中华人民共和国国家标准
冷库设计标准
Standard for design of cold store
GB 50072-2021
主编部门:中华人民共和国商务部
批准部门:中华人民共和国住房和城乡建设部
施行日期:2021年12月1日
中华人民共和国住房和城乡建设部公告
2021年第118号
住房和城乡建设部关于发布国家标准《冷库设计标准》的公告
现批准《冷库设计标准》为国家标准,编号为GB 50072-2021,自2021年12月1日起实施。其中,第4.1.6、4.1.11、4.2.2、4.2.4、4.2.16、4.2.18、5.2.1、7.3.8、8.3.3、8.3.10、8.4.6(1)、9.2.1(1)条(款)为强制性条文,必须严格执行。原国家标准《冷库设计规范》(GB 50072-2010)同时废止。
本标准在住房和城乡建设部门户网站公开,并由住房和城乡建设部标准定额研究所组织中国计划出版社有限公司出版发行。
中华人民共和国住房和城乡建设部
2021年6月28日
前言
本标准是根据住房和城乡建设部《关于印发〈2015年工程建设标准规范制订、修订计划〉的通知》(建标〔2014〕189号)的要求,由华商国际工程有限公司会同有关单位共同编制完成。
本标准在修订过程中,编制组进行了广泛深入的调查研究,认真总结了本标准执行以来的工程实践经验,参考了国外相关规定,并在广泛征求意见的基础上,最后经审查定稿。
本标准的主要技术内容是:总则,术语,基本规定,建筑,结构,制冷,电气,给水排水,供暖、通风、空调和地面防冻等。
本标准修订的主要技术内容是:
1.对标准的适应范围做了调整,增加了有关装配式冷库、二氧化碳为制冷剂的亚临界蒸汽压缩直接式制冷系统和二氧化碳、盐水等为载冷剂的间接式制冷系统的工程设计要求。
2.修订了冷库冷藏间的最大允许总占地面积和每个防火分区内冷藏间最大允许建筑面积的标准,增加了高层冷库消防扑救的要求,增加了冷库保温隔热材料的耐火极限及防火构造要求。
3.增加了有关制冷系统规模的规定,有关制冷剂、载冷剂和制冷系统形式等选择的规定,有关制冷系统自动监测与控制的内容。
4.调整细化了有关氨制冷剂泄漏处置的设计要求。
本标准中以黑体字标志的条文为强制性条文,必须严格执行。
本标准由住房和城乡建设部负责管理和对强制性条文的解释,商务部市场体系建设司负责日常管理,华商国际工程有限公司负责具体技术内容的解释。执行过程中如有意见或建议,请寄送华商国际工程有限公司(地址:北京市丰台区右安门外大街99号,邮编:100069)。
本标准主编单位:华商国际工程有限公司
本标准参编单位:中国制冷学会
应急管理部天津消防研究所
应急管理部四川消防研究所
天津商业大学
上海海洋大学
哈尔滨商业大学
本标准主要起草人员:张伟 詹前忠 马进 李英 于连奎 邓建平 陈锦远 赵彤宇 马力平 李敏 孙立宇 杨一凡 路世昌 黄德祥 刘斌 谈向东 季阿敏 卓萍
本标准主要审查人员:刘长永 王宗存 胡福静 钟志锋 王志强 于志强 臧润清 李晓燕 寇九贵 王新民 唐俊杰 杨万华 谢彬 徐文焱
1 总 则
1.0.1 为规范和统一冷库设计的技术要求,指导冷库设计,满足食品冷藏技术和卫生要求,达到经济合理、节能环保、安全可靠的目的,制定本标准。
1.0.2 本标准适用于采用氨、卤代烃及其混合物、二氧化碳为制冷剂的亚临界蒸汽压缩直接式制冷系统和采用二氧化碳、盐水等为载冷剂的间接式制冷系统的新建、扩建和改建食品冷库。
1.0.3 冷库设计应做到安全可靠、节约能源、环境友好、经济合理、先进适用。
1.0.4 冷库设计除应符合本标准的规定外,尚应符合国家现行有关标准的要求。
2 术 语
2.0.1 冷库 cold store
采用人工制冷降温并具有保冷功能的仓储建筑,包括库房、制冷机房、变配电间等。
2.0.2 装配式冷库 assembly cold store
库房采用金属面绝热夹芯板等轻质复合夹芯板作为保温隔热及围护结构,并且现场组装的冷库。
2.0.3 高层冷库 high-rise cold store
库房建筑为2层及2层以上且建筑高度超过24m的冷库,库房一层室内地面与室外地坪高差不大于1.5m时,此高差不计入建筑高度。
2.0.4 高架冷库 high rack cold store
货架高度大于7m且采用机械化或自动化控制的货架冷库。
2.0.5 库房 storehouse
冷库建筑物主体及为其配套的楼梯间、电梯间、穿堂等附属房间。
2.0.6 穿堂 anteroom
为冷藏间、冰库、冷却间、冻结间进出货物而设置的通道,分为有人工制冷降温的控温穿堂和无人工制冷降温的非控温穿堂。
2.0.7 封闭站台 closed platform
库房直接与外部相连、有外部车辆装卸口的非敞开式站台或穿堂,分为有人工制冷降温的控温封闭站台和无人工制冷降温的非控温封闭站台。
2.0.8 冷间 cold room
冷库中采用人工制冷降温房间的统称,包括冷藏间、冰库、冷却间、冻结间、控温穿堂和控温封闭站台等。
2.10.9 冷却间 chilling room
对产品进行冷却的房间。
2.0.10 冻结间 freezing room
对产品进行冻结的房间。
2.0.11 冷藏间 cold storage room
用于贮存经冷加工产品的房间。
2.0.12 冷却物冷藏间 chilled food storage room
用于贮存高于冰点温度且低于常温的货物的房间。
2.0.13 冻结物冷藏间 frozen food storage room
用于贮存冻结货物的房间。
2.0.14 冰库 ice storage room
用于贮存冰的房间。
2.0.15 制冷机房 refrigerating machine room
安装制冷压缩机组和制冷辅助设备的房间。
2.0.16 冷却设备负荷 cooling equipment load
为维持冷间在某一温度,通过蒸发器移出的热量。
2.0.17 机械负荷 mechanical load
为维持制冷系统在某一蒸发温度正常运转,通过制冷压缩机移出的热量。
2.0.18 制冷系统 refrigerating system
按照制冷循环,通过管道密封连接,并充注制冷剂,依次连接起来的机械和设备组成的整体,包括原动机在内。
3 基本规定
3.0.1 冷库的设计规模应以冷藏间或冰库的公称容积为计算标准。公称容积大于20000m3的应为大型冷库,公称容积为5000m3~20000m3的应为中型冷库;公称容积小于5000m3的应为小型冷库。公称容积应按冷藏间或冰库的室内净面积乘以房间净高确定。
3.0.2 对于按直接堆码冷藏物冷库的计算容量可按下式计算:

式中:G——冷库的计算容量(t);
Vi——各个冷藏间的公称容积(m3);
ηi——各个冷藏间的容积利用系数;
ρi——各个冷藏间食品的计算密度(kg/m3);
n——冷藏间的数量。
3.0.3 在计算冷藏间的容积利用系数时,冷藏间内能够用于堆码的货物体积应扣除相应冷藏间内的以下空间:
1 通道、设备、柱子等构筑物所占用的空间;
2 货物与设备、构筑物间隔所占用的空间;
3 货物托盘所占用的空间。
3.0.4 对于采用货架储存冷藏物的冷库计算容量可按每个货位(托盘)最大允许存放量的总和计算。货位(托盘)数量应按实际布置确定。
3.0.5 食品计算密度应按实际密度采用,并不应小于表3.0.5的规定。

3.0.6 冷库设计的室外气象参数应符合现行国家标准《工业建筑供暖通风与空气调节设计规范》GB 50019的有关规定。
3.0.7 冷间的设计温度和相对湿度应根据各类食品的冷藏工艺要求确定,也可按表3.0.7的规定选用。温度波动范围应根据各类食品的冷藏工艺要求确定;当冷藏工艺没有明确要求时,冷却物冷藏间温度波动范围不宜超过±1℃,冻结物冷藏间温度波动范围不宜超过±1.5℃。


