀,并应设置在方便安装、拆换的位置。
6 当纯化水储罐和注射用水储罐采用大于0.1MPa饱和蒸汽或121℃过热水灭菌时,储罐应按压力容器设计,储罐上应设置泄压阀或防爆膜以防止超压,并达到卫生设计标准。防爆膜应配有破裂指示,以便及时发现破裂,避免系统的完整性受到损害。
4.3.5 影响储罐容量的因素包括用户的要求范围、使用量、持续时间、时间分配和变化(若不止1家用户)、预处理和最后处理水供应之间的平衡,以及系统是否再循环或不再循环。仔细考虑这些因素,将影响制水成本和供水质量。储罐的大小首先应能满足各种用水条件下的贮水量。
1 首先,根据“在有利于微生物生长的条件下,水保存的时间越短越好”的原则,确定储罐的最小贮水量。其次,贮水量的大小应能保证系统循环时、蒸馏水机的连续运行;能满足用水点的平行以及顺序的各种使用要求;在纯化水和注射用水的用水高峰时期,储罐内水位不低于泵所需的吸入高度,并确保有足够的水流流过所有的供水点和回水管道。
2 依据WHO《药品生产质量管理规范》作出此规定。
储罐也应储备足够的水量,以保证制水设备进行维修和在出现紧急情况时,仍能维持一定时间的正常生产(这取决于工艺生产及企业对停水所能接受的程度);除了满足使用要求的高峰流量外,不会在较长时间内贮存大量的水,储罐的大小应考虑能够保证提供生产一个批次产品或者一个工作周期或者其他合理需求的一段时间的用水。
注射用水储罐的大小宜为最大小时产水量的2倍~4倍,最大不宜超过6h产水量。
此外,储罐大小应考虑始终处于70℃以上循环回流的注射用水有一定的停留时间,储罐的换水次数应为1罐/h~5罐/h。
4.3.6 为防止外界微生物对纯化水和注射用水的污染,水泵应采用卫生设计。例如,泵上所有与纯化水和注射用水接触的零部件应采用优质低碳不锈钢材质加工,表面均需经过表面处理,以获得一个均匀表面,表面粗糙度Ra=0.8μm通常已可满足便于清洁的要求。就卫生和清洁而言,泵应设计成易拆卸的结构形式,采用易清洁的开式叶轮。当采用双端面机械密封时,纯化水输送泵应采用纯化水润滑,注射用水输送泵应采用注射用水润滑。硬质碳化硅单机械密封用于纯化水输送泵也能接受。
为了排除离心泵供水时可能引起微粒污染的气蚀,应充分考虑泵的性能曲线和吸水压头要求。泵应处于供水系统的低点,泵外壳底部应能使系统完全排除积水,泵出水口宜设置为45°角,使泵内上部空间无容积式气隙,避免纯蒸汽灭菌后残余蒸汽聚集在泵体的上部,从而影响泵的运转。尤其是注射用水输送泵应更加重视抗微生物污染的适宜性。
4.3.7 本条为强制性条文,必须严格执行。GMP要求,纯化水和注射用水的分配应当能够防止微生物的滋生。注射用水输送泵提供的扬程和流量应确保水在输送系统中保持湍流的目的就是减少微生物的生长或微生物附着在输送系统表面的机会。研究表明,与水的湍流相结合的剪切力可以抑制滋生物的聚集和细菌在表面的附着。USP(第35版)也明确要求,泵应设计成能传递充分湍流条件以便实现全面的热分布以及全面的化学消毒剂分布。
输送泵的选型除了应满足系统运行过程中可能提供的高峰用水量+回水流量、系统管道阻力较大情况下的系统压力和相对于外部大气正压状态外,还应考虑防止微生物污染和在系统具有一定汽蚀条件下可以正常运转的要求。注射用水输送泵宜采用变频泵,通过改变泵的转速,确保水在输送系统中保持湍流。
本规范建议不采用备用泵设计,以避免微生物污染的风险。如果系统配置了备用泵,应定时让泵交替运行,并以支路连续循环的方式将少部分水以不小于1.0m/s的速度始终通过备用泵。
4.3.8 过滤器的作用是去除供水中的杂质和微粒,保证下游设备免受污染,正常运行。为了保证供水水质和系统正常运行,避免由于流速不当引起的过滤介质损伤、沟流,避免堵塞、应选用大小合适的过滤器。同时,为防止过滤器堵塞、滋生微生物,应对过滤系统内水压力进行监控。
在纯化水和注射用水用水点采样分析的数据证明,没有除菌过滤器时细菌少,使用除菌过滤器时反而细菌含量很难控制。可见,由于除菌过滤器膜孔尺寸在理论上比细菌小,细菌会在滤膜上聚集,给下游用水点带来污染风险。另外,由于膜介质上滋生物的积累还可能会提高微生物生长的机会。因此,系统中的微生物控制不应依赖对储罐或输送管路流出物进行过滤来达到,应严格控制除菌过滤器用于纯化水和注射用水储罐出水口和分配系统。
4.3.9 换热器的设计应考虑易清洁性和排尽性,内表面达到表面粗糙度Ra=1.0μm的标准,换热器接口为卫生型接头。换热器的换热面积可根据极端热量需求进行设计。
4.4 工艺用水的分配输送
4.4.1 依据WHO《药品生产质量管理规范》相关内容作出此规定。饮用水系统通常既是生活用水又是生产用水,这两个系统最好分开设置。
4.4.2 本条为强制性条文,必须严格执行。GMP要求:纯化水和注射用水的分配应当能够防止微生物的滋生。在水的生产、贮存和运输过程中,水质控制(包括微生物方面和化学方面的质量)是主要考虑的问题。与其他药品和中间体不同,水通常是根据需要,从一个系统中取用,而且使用前不易于检测或按批次发放。所以保证水的质量符合使用要求是十分必要的。另外,有些微生物检查需要培养时间,由于检查结果很可能会滞后于水的使用,所以最关键的是对医药工艺用水的微生物进行控制。有些微生物有可能在水处理系统的某些环节以及贮存和分配系统中繁殖。因此,采用常规的消毒方法和适当的措施防止微生物的繁殖,将微生物的污染降到最低是非常必要的。
4.4.3 由于循环输送能够使水在管道中连续不断地流动,能够始终使系统管道的内表面处于被湍急的水流冲刷的状态,有效地阻碍管壁上生物膜的形成,容易维持系统内正常供水中微生物控制水平,所以本规范推荐在纯化水系统设计中采用循环输送。
WHO《药品生产质量管理规范》规定,应采用持续循环的管道系统进行制药用水的分配。
4.4.4 本条第3款为强制性条文,必须严格执行。为有效防止微生物的滋生和污染,分配系统的配置应考虑通过再循环使水在管路中连续流动,只要有可能,应避免使用非循环的、死角的以及单向系统或部分单向的系统。经验表明连续的再循环系统更易于维护,如70℃以上保温循环输送。特别应该指出,《中国药典》(2010年版)附录ⅩⅥ要求注射用水的储存方式和静态储存期限应经过验证确保水质符合质量要求,例如,可以在80℃以上保温或70℃以上保温循环或4℃以下的状态下存放。
注射用水的分配输送应保证配水管路中适当的水流速度。现行国家标准《医药工业洁净厂房设计规范》GB 50457规定,循环的干管流速宜大于1.5m/s。国际制药工程协会(ISPE)在《制药工程基准指南》(第四卷)推荐最小回流速度大于或等于3英尺/秒(0.914m/s)。USP(第35版)明确要求泵应设计成使分配系统中的水能处于“湍流状态”下流动。要使分配系统中的水处于“湍流状态”下流动,雷诺数Re必须大于10000,即Re=
>10000。管道内水的流速、管径、雷诺数和温度的关系见表1。由表1可知,流速u=1.0m/s是使水处于湍流状态的最低速度。正因为如此,ISPE在《制药工程基准指南》(第四卷)中提出循环回路的最小速度为3英尺/秒(0.914m/s)。同样的道理,现行国家标准《医药工业洁净厂房设计规范》GB 50457规定,在注射用水循环干管流速的设计值宜大于1.5m/s。1.5m/s的流速可以避免干管生物膜黏附,但是回水管路为1.5m/s不利于节能。应该指出,在系统设计不合理的情况下,如供水干管流速虽为1.5m/s,但回水管路没有考虑变径或循环流量较小时,也可能不能保证回水管路处于湍流状态,因此,循环回水流量宜大于泵出口流量的50%。
表1 管道内水的流速、管径、雷诺数和温度的关系