3.0.8 围护结构的总热阻应根据经济性原则确定,并且不应小于最小总热阻。
3.0.9 使用氨制冷系统的房间、安装在室外的氨制冷设备和管道与厂区外民用建筑的最小间距不应小于150m;当氨制冷系统符合本标准第6.7.17条的规定时,与厂区外民用建筑的最小间距不应小于60m。
4 建 筑
4.1 库址选择与总平面布置
4.1.1 冷库库址的选择应符合下列规定:
1 应符合当地总体规划的要求;
2 使用氨制冷系统的冷库库址宜选择在相邻集中居住区全年最大频率风向的下风侧;
3 库址周围应有良好的卫生条件,并应避开和远离有害气体、烟雾、粉尘及其他有污染源的地段;
4 应结合物流流向和近远期发展等因素,选择在交通运输方便的区域;
5 宜具备可靠的水源和电源以及排水条件;
6 应避开洪水和泥石流易发地段以及其他地质条件不良地段;
7 冷库库址还应综合考虑各类冷库的特殊要求。
4.1.2 冷库的总平面布置应符合下列规定:
1 应满足物流工艺、运输、管理和设备管线合理布置及消防安全等综合要求;
2 当设置铁路专用线时,库房应沿铁路专用线布置;
3 当设置水运码头时,库房应靠近水运码头布置;
4 当以公路运输为主时,库房应靠近冷库运输主出入口布置;
5 生产加工企业的冷库应布置在厂区的清洁区,并应在其污染区夏季最大频率风向的上风侧;
6 食品批发市场内氨制冷系统的冷库应布置在仓储区,并应与交易区分开布置;
7 在库区显著位置应设风向标。
4.1.3 冷库总平面布局应做到近远期结合,以近期为主,对库房占地、铁路专用线、水运码头、设备管线、道路、回车场等资源应统筹规划、合理布置,并应兼顾今后扩建的需求。
4.1.4 冷库总平面竖向设计应符合下列规定:
1 库区内应有良好的雨水排水系统,道路和回车场应有防积水和防滑的技术措施;
2 库房周边不应采用明沟排放污水。
4.1.5 库区的主要道路应铺设适于车辆通行的混凝土或沥青等路面。
4.1.6 两座一、二级耐火等级的库房贴邻布置时,贴邻布置的库房总长度不应大于150m,两座库房冷藏间总占地面积不应大于10000m2,并应设置环形消防车道。相互贴邻的库房外墙均应为防火墙,屋顶承重构件和屋面板的耐火极限不应低于1.00h。
4.1.7 建筑高度超过24m的装配式冷库之间及与其他高层建筑的防火间距均不应小于15m。
4.1.8 库房占地面积大于1500m2时,应至少沿库房两个长边设置消防车道。
高层冷库应至少沿一个长边或在周边长度的1/4且不小于一个长边长度的底边布置至少2块消防车登高操作场地,消防车登高操作场地对应范围的每层外墙面应设置可供消防救援人员进入的楼梯间入口或消防救援口。
库房的外墙应在每层的适当位置设置可供消防救援人员进入的消防救援口,且每个防火分区设置消防救援口的数量不应少于2个。
消防救援口应易于开启或破拆,并应设置易于识别的明显标志。
4.1.9 制冷机房宜靠近冷却设备负荷最大的区域,并应有良好的自然通风条件。
4.1.10 变配电所应靠近制冷机房布置。
4.1.11 库房与氨制冷机房及其控制室或变配电所贴邻布置时,相邻侧的墙体应至少有一面为防火墙,且较低一侧建筑屋顶耐火极限不应低于1.00h。
4.2 库房的布置
4.2.1 库房的布置应符合下列规定:
1 应满足冷藏工艺要求,运输线路宜短,应避免迂回和交叉;
2 冷间宜按不同的设计温度分区、分层布置;
3 冷间建筑应减少其保温隔热围护结构的外表面积;
4 冷藏间平面柱网尺寸和层高应根据贮藏食品的主要品种、包装规格、运输堆码方式、托盘规格和堆码高度以及经营和物流模式等使用功能确定,并应综合考虑建筑模数及结构选型。
4.2.2 每座冷库库房耐火等级、层数和冷藏间建筑面积应符合表4.2.2的规定。

4.2.3 冷藏间与穿堂或封闭站台之间的隔墙应为防火隔墙,且防火隔墙的耐火极限不应低于3.00h。防火隔墙上的冷库门表面应为不燃材料,芯材的燃烧性能等级不应低于B1级。当防火隔墙上冷库门洞口的净宽度大于2.1m,净高度大于2.7m时,冷库门的耐火完整性不应小于0.50h。
4.2.4 装配式冷库不设置本标准第4.2.3条规定的防火隔墙时,耐火等级、层数和面积应符合表4.2.4的规定。

4.2.5 库房内设置自动灭火系统时,每座库房冷藏间的最大允许总占地面积或装配式冷库库房的最大允许总占地面积可按本标准表4.2.2或表4.2.4的规定增加1倍,但表4.2.2中每个防火分区内冷藏间最大允许建筑面积或表4.2.4中每个防火分区最大允许建筑面积的规定值不可增加。
4.2.6 单层和多层库房每层穿堂或封闭站台的建筑面积不应大于1500m2,高层库房每层穿堂或封闭站台的建筑面积不应大于1200m2。
4.2.7 当库房的穿堂或封闭站台设置自动灭火系统和火灾自动报警系统时,穿堂或封闭站台每层最大允许建筑面积可按本标准第4.2.6条的规定增加1倍。
4.2.8 库房每个防火分区的安全出口不应少于2个,整座库房占地面积不超过300m2时,可只设1个直通室外的安全出口。对于安全出口全部直通室外确有困难的防火分区,可利用通向相邻防火分区的甲级防火门作为安全出口,但应符合下列规定:
1 相邻防火分区之间应采用防火墙分隔,作为安全出口的防火门应设醒目的警示标识;该防火墙确需设置物流开口时,开口部位宽度不应大于6.0m、高度不宜大于4.0m,且应采用与防火墙等效的措施进行分隔;
2 每个防火分区内的独立穿堂应至少设置1个直通室外的安全出口;
3 被借用的相邻防火分区应符合本标准第4.2.3条的规定。
4.2.9 冷藏间的分间应符合下列规定:
1 应按贮藏食品的特性及冷藏温度等要求分间;
2 宜按不同经营模式和管理需要分间;
3 有异味或易串味的贮藏食品不应与其他食品混合存放。
4.2.10 库房应设穿堂或站台,温度应根据冷藏工艺需要确定。
4.2.11 库房公路站台应符合下列规定:
1 站台宽度不宜小于5m;
2 站台边缘停车侧面应装设缓冲橡胶条块,并应涂有黄、黑相间防撞警示色带;
3 站台上宜设罩棚,靠站台边缘一侧当有结构柱时,柱边距站台边缘净距不宜小于0.6m;罩棚挑檐挑出站台边缘的部分不应小于1.00m,净高应与运输车辆的高度相适应,并应设有组织排水;
4 根据需要宜设封闭站台,封闭站台应与冷库穿堂合并或结合布置;
5 封闭站台的宽度及其内部温度应根据使用要求确定,外围护结构应满足相应的保温要求;
6 封闭站台的高度、门洞数量应与货物吞吐量相适应,控温封闭站台应设置相应的冷库门和连接冷藏车的密闭软门套;
7 在站台的适当位置应布置上、下站台的台阶和坡道,台阶处宜设置防护栏杆。
4.2.12 库房的铁路站台应符合下列规定:
1 站台宽度不宜小于7m;
2 站台边缘顶面应高出轨顶面1.1m,边缘距铁路中心线的水平距离应为1.75m;
3 站台长度应与铁路专用线装卸作业段的长度相同;
4 站台上应设罩棚,罩棚柱边与站台边缘净距不应小于2m,檐高和挑出长度应符合铁路专用线的界限规定;
5 在站台的适当位置应布置满足使用需要的上、下台阶和坡道,台阶处宜设置防护栏杆。
4.2.13 多层、高层库房应设置电梯等垂直运输设备。电梯或其他运输设备的轿厢选择应充分利用其运载能力。
4.2.14 电梯等垂直运输设备应分别独立设置井道,井壁的耐火极限不应低于2.00h,开口部位应设置耐火极限不低于1.00h的电梯层门或防火卷帘。
4.2.15 库房设置电梯的数量应按下列规定计算:
1 5t型电梯运载能力,可按34t/h计;3t型电梯运载能力,可按20t/h计;2t型电梯运载能力可按13t/h计。
2 以铁路运输为主的冷库及港口中转冷库的电梯数量应按一次进出货吞吐量和装卸允许时间确定。
3 全部为公路运输的冷库电梯数量应按日高峰进出货吞吐量和日低谷进出货吞吐量的平均值确定。
4 以铁路、水运进出货吞吐量确定电梯数量时,电梯位置应兼顾日常生产和公路进出货使用的需要,不宜再另设电梯。
4.2.16 冷库库房的楼梯间应设在穿堂附近,并应采用不燃材料建造,通向穿堂的门应为乙级防火门;楼梯间应在首层直通室外,当层数不超过4层且建筑高度不大于24m时,直通室外的门与楼梯间出口之间的距离不应大于15m。
4.2.17 冷藏间不应与带水作业的加工间及温度高、湿度大的房间相邻布置。
4.2.18 建筑面积大于1000m2的冷藏间应至少设2个冷库门,建筑面积不大于1000m2的冷藏间应至少设1个冷库门。
4.2.19 非控温穿堂或站台的冻结物冷藏间门口应配置风幕或耐低温的透明塑料门帘等,宜设置回笼间。
4.2.20 在库房内不应设置与库房生产、管理无直接关系的其他房间。
4.2.21 库房附属的办公室、值班室、更衣室、休息室等与库房生产、管理直接有关的辅助房间可布置于穿堂附近,应采用耐火极限不低于2.50h的防火隔墙和1.00h的楼板与其他部位分隔,并应至少设置1个独立的安全出口。隔墙上开设的连通门应采用乙级防火门。
4.3 库房的保温隔热
4.3.1 库房的保温隔热材料应根据下列条件选择:
1 导热系数小;
2 对食品无污染且低温化学性能稳定;
3 尺寸稳定性好;
4 用于地面、楼面时,其抗压强度不小于0.25MPa。
4.3.2 保温隔热材料的燃烧性能应符合下列规定:
1 冷库库房采用金属面绝热夹芯板等轻质复合夹芯板做保温隔热围护时,夹芯板芯材的燃烧性能不应低于B1级,且B1级芯材应为热固性材料。
2 建筑外围护结构的外墙及顶棚采用内保温隔热系统时,保温隔热材料的燃烧性能不应低于B1级。隔热材料表面应采用不燃性材料做保护层。
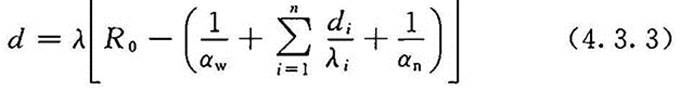
4.3.3 围护结构保温隔热材料的厚度应按下式计算:

式中:d——保温隔热材料的厚度(m);
λ——保温隔热材料的导热系数[W/(m.℃)];
R0——围护结构总热阻(m2.℃/W);
aw——围护结构外表面换热系数[W/(m2.℃)];
an——围护结构内表面换热系数[W/(m2.℃)];
di——围护结构除保温隔热层外第i层材料的厚度(m);
λi——围护结构除保温隔热层外第i层材料的导热系数[W/(m.℃)]。
4.3.4 冷库保温隔热材料设计采用的导热系数值应按下式计算确定:

式中:λ——设计采用的导热系数[W/(m.℃)];
λ'——导热系数测定值[W/(m.℃)];
b——导热系数的修正系数,宜按表4.3.4的规定采用。

4.3.5 冷间外墙、屋面或顶棚设计采用的室内外两侧温度差△t,应按下式计算确定:

式中:△t——设计采用的室内外两侧温度差(℃);
△t'——夏季空气调节室外计算日平均温度与室内温度差(℃);
a——围护结构两侧温度差修正系数,可按表4.3.5的规定采用。

4.3.6 冷间外墙、屋面或顶棚的总热阻根据设计采用的室内外两侧温度差△t值,可按表4.3.6的规定选用。严寒地区冷间设计温度高于0℃时,还应采用冬季空气调节室外计算温度进行验算。

4.3.7 冷间隔墙总热阻可根据隔墙两侧设计室温按表4.3.7的规定选用。

4.3.8 冷间楼面总热阻可根据楼板上、下冷间设计温度差按表4.3.8的规定选用。

4.3.9 直接铺设在土壤上的冷间地面总热阻可根据冷间设计温度按表4.3.9的规定选用。

4.3.10 铺设在架空层上的冷间地面最小总热阻应符合表4.3.10的规定。

4.3.11 库房围护结构外表面、内表面换热系数(aw、an)和热阻(Rw、Rn)应按表4.3.11的规定选用。

4.3.12 相邻同温冷间的隔墙及上、下相邻两层为同温冷间之间的楼板可不设保温隔热层。
4.3.13 当冷库底层冷间设计温度低于0℃时,地面应采取防止冻胀的措施;当地面下为岩层时,可不做防止冻胀处理。
4.3.14 冷库底层冷间设计温度大于或等于0℃时,地面可不做防止冻胀处理,但应仍设置相应的保温隔热层。在空气冷却器基座下部及其周边1m范围内的地面总热阻R0不应小于3.18m2.℃/W。
4.3.15 冷库屋面及外墙装饰面层宜涂白色或浅色。
4.4 库房的防潮隔汽
4.4.1 当围护结构两侧设计温差大于或等于5℃时,应在保温隔热层温度较高的一侧设置隔汽层。
4.4.2 采用围护结构内保温隔热时,围护结构蒸汽渗透阻宜按下式计算:
![]()
式中:H0——围护结构隔汽层高温侧各层材料(隔汽层以外)的蒸汽渗透阻之和(m2.h.Pa/g),
Psw——围护结构高温侧空气的水蒸气分压力(Pa);
Psn——围护结构低温侧空气的水蒸气分压力(Pa)。
4.4.3 当在隔汽层上进行现喷或灌注硬质聚氨酯泡沫塑料材料时,隔汽层不应选用热熔性材料。
4.4.4 库房防潮隔汽层的构造应符合下列规定:
1 外墙的隔汽层应与地面保温隔热层上、下的防水层和隔汽层搭接;
2 楼面、地面的保温隔热层上、下、四周应做防水层或隔汽层,且楼面、地面保温隔热层的防水层或隔汽层应全封闭;
3 冷却间或冻结间隔墙的保温隔热层两侧均应做隔汽层。
4.4.5 装配式冷库轻质复合夹芯板的拼装应采取可靠措施保证板缝挤紧、密实和隔汽层的连续。
4.5 库房的构造要求
4.5.1 库房屋面宜设置通风隔热层。在夏热冬暖地区的库房屋面上应设置通风间层或采用热反射涂料面层等。
4.5.2 库房的吊顶采用轻质复合夹芯板做保温隔热围护时,闷顶应有通风设施。
4.5.3 装配式冷库围护结构外墙宜设置通风隔热层。
4.5.4 通风间层及闷顶的通风口应有防止小动物进入的构造措施。
4.5.5 冷藏间的外墙与檐口及各层冷藏间外墙与穿堂连接部位的变形缝应采取防漏水的构造措施。
4.5.6 库房下列部位均应采取防冷桥的构造处理:
1 由于承重结构需要连续而使保温隔热层断开的部位;
2 门洞和设备、电气管线穿越保温隔热层周围的部位;
3 冷藏间、冻结间通往穿堂的门洞外跨越变形缝部位的局部地面和楼面。
4.5.7 库房屋面排水宜设置外天沟和墙外明装雨水管。
4.5.8 冷间建筑的地面架空层应有防止地表水浸入的措施。
4.5.9 库房内管道井、楼梯间的建筑构造应符合现行国家标准《建筑设计防火规范》GB 50016的有关规定。
4.6 制冷机房、变配电所和控制室
4.6.1 制冷机房、变配电所和控制室应符合下列规定:
1 制冷机房的布置应依据建筑类别满足制冷工艺的要求;
2 制冷机房、变配电所和控制室均应有直通室外的安全出口,门应采用平开门并向外开启;
3 制冷机房内的墙裙、地面和设备基座应采用易于清洗的面层。
4.6.2 氨制冷机房除应符合本标准第4.6.1条的规定外,还应符合下列规定:
1 氨制冷机房的控制室应采用耐火极限不低于3.00h的防火隔墙隔开,隔墙上的观察窗应采用固定甲级防火窗,连通门应采用开向制冷机房的甲级防火门;
2 变配电所与氨制冷机房或控制室贴邻共用的隔墙应采用防火墙,该墙上应只穿过与配电有关的管道、沟道,穿过部位周围应防火封堵。
4.6.3 氨制冷机房应至少有1个建筑长边不与其他建筑贴邻,并开设可满足自然通风的外门窗。
5 结 构
5.1 —般规定
5.1.1 冷间宜采用钢筋混凝土结构或钢结构,当为小型冷库时,冷间也可采用砌体结构。
5.1.2 冷库结构的设计使用年限和安全等级应符合现行国家标准《建筑结构可靠度设计统一标准》GB 50068的有关规定。
5.1.3 冷库结构的抗震设防类别应按现行国家标准《建筑工程抗震设防分类标准》GB 50223的有关规定确定。
5.1.4 冷间结构应考虑所处环境温度变化作用产生的变形及内应力影响,并应采取相应措施减少温度变化作用对结构引起的不利影响。
5.1.5 冷间采用钢筋混凝土结构时,伸缩缝的最大间距不宜大于50m。当有充分依据或可靠措施时,伸缩缝最大间距可适当增加。
5.1.6 冷间顶层为阁楼时,阁楼屋面宜采用装配式结构。当采用现浇钢筋混凝土屋面时,现浇钢筋混凝土阁楼屋面伸缩缝最大间距可按表5.1.6的规定采用。