当管路流速确定后,循环管路的管径就与管路流量有关,而管路流量则与用水量和回水流量有关。管路的设计流量为Q=Qmax+Qb,其中Qmax为所有用水点的累积最大出水量。回水流量Qb的加入可使管路内的水在各种使用条件下都处于湍流状态,同时又不致由于流速的过分增加造成能耗的增加。一般循环回水流量宜大于泵出口流量的50%,即回水流量不宜小于工艺最大用水量,或当管径一定时,管内流速在极端条件下相差1倍~2倍。否则,回水流量取值太小,如Qb=0.3Qmax,在用水量高峰条件下、泵功率不能改变时,会使回水管内流速降低,甚至造成不充满的回流,用水点可能产生真空(图1)。由于不能保持相对于外部大气的正压,所以可能会对系统产生意外的微生物污染。相反,如果回水流量取值太大,当不使用注射用水时,会增加管道阻力与动力消耗。ISPE的专家建议,循环返回储罐的预计消耗流量的典型设计值至少为最大值的1.5倍。

图1 用水点可能产生真空的示意图
为了保证循环回路流速达到规定的要求,管内始终保持正压以及合理运行费用,可通过使用变频泵,在回水管路上设置流量计和压力控制阀门来解决。对于多循环回路的注射用水系统,也可以采用每个环路单独配置水泵的办法来解决。
特别指出,ISPE建议使用点支管长度L不宜大于支管管径D的3倍,即L/D≤3。这里L表示主回路管道的外壁到支管端头的距离(图2)。WHO《药品生产质量管理规范》规定,在管道的安装过程中,分支管道应不大于支管道直径的1.5倍(L/D≤1.5)(图2)。ASME BPE标准要求L/D≤2(图2,这里L表示主回路管道的内壁到支管端头的距离,D表示支管内径)。《美国联邦法规法典》(Code of federal regulations,简称CFR)(1976年)第212部分规定:L/D≤6,注意此处L是指主回路管道的中心线到支管端头的距离,与我们所述的L的意义完全不同(图2)。

图2 L/D示意图
上述对L/D进行规定的目的是在注射用水系统设计中要消除死角或尽可能减少死角的长度,而不是盲目去追求一定要达到某一严格的限度标准,应该将注射用水系统设计的重点落实在系统长期监控的最终结果上。如果L/D≤3,不会对注射用水的质量造成影响,系统微生物及细菌能有效控制,稍长也是可以的。相反,如果可能对注射用水的质量造成影响,任何死角都是不允许的。即便是没有分支的单路管道,如果不进行维护,不经常清洗或灭菌,也可以产生死角。应该指出:如果没有专用组件,很多支管尺寸很难满足规定的L/D,如L/D≤2、L/D≤1.5。随着技术的进步,零死角阀门也已经在注射用水分配系统中得到广泛应用。
4.4.5 我国GMP建议注射用水可采用70℃以上保温循环输送。ISPE在《制药工程基准指南》(第四卷)中列出8种常用的纯化水、注射用水分配形式,包括热水循环系统、常温水系统、冷水循环系统,参见图3~图10。

图3 热贮存、热分配系统

图4 热贮存、冷却并再加热分配系统

图5 单罐双管分配系统

图6 常温贮存、常温分配系统

图7 热贮存、自带分配系统

图8 注射用水多罐再循环系统

图9 加臭氧灭菌的贮存和分配系统

图10 分支/单路系统
ISPE《制药工程基准指南》(第四卷)建议:循环输送管路长度通常不超过400m,管路系统通常使用直径为2英寸(50mm)和更小的管道。为便于运行维护和管理,纯化水、注射用水的分配输送管路要尽量采用单管循环输送。当纯化水、注射用水采用单管循环输送,且总长度(不含管道弯曲、弯头等)大于400m或循环供水管路的直径DN大于65mm时,纯化水、注射用水应考虑采用双管循环输送(图11和图12)或二次分配系统循环输送(图13)。双管循环通常包括并联双管式循环和独立双管式循环等多种方式。并联双管式循环管道系统主要用于水点多、用水区域范围较大的场合,独立双管式循环管道系统主要用于用水点温度要求不同的场合。二次分配系统输送主要适合于多个生产车间或不同品种药品生产的场合。例如:在站房设一个中央制水系统,设一级分配循环回路,在每个楼层或车间或车间组合设独立二次分配系统循环(图13)。此时,二次储罐应作为用水点参与一次循环管路循环,且应在所服务的区域内布置二次储罐。