5.1.7 当冷间阁楼屋面采用现浇钢筋混凝土楼盖,且相对边柱中心线距离大于或等于30m时,边柱柱顶与屋面梁宜采用铰接。
5.1.8 当冷间底层为现浇钢筋混凝土架空地面时,架空层净高宜满足施工要求,当采用地垄墙架空时,地面结构宜采用混凝土预制梁板。
5.1.9 当库房外墙采用自承重砌体墙时,外墙与库内承重结构之间每层均应设置可靠拉结并采取防冷桥措施,且库房外墙应有可靠的防裂构造措施。
5.1.10 处于低温环境下的库房墙砌体应有可靠的防裂措施。
5.1.11 冷间混凝土结构的环境类别应符合表5.1.11的规定。

5.1.12 冷间钢筋混凝土板每个方向全截面最小温度配筋率不应小于0.3%。
5.1.13 0℃以下的库房承重墙和柱基础的最小埋置深度,自库房室外地坪向下不宜小于1.5m,且应满足所在地区冬季地基土冻胀和融陷影响对基础埋置深度的要求。当采用加热地面防冻胀时,库房内承重墙和柱基础的埋置深度可根据地基土情况适当减小。
5.1.14 软土地基应采取处理措施,并应防止库房地面大面积堆载引起的地基不均匀变形及其对墙、柱基础,库房地面及上部结构的不利影响。
5.1.15 抗震设防烈度6度及6度以上的板柱-抗震墙结构,柱上板带上部钢筋的1/2及全部下部钢筋应纵向连通。
5.1.16 采用自动存取设备的高架冷库的库房,地面的变形应满足其使用功能。
5.2 荷 载
5.2.1 直接码垛货物的冷库楼面和地面结构均布活荷载标准值及准永久值系数的取值,应根据房间用途按表5.2.1的规定采用。

5.2.2 采用货架储存货物的冷库地面均布活荷载标准值应根据货架层数及货物密度等按实际情况计算取值。
5.2.3 楼(屋)面结构下有设备吊重时,应按实际情况另加。
5.2.4 设计4层及4层以上的冷库,其库房的梁、柱、墙及基础的楼面活荷载标准值折减系数宜按表5.2.4的规定采用。