图11 并联双管式循环管道系统

图12 独立双管式循环管道系统

图13 二次分配系统循环输送
4.5 纯化水、注射用水系统的清洗、消毒和灭菌
4.5.1 预处理设备的运行和维护应当确保制药用水达到设定的质量标准。
(1)在多介质过滤器运行一段时间后,由于表层截留了大量悬浮杂质,甚至造成滤料结成泥球,流经的水的压力损失将增大,并且部分截留物质可能透过滤层,污染出水水质。因此,多介质过滤器需定期反冲洗,以除去截留物,必要时可以对多介质过滤器进行化学或加热消毒。
(2)活性炭能去除余氯,同时可将有机物拦截在过滤器上流侧,所以活性炭过滤器经过一段时间的使用后,会使活性炭使用后的水中微生物的指标超过处理前的进水指标。因此,活性炭过滤器应能定期反冲和消毒,以降低活性炭过滤器上流侧的生物负荷。活性炭过滤器为有机物集中地,为防止细菌及细菌内毒素的污染,除要求能自动反冲外,还可用蒸汽或热水消毒。
(3)即使预处理方法适当,反渗透进水水质符合要求,运行控制正常,经长时间运行后,反渗透膜仍不可避免地逐渐被浓水中的无机物、微生物、金属氢氧化物、胶体和不溶性有机物等所污染。当膜表面污染物聚集到一定程度后,压差逐渐提高,产水量和脱盐率下降。因此反渗透水处理装置应能定期进行化学清洗和消毒,以保持正常运行和防止微生物滋生。在系统设计中只要所采用的反渗透膜具有承受80℃以上巴氏消毒的性能,那么可将它作为首选的方法。
(4)为防止过滤器堵塞、滋生微生物,过滤器需定期进行反冲、消毒或灭菌。
4.5.2 本条为强制性条文,必须严格执行。医药工艺用水系统中微生物指标会随着时间的推移而增长,因此,纯化水储罐和输送系统应设置合适的微生物抑制设施并进行周期性清洗、消毒,以保证水质满足生产工艺和《中国药典》的要求。GMP也规定应按照操作规程对纯化水管道进行清洗消毒。
4.5.3 在正常、连续生产情况下或当水质劣化、微生物指标超过纠偏限度时,注射用水储罐和输送系统应根据验证要求及监控结果实施定期或不定期清洗、消毒或灭菌,以保证注射用水系统内微生物的数量始终处于受控制的状态。因此,注射用水储罐和输送系统应设置能使微生物处于不断地被清除、杀死乃至全部被杀死状态的清洗、消毒或灭菌设施。
注射用水管道通常都采用焊接、循环配水的模式,这种模式不仅能使系统内的微生物处于不利于其滋生繁殖的环境条件,最大程度地限制生物膜的形成,而且很容易与巴氏消毒、纯蒸汽灭菌设施组合,对系统实施定期或不定期的清洗、消毒或灭菌。因此,本规范规定注射用水储罐和输送系统应设置在位清洗、在位灭菌设施。相反,如果注射用水系统进行离线清洗和灭菌,就要拆卸管道、管件和阀门等,管道、管件和阀门就需要采用不锈钢快装卡箍进行连接。但快装卡箍的垫片间的缝隙有可能成为微生物嵌入、滞留和滋生的场所,可能危及注射用水的质量。对于注射用水热贮存输送系统而言,未见采用臭氧消毒或灭菌的系统。
注射用水输送管道采用蒸汽灭菌时,宜安装适合的疏水器,以利于排放冷凝水和空气。蒸汽导入口位置应合理,确保系统中所有点均能得到彻底灭菌。对于装在注射用水系统用于自动排凝结水的疏水器要求为:热静力型,316或316L不锈钢制造,具有卫生接口和自排功能。此外,巴氏消毒时存在以下问题:
80℃水的蒸汽压接近0.05MPa(绝压);可能造成泵抽气端空穴(气蚀);蒸汽可能堵塞呼吸器;聚冷产生局部真空,导致泄爆膜脱落等。
4.5.4 紫外灯的消毒效果受以下因素影响:紫外灯的功率,使用时间,灯管外壳,水流的速度,照射时间,安装位置,水的色度、浊度、铁含量等,石英管的质量和壁厚,细菌类型以及细菌是否被其他污染物覆盖。
纯化水贮存和分配系统采用臭氧灭菌时,呼吸过滤器的材质、系统中使用的垫片和在线监控装置、阀门应能耐受臭氧的作用。
4.6 纯化水、注射用水的检测和控制
4.6.3 本条为强制性条文,必须严格执行。取样点应覆盖所有关键区域,包括但不限于:
(1)蒸馏水机出水口或纯化水机出口。
(2)供水管。
(3)所有使用点。
(4)回水管。
为了保证取样不受污染,取样管道与阀门要考虑以下问题:
(1)取样点方便卫生。
(2)不要在直接排放口取样。
(3)不宜离楼面小于0.6m或高于1.6m。
我国GMP规定,发现制药用水微生物污染达到警戒限度、纠偏限度时应当按照操作规程处理。因此,纯化水、注射用水在线检测系统应具备在水质超标时程序报警功能。UPS和《欧洲药典》都要求纯化水、注射用水系统建立适当的警戒水平(alert level)和纠偏限度(actionlimit),其目的就是建立各种规程,以便在监控结果显示某种超标风险时实施这些规程,而不是用以判断纯化水、注射用水的合格与不合格。监控结果超过纠偏限度时,说明制药用水系统有偏离正常运行条件的趋势,应采取措施,使制药用水系统调整到正常的运行状态。
4.6.4 在纯化水和注射用水系统的贮存及分配中,下述参数应得到有效的监控:
(1)储罐的水位(纯化水和注射用水)。
(2)储罐的压力(氮封,蒸汽或过热水灭菌时)、温度(注射用水)。
(3)输送泵供水的温度(注射用水)。
(4)输送泵供水的压力(纯化水和注射用水)。
(5)回水升温换热器产品进口温度(注射用水)。
(6)回水升温换热器产品出口温度(纯化水和注射用水)。
(7)回水的流量(泵变频维持流量稳定)和压力(纯化水和注射用水)。
(8)纯蒸汽灭菌时系统的压力(注射用水)。
(9)在线的电导率检测仪(必需)(纯化水和注射用水)。
(10)总有机碳(TOC)检测仪(注射用水)。
4.7 纯蒸汽制备及输送
4.7.1 当纯蒸汽与注射剂的生产设备或最终包装容器直接接触时,纯蒸汽冷凝水的水质应符合注射用水的质量标准。
4.7.3 本条为强制性条文,必须严格执行。纯蒸汽主要用于与注射剂直接接触的过滤器、灌装机的部件,如软管、灌装头及药液样品取样容器的灭菌,在生产中关键洁净操作间的加湿,以及纯化水系统、注射用水系统和配液系统的灭菌。为保证纯蒸汽在输送的过程中不再受到二次污染,对纯蒸汽输送管道的材质有特殊的要求,必须使用优质不锈钢或优质低碳不锈钢。
4.7.4 本条是依据ISPE((制药工程基准指南》(第四卷)相关要求作出的规定。
纯蒸汽分配管道流速设计要在25m/s以下,以保证蒸汽疏水器有效地排除气体及冷凝水,并不让蒸汽冲出。
ISPE((制药工程基准指南》(第四卷)建议纯蒸汽分配管道尺寸应适于最大流速37m/s,以限制管路腐蚀,并延长期望寿命。
5 管 道
5.1 一般规定
5.1.1 纯化水、注射用水管路系统设计时,要注意流体最佳流向,使死角处于流动方向上,减少“气袋”及“水坑”(图14)。

图14 流体最佳流向示意图
5.1.2 本条依据现行国家标准《洁净厂房设计规范》GB 50073作出规定。
5.1.3 管道应具有一定的坡度,避免出现使水滞流和不易清洗的部位,确保管路系统能完全排放。ASME BPE标准要求较短管坡度大于2%,较长管道坡度为1%~0.5%,因此,本规范规定水平管道应有0.5%~1%的坡度。为防止倒灌,排放点必须与地漏等保持空气阻断,即排放管不能与下水管道直接相连。
5.1.4 管路中使用的软管应卫生连接,设计安装时注意长度和坡度,不允许有积液。软管的安装应保证整个软管能自动或手动排放。
5.1.5 为确保工艺用水系统的独立性,不同水质的管路间应无交叉污染的风险。例如,有时为了操作的灵活,在不同水质的管路间设置了带阀门的旁通管,但一旦阀门失灵,其他水质的水就会进入注射用水系统,使注射用水系统遭受污染。也不要和其他介质管道相连或共用管口。
5.1.6 用水点阀门与使用工序或设备之间应直连,就近连接至设备,否则使用点阀门后的配管会成袋型,需再增设排水阀。例如,当洗瓶机设备布置在洗瓶间中央,循环管为布置美观而靠墙敷设时就会产生上述现象。
图15~图19为ASME BPE对工艺用水使用点的设计要求。

图15 用水点距设备管道较长做法

图16 用水点与设备直接相连做法

图17 用水点后设换热器做法

图18 用水点下接水槽做法

图19 用水点下带软管做法
图20 为ISPE列举的用水点设计方式。

图20 ISPE列举的用水点设计方式
图21为典型的低温用水点设计方式。

图21 典型的低温用水点设计方式
5.2 管道的材质、阀门和附件
5.2.2 饮用水管材的选用应从耐腐蚀性能,连接的方便可靠,接口的耐久,不渗漏,材料的温度变形,抗老化等多方面综合考虑。饮用水的管道材料主要有:钢塑、铝塑、硬聚氯乙烯(U-PVC)、聚乙烯(PE)及三型聚丙烯(PPR)等,原水预处理的管道材料多选用丙烯腈-苯乙烯-丁二烯共聚物工程塑料(ABS)等耐压、耐腐蚀材料,在反渗透高压泵等精处理设施后,管道选用不锈钢材料。
5.2.3 本条为强制性条文,必须严格执行。为保证纯化水在贮存、输送过程中不再受到二次污染,依据GMP作此规定。
5.2.4 为保证注射用水在贮存、输送过程中不再受到二次污染,本条依据我国GMP作此规定。注射用水输送管道、管件等的材料应优先选用316L优质低碳不锈钢材料或聚偏氟乙烯(PVDF)、聚四氟乙烯(PTFE)等不污染注射用水的材料。
WHO《药品生产质量管理规范》规定:抛光后的管道内表面粗糙度的算术平均值不得超过0.8μm。ASME BPE规定:当药典水系统为SS316L或其他的合金钢材质时,表面抛光应小于或等于0.6μm。
注射用水输送管道采用蒸汽灭菌时,宜安装适合的疏水器,以利于排放冷凝水和空气。蒸汽导入口位置应合理,确保系统中所有点均能得到彻底灭菌。
5.2.5、5.2.6 制药行业的国际管道工业标准有:德国标准化学会标准(DIN),日本工业标准(JIS),英国国家标准(BS),美国机械工程师协会标准(ASME BPE),国际标准化组织标准(ISO)等。管道、阀门选用时应采用同一个标准,以避免焊接困难,管道的连接尽量采用自动轨道焊接方式,少用接头。
阀门优先选用隔膜阀、T型阀(零死角阀)等,膜片应采用卫生、无毒、无析出物、不脱落的材料,如EPDM(三元乙丙橡胶)、Viton(氟橡胶)、聚四氟乙烯(PTFE)。
注射用水系统中使用的阀门,应着眼于控制阀门对水系统可能带来的微生物污染,目前趋向于使用隔膜阀。因为从流体动力学观点来看,球阀、旋塞阀、闸阀、截止阀等存在水难以流动的盲区,有利于生物膜的生成。例如,球阀处于关闭状态时,其中心部位存留有不流动的死水,是一个死角,可以躲藏和繁殖微生物,可能成为水系统中微生物的一个发源地。因此USP从第24版起都明确要求应避免使用上述阀门。而隔膜阀却不存在死水区,属于卫生阀门,不利于微生物生长且能经受清洁及灭菌。该阀门结构简单,便于维修,流体阻力小,而且密封性好,关闭时不易漏水,从微生物控制角度来讲,阀体应采用不锈钢制造。对所用隔膜阀的阀片除要求内表面光滑外,还要求膜片是卫生、无毒、无析出物、不脱落,对注射用水介质没有溶出性,具有良好的抗挠性,经久耐用,最好能有经过有关部门验证的证明文件。
由于不锈钢隔膜阀的阀体几乎终身不需要维修,因此采用焊接方式连接阀门最为理想。
5.2.7 为了避免难处理焊缝,当纯化水和注射用水系统管道上需要安装压力表、温度表、变送器等时,不能随意在管路上开孔,只能在管路上预留异径三通或等径三通来接装仪表。
5.3 管径确定和压力损失计算
5.3.4 制药用水管道的水力计算:通常先根据各用水点的使用位置,先绘出系统管网轴测图,再根据管网中各管段的设计秒流量,按照制药用水的流动应处于湍流状态的要求选取适宜的流速。考虑到薄壁不锈钢水管管壁较薄,吸收噪声的能力差,本规范特别规定了管内流速不应超出1m/s~3m/s的流速允许范围。建议设计取值范围为1m/s~2m/s,通常按1.5m/s考虑。
5.3.5 管道摩擦压力降包括直管、管件和阀门等的压力降,同时亦包括孔板、突然扩大、突然缩小以及接管口等产生的局部压力降;静压力降是由于管道始端和终端标高差而产生的;速度压力降是指管道始端和终端流体流速不等而产生的压力降。
对复杂管路分段计算的原则,通常是在支管和总管(或管径变化处)连接处拆开,管件(如异径三通)应划分在总管上,按总管直径选取当量长度。总管长度按最远一台设备计算。
1 摩擦力压降包括直管段摩擦压力降和管件或阀门的局部压力降。
1)直管段摩擦压力降按下式计算:
不锈钢管道系统的直管段摩擦压力降可按以下公式计算:
![]()
式中:△Pfz——直管段摩擦压力降(kPa);
λ——摩擦系数,无因次;
L——管道长度(m);
D——管道内直径(m);
u——工艺用水的平均流速(m/s);
ρ——工艺用水的密度(kg/m3)。
当水温高于10℃时,管道系统直管段摩擦压力降应按表2的规定值乘以温度修正系数。
表2 直管段摩擦压力降的温度修正系数