5.2.5 制冷机房操作平台无设备区域的操作荷载,可按均布活荷载2kN/m2考虑,设备应按实际荷载确定。
5.2.6 制冷机房设于楼面时,楼面均布活荷载标准值应采用8.0kN/m2;制冷设备重量折算的等效均布活荷载标准值超过8.0kN/m2时,应按实际情况采用;制冷机房屋面设有大型设备时,屋面设备的操作及一般检修均布活荷载应按2kN/m2确定,设备荷载应按实际情况确定;楼面及屋面上的制冷压缩机等设备应有减振措施;振动设备的荷载应乘以动力系数1.3。
5.3 材 料
5.3.1 冷间内水泥应采用硅酸盐水泥或普通硅酸盐水泥。不得采用火山灰质硅酸盐水泥和粉煤灰硅酸盐水泥;不同品种水泥不得混合使用,同一构件不得使用两种以上品种的水泥。所用水泥强度等级不应小于42.5。
5.3.2 温度在-40℃以下工作环境的混凝土强度等级应为C40~C60,并应符合现行国家标准《低温环境混凝土应用技术规范》GB 51081的有关规定。
5.3.3 冷间用的混凝土当需提高抗冻融破坏能力时,可掺入适宜的混凝土外加剂,外加剂的应用应符合现行国家标准《混凝土外加剂应用技术规范》GB 50119的有关规定。
5.3.4 钢筋混凝土结构的钢筋应按下列规定选用:
1 纵向受力普通钢筋宜采用HRB400、HRB500、HRBF400、HRBF500钢筋,也可采用HRB335钢筋;
2 梁、柱纵向受力普通钢筋应采用HRB400、HRB500、HRBF400、HRBF500钢筋;
3 箍筋宜采用HRB400、HRBF400、HRB500、HRBF500钢筋。
5.3.5 钢结构钢材宜采用Q235、Q345、Q390、Q420和Q460钢,其质量应分别符合现行国家标准《碳素结构钢》GB/T 700、《低合金高强度结构钢》GB/T 1591和《建筑结构用钢板》GB/T 19879的有关规定。
5.3.6 钢结构承重结构所用的钢材应具有屈服强度、断后伸长率、抗拉强度和硫、磷含量的合格保证,对焊接结构尚应具有碳当量的合格保证。焊接承重结构以及重要的非焊接承重结构采用的钢材应具有冷弯试验的合格保证,对直接承受动力荷载或需验算疲劳的构件所用钢材尚应具有冲击韧性的合格保证。
5.3.7 冷间钢结构用钢的钢材质量等级的选用应符合下列规定:
1 当工作温度高于0℃时,质量等级不应低于B级;
2 当工作温度不高于0℃但高于-20℃时,Q235、Q345钢不应低于C级,Q390、Q420及Q460钢不应低于D级;
3 当工作温度不高于-20℃时,Q235、Q345钢不应低于D级,Q390、Q420、Q460钢应选用E级;
4 冷间钢结构用钢不应采用沸腾钢及半镇静钢。
5.3.8 冻结物冷藏间、冻结间、冰库等不高于0℃房间的承重墙砖砌体应采用强度等级不低于MU20的烧结普通砖,非承重墙砖砌体应采用强度等级不低于MU10的烧结普通砖,并应采用强度等级不低于M7.5的水泥砂浆砌筑和抹面。
5.4 防护及涂装
5.4.1 库房内车辆及叉车行车区域,承重结构应设置防止碰撞等的安全防护措施。
5.4.2 钢结构采用的防锈、防腐蚀材料应为环保、无毒材料。
5.4.3 钢结构表面原始锈蚀等级和钢材除锈等级标准应符合现行国家标准《涂覆涂料前钢材表面处理 表面清洁度的目视评定 第1部分:未涂覆过的钢材表面和全面清除原有涂层后的钢材表面的锈蚀等级和处理等级》GB/T 8923.1的有关规定,并应符合下列规定:
1 表面原始锈蚀等级为D级的钢材不应用作结构钢;
2 喷砂或抛丸用的磨料等表面处理材料应满足防腐蚀产品对表面清洁度和粗糙度的要求,并应满足环保要求。
5.4.4 钢结构防腐蚀设计应符合下列规定:
1 当采用型钢组合的杆件时,型钢间的空隙宽度宜满足防护层施工、检查和维修的要求。
2 不同金属材料接触会加速腐蚀时,应在接触部位采用隔离措施。
3 焊条、螺栓、垫圈、节点板等连接构件的耐腐蚀性能不应低于主材材料。螺栓直径不应小于12mm。垫圈不应采用弹簧垫圈。螺栓、螺母和垫圈应采用镀锌等方法防护,安装后应再采用与主体结构相同的防腐蚀方案。
4 设计使用年限大于或等于25年的建筑物,对不易维修的钢结构应加强防护。
5 应避免出现难以检查、清理和涂漆之处,以及能积留湿气和大量灰尘的死角或凹槽。闭口截面构件应沿全长和端部焊接封闭。
6 钢柱脚在地面以下的部分应采用强度等级较低的混凝土包裹,包裹的混凝土高出室外地面不应小于150mm,室内地面不宜小于50mm,并宜采取防止水分残留的措施。当柱脚底面在地面以上时,柱脚底面高出室外地面不应小于100mm,室内地面不宜小于50mm。
5.4.5 在钢结构设计文件中应注明防腐蚀方案,当采用涂(镀)层方案,应注明所要求的钢材除锈等级和所要用的涂料或镀层及涂(镀)层厚度,并应注明使用单位在使用过程中对钢结构防腐蚀进行定期检查和维修的要求,宜制订防腐蚀维护计划。
5.4.6 建筑结构构件的设计耐火极限应符合现行国家标准《建筑设计防火规范》GB 50016的有关规定。
5.4.7 在钢结构设计文件中,应注明结构的设计耐火等级、构件的设计耐火极限、所需要的防火保护措施及其防火保护材料的性能要求,并应符合现行国家标准《建筑钢结构防火技术规范》GB 51249的有关规定。
6 制 冷
6.1 —般规定
6.1.1 除冷库制冷系统外,其他非冷库制冷系统设计可按本章的相关规定执行。
6.1.2 制冷系统所采用的卤代烃及其混合物制冷剂应符合现行国家标准《制冷剂编号方法和安全性分类》GB 7778规定的A1类制冷剂标准。
6.1.3 制冷系统的总排气量大于5000m3/h的应为大型制冷系统,总排气量为500m3/h~5000m3/h的应为中型制冷系统;总排气量小于500m3/h的应为小型制冷系统。
6.2 负荷计算
6.2.1 负荷计算应包括冷间冷却设备负荷和制冷系统机械负荷,宜采用逐时或通过工程系数修正的稳态计算方法。
6.2.2 冷间冷却设备负荷应包括冷间围护结构热流量、冷间内货物热流量、冷间通风换气热流量、冷间内电动机运转热流量和冷间操作热流量。
6.2.3 制冷系统机械负荷应根据不同蒸发温度分别计算,各蒸发温度的机械负荷应包括所有相应冷间的冷间围护结构热流量、冷间内货物热流量、冷间通风换气热流量、冷间内电动机运转热流量、冷间操作热流量和所有相应制冷设备与管道的冷损耗。
6.2.4 冷间围护结构热流量计算应符合下列规定:
1 冷间外墙和屋面外侧的计算温度应采用夏季空调室外计算日平均温度,热流量计算应包括太阳辐射因素;
2 冷间内墙和楼板外侧的计算温度应采用邻室的室温,当邻室为冷间时,室温采用空库保持温度应符合现行国家标准《冷库管理规范》GB/T 30134的有关规定;
3 冷间地面隔热层下设有加热装置时,外侧的计算温度应符合本标准第9章的相关规定;
4 冷间围护结构隔热材料设计采用的导热系数值应符合本标准第4章的相关规定。
6.2.5 冷间内货物热流量应包括食品热流量、食品包装材料和运载工具热流量、食品冷却时的呼吸热流量和食品冷藏时的呼吸热流量,计算应符合下列规定:
1 冷藏间的食品冷加工时间应按食品冷藏工艺要求确定,没有明确的工艺要求时,不应超过24h;
2 冻结物冷藏间的食品进入温度应按食品进入前的冷加工及储运条件确定,没有明确的要求时,不宜低于-8℃;
3 冷却物冷藏间的食品进入温度应按食品进入前的冷加工及储运条件确定,没有明确的要求时,生产性冷库不宜低于当地食品进入冷间的生产旺月的月平均温度,物流冷库和商用冷库储存肉类、水产品不宜低于15℃、储存果蔬不宜低于25℃;
4 冻结物冷藏间的食品每日进货量应按实际使用要求确定,没有明确的要求时,物流冷库不宜少于冷间计算容量的5%、商用冷库不宜少于冷间计算容量的10%;
5 冷却物冷藏间的食品每日进货量应按实际使用要求确定,没有明确的要求时,物流冷库不宜少于冷间计算容量的10%、商用冷库不宜少于冷间计算容量的20% ;
6 食品热流量和食品包装材料热流量应按降温过程中的最大热流量计算。
6.2.6 冷间通风换气热流量应包括有呼吸要求的食品的新风热流量和冷间内长期停留的操作人员需要的新风热流量,计算应符合本标准第9章的相关规定。
6.2.7 冷间内电动机运转热流量应包括冷间内制冷设备配用的电动机运转热流量、冷间内运输工具配用的电动机运转热流量、冷间内固定配置的食品加工和包装工具配用的电动机运转热流量。
6.2.8 冷间操作热流量应包括照明系统在冷间内的散热量、通过冷库门进入的冷间外空气热流量、冷间内操作人员散热量、加湿系统在冷间内的散热量、冷间内冷却设备除霜和防冻加热散热量,计算应符合下列规定:
1 对于冷库门设置在非控温穿堂或站台的冷间,冷间外空气计算参数应按夏季通风室外计算温度、相对湿度选取;
2 冷间内操作人员散热量应包括显热和潜热;
3 加湿系统在冷间内的散热量应包括显热和潜热;
4 冷却设备除霜时不储存食品的冷间,冷间操作热流量不应包括冷间内冷却设备的除霜散热量;