2)管件或阀门的局部压力降按下式计算:

式中:△PK——流体经管件或阀门的压力降(kPa);
K——阻力系数,无因次。
常见弯头、接管和阀门局部阻力系数可按表3选取。
表3 常见弯头、接管和阀门局部阻力系数


三通的局部阻力系数可按表4选取。
表4 三通局部阻力系数


阀门的局部压力降也可采用流量系数计算。
![]()
式中:△Pkf——阀门的局部压力降(kPa);
Q——设计流量(m3/h);
Kv——阀门的流量系数(m3/h)。
流量系数Kv是指:在通过阀门的压力降为0.1MPa的标准条件下,温度为5℃~40℃的水每小时流过阀门的立方米体积流量(m3/h)。阀门的流量系数Kv值通常由制造厂(商)提供。
5.3.6 现行行业标准《管径选择》HG/T 20570.6-95表2.0.2-2中推荐,对于输送液体的管道,当泵的排出管道流量小于150m3/h时,每100m管长的压力降控制值为45.0kPa~50.0kPa。ISPE专家推荐工艺用水管道典型摩擦损失为50kPa/100m。因此,本规范规定管道允许的压力损失不宜超过0.05MPa/100m。
5.4 管道安装
5.4.1 我国GMP规定,纯化水、注射用水储罐和输送管道所用材料应当无毒、耐腐蚀。所以要求尽量使用自动氩弧焊进行焊接,自动氩弧焊机和焊机的夹具需要有足够的焊接操作空间,焊接过程的惰性气体保护极其重要,纯度不高的惰性气体会导致焊接氧化现象发生,并由此导致不锈钢焊缝的腐蚀。工艺用水管道宜在风管安装完成之后、其他管道未安装之前进行安装。
5.4.2 虽然惰性气体保护焊接不使用焊条,完全利用不锈钢管件自身材料熔接,最大限度地保持了焊接件的材料组成,有利于满足工艺用水的防腐要求。但是不锈钢管道焊接后,会引起焊缝材料的微结构和表面状况发生变化,抗腐蚀能力会下降。通过钝化处理,可以在管道表面形成钝化层,提高不锈钢抗氧化和抗腐蚀的能力。钝化的标准可参见美国材料实验协会《不锈钢零件的化学钝化处理的技术规范》(ASTMA 967-05)。钝化的方法有循环法和槽式浸泡法。在系统钝化处理时,一般采用整个系统循环钝化的方法,可避免拆卸管道,而且处理得比较彻底,效率较高。
5.4.5 本条为强制性条文,必须严格执行。我国GMP规定:设备的设计、选型、安装、改造和维护必须符合预定用途,应当尽可能降低产生污染、交叉污染、混合和差错的风险,便于操作、清洁、维护。生产过程中需要观察阀门实际工作状态,检修或拆除阀门,例如隔膜阀膜片属于非金属材料,需定期更换。因此,需要有方便更换膜片或拆除阀门的操作空间。此外,设备、管道的检修和拆除也需有足够的操作空间,所以阀门安装也不得妨碍设备、管道的检修。
5.4.6 由于相同材质不产生电位差,不会因管道电腐蚀而影响工艺用水质量。所以,本规范规定不锈钢管道支架的管托应采用不锈钢。
5.5 保 温
5.5.1 本条为强制性条文,必须严格执行。热或冷的注射用水系统在输送过程中管道会发生传热,导致系统在实际运行或灭菌时发生能量损失,并有可能发生烫伤等安全事故。因此,需对注射用水管道进行保温处理。
5.5.3 保温材料可溶出氯化物、氟化物、硅酸盐及钠离子。如果可溶出氯化物、氟化物、硅酸盐及钠离子的含量超过规定值,就会对输送医药工艺用水的不锈钢管道产生腐蚀,影响医药工艺用水的水质,从而影响药品质量。因此,保温材料可溶出氯化物、氟化物、硅酸盐及钠离子含量应符合现行国家标准《覆盖奥氏体不锈钢用绝热材料规范》GB/T 17393的规定,以避免对不锈钢管道的腐蚀。为保证洁净区的洁净度,在洁净区内的保温材料应保证不释放纤维和颗粒物,保温材料应采用不锈钢或其他不释放纤维和颗粒的材料作外壳保护。
6 站 房
6.1 一般规定
6.1.1 站房位置的布置涉及因素较多,所以提出应根据下列因素,经技术经济比较后确定。现将各因素分述如下:
1 靠近工艺用水负荷中心,可节省管道,减少压力损失,减少耗电,保证用水压力。
2 站房用水负荷最大,要考虑供水、排水的合理性。
3 站房设备较多,有些设备体量比较大,应尽量将站房布置在设备运输、安装较为方便的地方。
4 站房是生产工艺用水的地方,为了提高工艺用水产品质量,减少制备过程中可能受到的各种污染,故要求站房避免靠近有毒害气体、腐蚀性介质及粉尘产生的场所。