5 全自动搬运货物的冷间,冷间操作热流量不应包括检修用照明系统在冷间内的散热量和冷间内检修人员散热量。
6.2.9 制冷系统机械负荷采用稳态计算方法时,各项热流量不应包括相应冷间对应热流量的重复计算部分;当各项热流量的峰值不同时出现时,应通过工程系数修正;对于严格限制压缩机运行时间的制冷系统,机械负荷应通过工程系数修正。
6.2.10 除冷间热流量、制冷设备与管道的冷损耗外,制冷系统机械负荷应包括维持制冷系统在某一蒸发温度正常运转时需要制冷压缩机移出的其他热流量。
6.2.11 冷却物冷藏间的最低使用温度高于当地冬季空调室外计算温度时,冷间冷却设备负荷还应按冬季工况计算。
6.3 制冷系统与设备选择
6.3.1 制冷系统的设计蒸发温度应符合下列规定:
1 冷间的湿度没有工艺要求时,冷间温度和制冷系统蒸发温度的温差应根据经济性原则确定,并且直接式制冷系统不宜超过10℃、间接式制冷系统不宜超过15℃;
2 冷间的湿度有工艺要求时,冷间温度和制冷系统蒸发温度的温差应首先满足湿度要求;
3 在集中式制冷系统内,对于温度接近、运行特性互不影响的蒸发温度,经济分析可行时宜合并设置;
4 二氧化碳制冷系统的高温级蒸发温度和二氧化碳冷凝温度的温差应根据经济性原则确定,且不宜超过5℃。
6.3.2 制冷系统冷凝温度应根据经济性原则确定,并应符合下列规定:
1 大、中型制冷系统和氨制冷系统不宜高于40℃;
2 小型制冷系统不宜高于50℃;
3 对于冷凝侧二氧化碳同时用作间接式制冷的二氧化碳复叠式制冷系统,冷凝温度的确定还应遵循系统简化的原则。
6.3.3 制冷剂的选择应符合下列规定:
1 对于生产性冷库和物流冷库,其中具有分拣、配货功能的穿堂或封闭站台不应采用氨直接蒸发制冷;
2 商用冷库不应采用氨;
3 大、中型冷库和大、中型制冷系统不宜采用卤代烃及其混合物在冷间内直接蒸发制冷。
6.3.4 载冷剂的选择应符合下列规定:
1 商用冷库不应采用氨水溶液载冷剂;
2 氨水溶液载冷剂的质量浓度不应超过10%;
3 对于大、中型制冷系统,载冷剂使用温度低于-5℃时,宜采用二氧化碳;
4 盐水载冷剂的凝固温度应低于设计蒸发温度,并且温差不应小于5℃。
6.3.5 大、中型的生产性冷库和物流冷库宜采用集中式制冷系统。
6.3.6 对于制冷剂采用卤代烃及其混合物的直接蒸发制冷系统,不宜采用多倍循环供液。
6.3.7 冷间冷却设备的选择应符合食品冷加工或冷藏的要求,并应符合下列规定:
1 对于设计温度高于0℃的冷间内的或需要频繁除霜的冷却设备,宜采用空气冷却器;
2 对于储存块冰的冰库,冷却设备宜采用冷排管;
3 食品冻结加工应根据不同食品冻结工艺要求选用相应的冻结装置;
4 冷却设备不应危害食品安全。
6.3.8 冷间冷却设备在一个除霜或清洗周期内的实际换热量不应小于该冷间冷却设备负荷。
6.3.9 冷间冷却设备的实际换热量应按照设计工况通过校核计算确定。
6.3.10 冷间冷却设备内每一通路的压力降宜控制在制冷剂对应的饱和温度降低1℃的范围内。
6.3.11 现场组装冷排管的设计应符合下列规定:
1 氨冷排管不应采用铜、铝及其合金管,管内不应镀锌;
2 采用热气融霜的冷排管和二氧化碳冷排管不应按低温低应力工况选用材料;
3 冷排管采用碳钢或低合金钢管制作时,二氧化碳冷排管腐蚀裕量不应小于2mm,氨冷排管腐蚀裕量不应小于1.5mm,卤代烃及其混合物冷排管腐蚀裕量不应小于1mm;
4 冷排管强度和刚度应按照外表面结冰、管内全部充满液态制冷剂计算;
5 翅片冷排管的翅片构造应方便扫霜操作,翅片与管的连接不应在扫霜和融霜操作时松动,翅片的机械强度应保障扫霜操作时不变形;
6 宜采取减少冷排管内制冷剂灌注量的措施。
6.3.12 大、中型冷库的空气冷却器不宜采用电融霜。
6.3.13 冷间内的空气分配系统应符合下列规定:
1 当冷间采用上送风方式时,贴附射流区应无遮挡,并且贴附射流距离不应小于设计要求的送风距离;
2 冷间内货区的气流组织应均匀;
3 冷藏间降温时,货区各处温差不应超过冷藏间温度波动范围。
6.3.14 制冷压缩机(制冷压缩机组)的选择应符合下列规定:
1 各蒸发温度系统的制冷压缩机(制冷压缩机组)的总制冷量不应小于相应机械负荷;
2 对于集中式制冷系统,各蒸发温度宜选择多台制冷压缩机(制冷压缩机组),其制冷量搭配应保障制冷系统在最小负荷时能够安全、经济运行;采用单台制冷压缩机(制冷压缩机组)时,其制冷量应能够调节,保障制冷系统在最小负荷时能够安全、经济运行;
3 对于分散式制冷系统,系统负荷波动大时应选择多台或带制冷量调节的单台制冷压缩机(制冷压缩机组),并应保障制冷系统在最小负荷时能够安全、经济运行;
4 二氧化碳制冷系统运行过程中无法保障工作压力小于系统设计压力时,应配置辅助制冷机组,辅助制冷机组的蒸发温度与其控制的二氧化碳压力对应饱和温度的温差不宜大于10℃,制冷量应大于二氧化碳系统的漏热量。
6.3.15 制冷系统内的中间冷却器、液体分离器、油分离器、冷凝器、冷凝-蒸发器、贮液器、低压循环贮液器、制冷剂循环泵、集油器、空气分离器、干燥-过滤器应通过设计或校核计算确定,并应与制冷系统内相应制冷压缩机(制冷压缩机组)、蒸发器的运行参数匹配。
6.3.16 对于冷凝温度运行范围有严格要求的制冷系统,冷凝器排热量应能够调节,并且调节范围能够满足冷却介质温度最低时制冷系统按最小能级安全、经济运行。
6.3.17 对于只有一台制冷压缩机(制冷压缩机组),并且制冷量不能调节的制冷系统,冷凝器排热量应能够保障制冷系统蒸发温度在上限运行时冷凝温度不超过上限。
6.3.18 大、中型制冷系统宜采用蒸发式冷凝器。
6.3.19 蒸发式冷凝器的标定排热量应按照实际工况修正,实际工况应包括下列因素:
1 制冷系统设计冷凝温度和当地夏季空调室外计算湿球温度;
2 水垢、污垢和油污对换热的影响;
3 安装环境中其他热源、空气流通不畅的影响。
6.3.20 风冷冷凝器的标定排热量应按照实际工况修正,实际工况应包括下列因素:
1 制冷系统设计冷凝温度和当地夏季空调室外计算干球温度;
2 污垢和油污对换热的影响;
3 安装环境中其他热源、太阳辐射、空气流通不畅的影响。
6.3.21 制冷剂循环泵宜采用屏蔽泵。
6.3.22 大、中型制冷系统内的冷冻油向系统外排放时,应通过集油器等设备分离其中的制冷剂。
6.3.23 氨制冷系统和大、中型卤代烃及其混合物制冷系统内的不凝性气体向系统外排放时,应通过不凝性气体分离器等设备分离其中的制冷剂。
6.3.24 卤代烃及其混合物、二氧化碳制冷系统应设置制冷剂水分含量显示装置和干燥剂可更换的干燥装置。
6.4 制冷设备布置
6.4.1 冷间内冷却设备的布置应避免降低冷间容积利用系数,并应便于安装、检修、维护和操作;除冷却设备外,其他制冷设备不应布置在冷间内。
6.4.2 除冷却设备外,其他氨制冷设备不应布置在库房内,其他卤代烃及其混合物、二氧化碳制冷设备在库房内布置时,应布置在制冷设备间内;制冷设备的布置应符合工艺流程、安全规程,并应满足设备操作、部件检修和拆卸对空间的要求,同时还应充分利用机房空间,节省建筑面积。
6.4.3 对于氨制冷系统、采用大型和中型制冷系统的生产性冷库和物流冷库,制冷机房内主要通道的宽度不应小于1.5m,非主要通道的宽度不应小于0.8m,制冷压缩机(制冷压缩机组)突出部分到其他设备或阀站的距离不应小于1.5m,两台制冷压缩机(制冷压缩机组)突出部位之间的距离不应小于1.0m。
6.4.4 库房内的阀站应布置在库房的制冷设备间或阀站间内,并且手动阀站与其相关的压缩机或辅助设备的布置不应在空间上分离。
6.4.5 风冷和蒸发式冷凝器的布置需要符合下列规定,否则应采取相应的补救措施。
1 通风良好、风向无影响;
2 无其他热源的影响;
3 满足周围环境对设备噪声的要求。
6.4.6 制冷剂循环泵和二氧化碳载冷剂循环泵的安装高差不应小于循环泵的净正吸入压头。
6.4.7 氨制冷系统润滑油处理设备不应布置在制冷机房内。
6.4.8 氨制冷机房内不应布置与制冷系统运行和保护无关的设备。
6.5 制冷管道
6.5.1 制冷管道系统设计应符合现行国家标准《工业金属管道设计规范》GB 50316、《压力管道规范 工业管道》GB/T 20801和《压力管道安全技术监察规程——工业管道》TSG D0001的有关规定。
6.5.2 氨、卤代烃及其混合物制冷系统管道的设计压力应根据当地夏季空调室外计算干球温度和工作压力计算确定,高压侧设计压力不应小于冷凝温度加5℃所对应的制冷剂饱和压力及当地夏季空调室外计算干球温度加5℃所对应的制冷剂饱和压力中的最大值,低压侧设计压力不应小于当地夏季空调室外计算干球温度加5℃所对应的制冷剂饱和压力及最高工作压力加循环泵扬程中的最大值,并且制冷系统管道设计压力不应小于表6.5.2内规定的压力值。