5 为避免站房的排水泄露至变配电房的设备上引起火灾等事故,所以要求站房要避开变配电站的上方布置。当不可避免时,应在变配电房和站房之间设置钢筋混凝土吊顶隔离。
6.1.2 从调查中看,站房的扩建、改建现象较为普遍。由于生产的发展和工艺用水制备新工艺、新技术的推广,站房的布置会发生变化。因此,在确定站房的规模时,应根据生产规划所规定的任务,以近期目标为主,并结合远景发展要求,综合分析确定。
6.1.3 防护层或采用的耐腐蚀材料应根据接触或可能接触腐蚀性介质的性质选用。接触或可能接触的腐蚀性介质主要有盐酸、氢氧化钠和氯化钠以及氯气、次氯酸钠等。
6.2 站房布置
6.2.1 医药工艺用水系统在日常运行中需要对每一制造单元处理前及处理后的水质情况进行监控、分析和记录,由于涉及试剂、仪器的使用,本规范推荐站房内设置化验室。在设置化验室时,应考虑采光、噪声和振动对化验室分析工作的影响。同时,由于取样、化验工作比较频繁,也应尽量考虑其便利。化验室的地面和化验台的防腐蚀设计,应符合现行国家标准《工业建筑防腐蚀设计规范》GB 50046的规定,其地面应设防滑措施。化验室的墙面应为白色、不反光,窗户宜防尘,化验台应有洗涤设施。
根据需要,可以将纯化水制备、储存与输送设备和注射用水制备、储存与输送设备布置在同一站房内;也可按工艺用水的性质、用途分设纯化水站房和注射用水站房。
6.2.2 考虑到站房潮湿、通风和散热等的要求,以及噪声和振动等对建筑物和环境的影响,兼顾防火安全,而作本条规定。
6.2.3 站房内有多种物料管道,如饮用水、纯化水、注射用水、压缩空气、蒸汽、再生液、废水、电气管线等,应在平面和空间上综合考虑,才能做到相互协调,整齐美观,安装、检修、运行与管理方便。在工艺布置合理、紧凑,满足设备和管道布置、安装、操作和维修要求的前提下,站房面积还应对未来改建、扩建留出合理的发展空间。
6.2.4 站房高度应根据设备高度、安装、吊运需要确定。当设备高度、安装、吊运需要的高度不及4.5m时,应结合通风、采光要求等因素确定站房高度,通常站房高度不宜低于4.5m。
6.3 设备布置
6.3.1~6.3.3 制水设备按工艺流程的顺序可分为预处理、去离子、后处理、储罐、工艺用水分配和输送等部分,设备的布置应根据设备和设施的不同功能布置。为便于设备运行管理,布置整齐美观,同类设备应集中在功能模块内布置,设备之间应留有适当的通道和空间,便于操作、维修和清洗以及更换滤料滤膜等,主要操作通道的净距不宜小于1.5m,其他通道均应满足检修的需要。
6.3.8 设置排水沟目的是防止电渗析在调试运转时水流满地,确保运行时干燥清洁。
7 建筑与结构
7.1 建 筑
7.1.1 本条为强制性条文,必须严格执行。本条按现行国家标准《建筑设计防火规范》GB 50016的有关规定,结合站房的具体情况,将站房的火灾危险性定为戊类生产场所。考虑到站房建筑的永久性和重要性,本规范规定站房的耐火等级不应低于二级。建筑物构件的燃烧性能和耐火极限应符合国家现行有关标准的规定。对于非独立的站房,为保护站房不因主体建筑火灾而烧毁,其火灾危险性分类和耐火等级应均按不低于主体建筑耐火等级设计。
7.1.2 站房是生产工艺用水的生产场所,由于水的用量较大,对环境防水、防潮、防霉、易清洗的要求较高,如果不采用防水、防潮、防霉、易清洗的材料,地面、墙壁、顶棚等均有可能出现霉变、起皮、脱落以及门窗变形等不良现象,这些现象会对工艺用水的生产造成负面影响,甚至影响工艺用水的质量。
蚊蝇、灰尘、老鼠等带有大量病菌,应采取防范措施,如窗户带纱窗、设置门槛等。
7.1.3 预处理工艺采用离子交换工艺时,需要使用酸、碱,其地面、门窗、墙柱、围堰或地沟和中和池等均有可能受到酸碱的侵蚀,因此应考虑防酸、防碱措施。
7.1.5 本条是按现行国家标准《建筑设计防火规范》GB 50016的有关规定,结合站房内设备出入的要求制定,目的是尽量减少预留墙洞,方便设备进出,并与安全疏散的要求融合一体。
7.1.6 因控制室内操作人员坐着进行监视,所以规定窗台高度不大于0.8m。控制室的面积应满足表盘和控制柜的布置,不能过小或过大。面积过小会影响布置和操作,面积过大会造成不必要的浪费。同时,在确定控制室面积时,应该考虑站房是否有预留发展的要求。为保持控制室干净卫生,减少积尘,便于清洁,所以要求控制室宜采用防尘地面,其内墙应刷涂料或贴墙面布。