6.5.3 二氧化碳制冷系统管道的设计压力应符合下列规定:
1 与热气融霜无关的管道的设计压力不应小于系统运行的最高工作压力,并且最低设计压力不应小于3.9MPa;
2 与热气融霜有关的管道设计压力不应小于最高融霜温度对应的饱和压力,并且最低设计压力不应小于5.1MPa。
6.5.4 氨、卤代烃及其混合物制冷系统管道的设计温度应符合下列规定:
1 高压侧管道应按压缩机最高排气温度加10℃确定,并且不宜低于150℃;
2 低压侧管道应按设计蒸发温度减3℃~5℃确定;
3 热气融霜管道应按高压侧管道和低压侧管道运行工况中材质、许用应力最不利条件时对应的温度确定。
6.5.5 二氧化碳制冷系统管道的设计温度应符合下列规定:
1 复叠式制冷系统的低温级低压侧管道应按设计蒸发温度减3℃~5℃确定;
2 低温级冷凝温度低于0℃的复叠式制冷系统的低温级高压侧管道应按高温级制冷系统的设计蒸发温度减3℃~5℃确定;
3 低温级冷凝温度高于0℃的复叠式制冷系统的低温级高压侧管道应按低温级最高排气温度加10℃确定,并且不宜低于80℃;
4 间接式制冷系统的载冷管道应按制冷系统设计蒸发温度减3℃~5℃确定;
5 热气融霜管道应按低温级的高压侧管道和低压侧管道工况中材质、许用应力最不利条件时对应的温度确定。
6.5.6 直接式制冷系统和二氧化碳间接式制冷系统管道应采用无缝、非脆性金属管道,钢管应符合现行国家标准《输送流体用无缝钢管》GB/T 8163或《低温管道用无缝钢管》GB/T 18984的有关规定,不锈钢管应符合现行国家标准《输送流体用不锈钢无缝钢管》GB/T 14976的有关规定,铜管应符合现行国家标准《空调与制冷设备用铜及铜合金无缝管》GB/T 17791的有关规定。
6.5.7 直接式制冷系统和二氧化碳间接式制冷系统管道材料宜按照经济适用原则选择,应符合现行国家标准《工业金属管道设计规范》GB 50316、《压力管道规范 工业管道 第2部分:材料》GB/T 20801.2的有关规定,并应符合下列规定:
1 除符合现行国家标准《压力管道规范 工业管道 第2部分:材料》GB/T 20801.2规定的低温低应力工况的管道外,制冷系统管道材料的使用温度范围应满足制冷系统管道设计温度的要求;
2 低压侧与热气融霜相关的管道、所在环境温度低于管道材料最低使用温度的高压侧管道、二氧化碳制冷系统管道不应按低温低应力工况选用材料;
3 氨制冷系统管道不应采用铜、铝及其合金管道,管道内不应镀锌;
4 不能保冷的低温管道宜采用不锈钢。
6.5.8 直接式制冷系统和二氧化碳间接式制冷系统管道应采用制冷专用阀门和过滤器,公称直径大于或等于25mm的管段应采用工厂生产的成品管件,其中弯头的弯曲半径不宜小于管子外径的3.5倍,管件材料宜与其所在管段相同,并应符合下列规定:
1 卤代烃及其混合物、氨和二氧化碳制冷系统的阀门、过滤器不应采用铸铁;
2 氨制冷系统的阀门、过滤器内部不应含有铜和锌的零配件;
3 卤代烃及其混合物制冷系统的阀门、过滤器内部不应含有铅和锡的零配件;
4 除由于安全原因需要紧急开关外,卤代烃及其混合物制冷系统的手动阀门的阀杆外侧应配备密封帽;
5 卤代烃及其混合物制冷系统内需要频繁操作的阀门应采用自动型阀门。
6.5.9 直接式制冷系统和二氧化碳间接式制冷系统管道的压力设计、应力分析应符合现行国家标准《工业金属管道设计规范》GB 50316、《压力管道规范 工业管道 第3部分:设计和计算》GB/T 20801.3的有关规定,并应符合下列规定:
1 在抗震设防烈度6度及6度以上地区,氨制冷系统管道的计算荷载应包括地震荷载;
2 管道采用碳钢或低合金钢管时,二氧化碳管道腐蚀裕量不应小于2mm,氨管道腐蚀裕量不应小于1.5mm,卤代烃及其混合物管道腐蚀裕量不应小于1mm;
3 卤代烃及其混合物管道采用铜及铜合金管时,腐蚀裕量不应小于0.5mm;
4 对于两相流体管段,管道内介质质量应按全部充满液态制冷剂计算。
6.5.10 直接式制冷系统和二氧化碳间接式制冷系统管道应校核由于运行温度变化、运行温度与安装温度温差导致的位移应力,并应在制冷管道的直管段超过50m时设置补偿装置,补偿装置宜采用伸缩弯,不应采用带填料密封的补偿器。
6.5.11 按刚度条件计算管道允许跨距时,由管道自重产生的弯曲挠度不应超过管道跨距的1/400;对于不允许积液的管段,弯曲挠度不应形成液囊,并应校核管段坡度对液囊的影响。
6.5.12 直接式制冷系统和二氧化碳间接式制冷系统管道管径的选择宜按照经济适用原则选择,并且应符合允许压力降和安全流速的要求。回气管或吸气管的允许压力降不宜超过相当于饱和温度降低1℃的压力降,排气管的允许压力降不宜超过相当于饱和温度降低0.5℃的压力降。
6.5.13 直接式制冷系统和二氧化碳间接式制冷系统管道连接应符合下列规定:
1 宜采用焊接连接;
2 公称直径大于10mm时不应采用螺纹连接;
3 钢管法兰连接应采用对焊法兰;
4 钢管焊接连接应采用对焊焊接;
5 不应采用粘接、胀接及填充物堵缝连接。
6.5.14 制冷系统管道的布置应符合现行国家标准《工业金属管道设计规范》GB 50316的有关规定,并应符合下列规定:
1 管道不应布置在电梯及垂直运输设备的通道内,不应布置在电梯前室、楼梯间前室和楼梯间内。
2 对于生产性冷库和物流冷库,所有直接式制冷系统和二氧化碳、氨水间接式制冷系统的管道不应穿过与库房生产、管理无直接关系的其他房间和与库房生产、管理直接有关的辅助房间;氨制冷系统的管道不应穿过其中具有分拣、配货功能的穿堂或封闭站台。
3 对于商用冷库,直接式制冷系统和二氧化碳间接式制冷系统的管道不应穿过与库房生产、管理无直接关系的其他房间和与库房生产、管理直接有关的辅助房间。
4 氨直接式制冷系统和氨水间接式制冷系统的管道不应穿过生活、办公和批发交易区域。
5 直接式制冷系统和二氧化碳、氨水间接式制冷系统的管道不应敷设在地下、管沟和封闭的阁楼、顶棚、夹层、吊顶、管井内。
6 穿过建筑物墙体、楼板、屋面的管道应加套管,除制冷压缩机排气管道外,管道与套管的空隙应密封;低压侧管道套管的直径应大于管道隔热层的外径,并且不应影响管道由于温度变化导致的位移;套管应超出墙面、楼板、屋面,并且不应小于50mm;管道穿过屋面时,应采取防水措施。
6.5.15 制冷系统管道的流程设计应符合下列规定:
1 用于融霜的制冷剂热气应经过除油,并应在其管道的引出端配置紧急切断装置和压力表;
2 集油器、不凝性气体分离器等需要降压操作的制冷设备的回气管道流程不应引发制冷压缩机液击;
3 液体管道应采取防止液体升温时体积膨胀量超过管道承受能力的措施;
4 氨、卤代烃及其混合物制冷剂应能从制冷系统的任何一台设备内抽出;
5 液体和两相流体管道内部不应产生液击,需要回油的气体和两相流体水平管道内不应存在液囊和积液;
6 对于直接接到机房以外的大、中型制冷系统贮液器的出液管道,应在接到机房以外的管段上配置紧急切断装置。
6.5.16 管道的坡向和坡度应符合下列规定:
1 对于通过重力流动的液体或两相流体制冷剂管道,坡向和坡度不应影响重力流动;
2 对于通过重力流动的冷冻油管道,坡向和坡度不应影响重力流动;
3 吸气管道的坡向和坡度不应导致积液和制冷压缩机液击。
6.6 制冷管道和设备的保冷、保温和防腐
6.6.1 制冷设备和管道的所有能发生冷损失的部位、能产生凝露(结霜)的部位和易形成冷桥的部位应保冷。
6.6.2 制冷压缩机的排气管道不应保温,融霜或加压用热气管道应保温,低温级或低压级制冷压缩机的排气管道在进入冷凝蒸发器、中间冷却器或经济器之前应保冷,长度不宜小于1.5m。
6.6.3 板式换热器不宜采用不能拆装的保冷。
6.6.4 所有碳钢和低合金钢设备、管道、支座、支吊架外表面应防腐。
6.6.5 保冷、保温结构设计应符合现行国家标准《工业设备及管道绝热工程设计规范》GB 50264的有关规定。
6.6.6 保冷和保温、防潮层、保护层材料的选择应符合现行国家标准《工业设备及管道绝热工程设计规范》GB 50264的有关规定,并应符合下列规定:
1 不应采用玻璃棉等危害食品安全的材料;
2 不应采用松散状态的保冷材料;
3 保护层应采用不燃材料。
6.6.7 保冷和保温层计算应符合现行国家标准《工业设备及管道绝热工程设计规范》GB 50264的有关规定,并应符合下列规定:
1 保冷厚度应采用经济厚度,并应按防结露厚度校核;
2 对于有过冷或过热度限制的管道,传热导致的温度变化不应超过允许过冷或过热度。
6.6.8 穿过建筑物墙体、楼板、屋面的保冷管道,管道保冷结构不应中断。
6.6.9 制冷系统不保冷的碳钢和低合金钢设备、管道、支座、支吊架外表面应涂防锈底漆和色漆,冷排管可仅涂防锈底漆,色漆的色标应符合表6.6.9的规定。