7.2 结 构
7.2.2 站房地基中有可能发生“液化”的土层宜挖除。当该土层难以挖除时,宜采用桩基础、振冲法或强力夯实法等处理措施,也可结合地基防渗要求,采用板桩或截水墙围封等措施。站房地基为湿陷性黄土地基,可采用重锤表层夯实、换土垫层、灰土桩挤密、桩基础或预浸水等方法处理,并应符合国家现行有关标准的规定。泵房基础底面下应有必要的防渗设施。站房地基为膨胀土地基,在满足泵房布置和稳定安全要求的前提下,应减小泵房基础底面积,增大基础埋置深度,也可将膨胀土挖除,换填无膨胀性土料垫层,或采用桩基础。
8 公用工程
8.1 电 气
8.1.1 站房停电的直接后果是中断工艺用水供应。由于中断工艺用水供应对生产造成的损失较小,所以,除生产工艺明确要求不能中断供应工艺用水外,本条规定站房用电设备按三级负荷供电。
8.1.2 本条是国家对照明规定的基本要求,应予以执行。现行国家标准《建筑照明设计标准》GB 50034规定设备间照度不应小于100lx(地面),检验工作场所照度不应小于300lx(0.75m水平面),控制室照度不应小300lx(0.75m水平面)。
8.1.3 当工作照明因故熄灭时,为保证站房继续运行或停止操作,需严密注意水位、压力及操作有关阀门等。因此宜设有事故照明。
8.1.4 站房是生产工艺用水的生产场所,由于水的用量较大,对环境防水、防潮、防霉、防腐蚀的要求较高,所以电气设施应能满足防水、防潮、防霉及防腐蚀要求。
8.1.5 一般情况下,站房均应有电话分机,以便与本单位各部门通信联系。站房与其他某些用户之间有特殊需要时,可设置对讲电话,以便于站房可以按该用户的特殊情况调度工艺用水供应和安排生产。
8.1.6 视频监视系统作为辅助监控的手段,具有远距离实时监视设备运行、事件追溯、警卫等方面的优点,已经在许多制药企业中采用。其投资不是很大,制药企业可根据企业规划和生产管理的要求确定是否设置。
8.2 给水排水
8.2.1 随着医药工业的发展,企业的产品不断增多,规模快速扩大,工艺用水的需求也会不断增加。因此,进入站房的原水管径大小除能满足工艺用水制备的要求外,宜留有发展余量,以满足企业未来发展的要求。
8.2.2 由于管道内外温度不同可使管外壁结露,露滴可能会击中电气设备造成电机损坏,或滴落至设备和操作人员身体上。因此,对可能有结露的管道外表面采取有效的防结露措施是有必要的,如保温等。
8.2.3 在医药工艺用水制备过程中,由于不可避免地存在着水的消耗,如预处理设施需要冲洗、排污,去离子过程需要再生、清洗、浓水和极水的排放以及地面清洗等,考虑到消耗的水量较大,为便于排水,站房内应设置地沟,且地沟的深度和宽度应能满足及时排除积水的要求。同时为防止杂物掉入地沟和通行方便,要求地沟应铺设盖板。
8.2.4 在医药工艺用水制备过程中排放的废水具有腐蚀性,如去离子过程的再生液、清洗液、浓水和极水等,所以站房的排水汇集管道应采用耐腐蚀的管材,如硬聚氯乙烯、聚丙烯、工程塑料等。
8.3 暖通空调
8.3.1 对站房应优先考虑最经济、最有效的自然通风,同时强调“有组织”,以保证有效地排除设备散热和降低工作区的温度。在受工艺布置和建筑形式的限制,自然通风不能满足要求时,就应采用机械通风。
8.3.2 对化验室和控制室,为改善劳动条件,提出宜设空调和采暖设施的要求。
8.3.3 本条是依据现行国家标准《采暖通风与空气调节设计规范》GB 50019的规定制定。
附录B 纯化水、注射用水系统确认要求
B.2 纯化水、注射用水确认文件目录
B.2.6 性能确认中测试项目三个阶段说明如下:
第一阶段,密集取样和水质测试。
持续2周~4周,每天对各个制水工序和使用点等进行取样。目的是确认医药工艺用水系统能够生产出符合预定质量标准的水,并确定设备和系统的运行参数。
第二阶段,密集取样和水质测试。
持续2周~4周,每天对各个制水工序和使用点等进行取样。目的是确认医药工艺用水系统在既定的运行参数范围内能够连续生产出预定质量标准的水。
第三阶段,日常取样和水质测试。
持续1年,每天至少1个使用点取样,每周所有使用点轮换取样。目的是确认季节的变化对医药工艺用水系统的影响。