6.6.10 防锈底漆和色漆的特性应相互匹配,不应发生不良的物理、化学反应,应在金属表面附着牢固、防水、防潮、抗环境腐蚀,并应符合食品卫生的要求。
6.7 制冷系统安全与监控
6.7.1 制冷压缩机(制冷压缩机组)的安全保护配置应符合相应的设备标准,制冷系统应配置下列安全保护装置:
1 活塞式制冷压缩机排出口处应设止回阀,螺杆式制冷压缩机吸气管处应设止回阀;
2 制冷压缩机(制冷压缩机组)冷却水出水管上应配置断水停机保护装置。
6.7.2 大、中型制冷系统的高压侧应配置超压报警装置;冷凝器应配置压力表和安全阀;水冷冷凝器应配置冷却水断水报警装置;蒸发式冷凝器应配置风机和水泵故障报警装置;在冬季地表水结冰的地区,对于水冷冷凝器、蒸发式冷凝器、水冷式油冷却器应采取防止冷却水结冰,进而损坏设备的措施。
6.7.3 制冷剂循环泵应配置下列安全保护装置:
1 断液报警和自动停泵装置;
2 排液管上应配置压力表、止回阀;
3 流量和压力保护装置。
6.7.4 制冷系统内所有压力容器和阀站的集管上应配置压力表或真空压力表,不凝性气体分离器未配置压力表或真空压力表时,应在其回气管上配置。
6.7.5 制冷系统内采用的压力表或真空压力表应采用制冷剂专用表,表盘的安装位置应便于操作或观察者有效识别表盘指示,安装高度距观察者站立的平面不应超过3m;精度不应低于1.6级;量程不应小于工作压力的1.5倍和设计压力的1.15倍,不宜大于工作压力的3倍。
6.7.6 低压循环储液器、液体分离器、中间冷却器等气液分离后气体直接进入制冷压缩机的设备应配置专用超高液位报警装置,并应配置控制正常液位的供液装置。
6.7.7 低压循环储液器、液体分离器、中间冷却器、贮液器、集油器等容器类设备应按设备要求配置液位指示器,其中玻璃管(板)式液位指示器两端连接件应配置自动关闭装置,工作温度在0℃以下的液位指示器应采取防止结霜和结冰的措施。
6.7.8 制冷系统内需要测量过冷、过热温度的部位应配置测温用的温度计套管或温度传感器套管。
6.7.9 采用电加热的设备,其加热温度应能超高报警和保护。
6.7.10 对于制冷压缩机采用热虹吸式油冷却器的制冷系统,制冷剂冷凝液体应首先保障制冷压缩机油冷却器的供液。
6.7.11 布置在室外的制冷设备应避开主要交通通道,并应配置防止非操作人员进入的围栏;布置在室外的制冷机组、贮液器还应配置通风良好的遮阳设施。
6.7.12 二氧化碳、卤代烃及其混合物制冷系统安全阀的泄压管出口应布置在室外安全处,远离门、窗、进风口和人员经常停留或经常通行的地点。二氧化碳制冷系统安全阀泄压管的阻力不应导致安全阀释放过程中产生使安全阀失效的冰堵(干冰)。
6.7.13 制冷系统安全管道的流程设计应满足安全阀定期校验的要求。氨制冷系统安全阀的泄压管出口的高度应高于周围50m范围内最高建筑物的屋脊5m,并应采取防止雷击、防止雨水和杂物落入泄压管内的措施,不能满足上述要求时,泄压管排出的氨气应做无害化处理。
6.7.14 与氨制冷剂直接接触并且需要定期或不定期操作、维修、更换的元件不应布置在冷间内。
6.7.15 氨制冷系统空气冷却器的热气融霜系统应采用自动控制。
6.7.16 氨制冷系统集油器的放油口应配置截止阀和快速关闭阀。
6.7.17 对于配置氨泄漏事故紧急处置装置的氨制冷系统,系统内所有液体容积超过0.2m3的设备和(或)管段内的氨液都应能通过紧急泄氨管排入吸纳水池(水箱)或紧急回收装置,吸纳水池(水箱)的氨液吸纳量或回收装置的氨液回收量不应小于制冷系统内的氨液充注量,并应能在泄漏事故发生时立即启动人工或自动装置紧急处置。
6.7.18 接入氨吸纳水池(水箱)内的氨制冷系统泄压管或紧急泄氨管出口应在水面下靠近池(箱)底处,距水面最深不应超过9m,管出口与水池(水箱)侧壁的距离不应超过其与水面距离的一半,同时工作的多根泄压管或紧急泄氨管出口之间的距离不应超过其与水面的距离,在水池(水箱)内的氨管道应采取防止腐蚀的措施。氨吸纳水池(水箱)内的水量应按每千克氨不少于10L水计算,对于仅用于吸纳安全阀泄压的水量不应少于1200L。
6.8 制冷系统自动检测与控制
6.8.1 制冷系统应配置自动检测系统,宜配置自动控制系统,大型冷库和大型制冷系统宜配置中央级监控管理系统。
6.8.2 自动检测系统应能实时显示、记录所有自动检测的参数,记录时间不宜少于一年。根据制冷系统的实际配置,自动检测系统应包括下列内容:
1 冷间温度,工艺要求设置的冷间湿度;
2 大、中型制冷系统和大型冷库的环境温度和湿度;
3 直接式制冷系统和二氧化碳间接式制冷系统的蒸发压力、冷凝压力、中间压力、过冷温度、融霜压力,其他间接式制冷系统的载冷剂供回温度和压力、流量;
4 所有机电设备的运行、故障状态,电磁阀的通断状态;
5 制冷压缩机的吸气压力和温度、排气压力和温度、油压差和温度,水冷式油冷却器水流、能级、运行时间;
6 蒸发式冷凝器的水温、水位、能级、运行时间,水冷冷凝器的进出水温度、水流、运行时间,风冷冷凝器的能级、运行时间;
7 低压循环贮液器、液体分离器、贮液器等容器的液位、压力;
8 制冷剂循环泵和载冷剂循环泵的能级、运行时间;
9 冷却设备的运行时间、融霜周期、电融霜温度;
10 冷间通风换气风机的运行时间。
6.8.3 根据制冷系统的实际配置,自动控制系统应包括下列内容:
1 冷间温度的自动控制、工艺要求设置的冷间湿度的自动控制;
2 制冷压缩机的自动开停、能级自动调节;
3 冷凝器的自动开停、冷凝压力自动调节;
4 低压循环储液器、液体分离器、中间冷却器等容器的液位自动控制;
5 制冷剂循环泵和载冷剂循环泵的自动开停、流量自动调节;
6 冷却设备的自动开停、能级自动调节、自动除霜程序;
7 不凝性气体分离系统自动清除制冷系统内不凝性气体;
8 所有机电设备和电磁阀均能现场和远程开停;
9 冷间通风换气系统根据冷间内空气状态自动开停。
6.8.4 自动控制系统的中央级监控管理系统应符合下列规定:
1 应能实时显示、记录所有自动检测和控制的参数和报警,记录时间不应少于1年,并且应能根据查询需要自动生成数据列表;
2 应能设定并修改控制参数值;
3 应能远程控制设备开停;
4 应具有分级控制权限等安全管理功能;
5 应具有网络接入功能。
7 电 气
7.1 供配电
7.1.1 中断供电会在经济上造成较大损失的冷库应按二级负荷供电,中断供电不会在经济上造成较大损失的冷库可按三级负荷供电。国家储备冷库应按二级负荷供电。
7.1.2 冷库负荷计算宜按需要系数法确定计算负荷,总电力负荷的需要系数不宜低于0.55。
7.1.3 冷库宜设变配电所,变配电所应靠近制冷机房布置。当制冷系统不集中设置制冷机房时,变配电所宜靠近库区负荷中心布置。
7.1.4 制冷压缩机组主供电回路,单独供电的制冷剂泵、冷凝器、空冷器回路和其他需要单独计量的用电回路宜设置电能分项计量。
7.2 制冷机房
7.2.1 氨制冷机房应设控制室。制冷压缩机组、制冷剂泵、冷凝器水泵及风机等制冷设备控制箱(柜),机房排风机控制箱(柜),机房照明配电箱和制冷剂泄漏指示报警设备不应布置在氨制冷机房内,宜集中布置在制冷机房控制室中。
7.2.2 各制冷压缩机组、制(载)冷剂泵均应在控制箱(柜)上安装电流表,制冷压缩机组控制台上应设有紧急停机按钮或者开关。
7.2.3 制冷压缩机组宜由低压配电室按放射式配电。对不设置制冷机房分散布置的制冷压缩机组,也可采用放射式与树干式相结合的配电方式。
7.2.4 制冷机房事故排风机应采用专用的供电回路,且配电控制箱宜独立设置。当制冷机房内的供电被切断时,应能保证事故排风机的用电。事故排风机的过载保护应作用于信号报警而不是直接停止排风机。制冷剂泄漏指示报警设备应设有备用电源。
7.2.5 制冷机房事故排风机应能手动启停和通过制冷剂泄漏指示报警设备发出的信号强制开启。事故排风机应在制冷机房室内外便于操作的位置分别设置手动启动按钮或开关。氨制冷机房事故排风机的室内手动启动按钮或开关应布置在制冷机房控制室内。
7.2.6 采用卤代烃及其混合物和二氧化碳为制冷剂、二氧化碳为载冷剂的制冷机房内,动力配线不应敷设在电缆沟内,当确有需要时,可采用充沙电缆沟。
7.2.7 氨制冷机房正常照明可按正常环境设计,照明方式宜为一般照明,设计照度不应低于150 lx。
7.2.8 氨制冷机房的应急照明应按爆炸性气体环境进行设计。
7.2.9 氨制冷机房应进行紧急切断机房除事故排风机和应急照明供电电源外其他供电电源的控制设计,并应符合下列规定:
1 当采用自动切断方式时,应由氨气泄漏指示报警设备发出紧急切断信号,并应能切断制冷机房供电电源;
2 当采用手动控制方式时,应由制冷机房控制室内和制冷机房外便于操作位置安装的手动按钮或开关发出紧急切断信号,并应能切断制冷机房的供电电源;
3 切断制冷机房的供电电源后,应能手动进行复位;
4 制冷机房外的手动切断电源按钮或开关应设置警示标识。
7.3 库 房
7.3.1 冷间内的动力及照明配电、控制设备宜布置在冷间外的通风干燥场所。
7.3.2 冷间内照明灯具应选用符合食品卫生安全要求和冷间环境条件、可快速点亮的节能型照明灯具。
7.3.3 冷间照明照度不宜低于50 lx。冷间照明灯具显色性指数不宜低于60,视觉作业要求高的冷库应按要求设计。
7.3.4 冷间内照明灯具的布置应避开吊顶式空气冷却器和顶排管,在冷间内通道处应重点布灯,在货位内可均匀布置。
7.3.5 建筑面积大于100m2的冷间内,照明灯具宜分成数路单独控制,冷间外宜集中设置照明配电箱,各照明支路应设信号灯。当不集中设置照明配电箱,各冷间照明控制开关分散布置在冷间外时,应选用带指示灯的防潮型开关或气密式开关。
7.3.6 冷间内照明支路宜采用AC220V单相配电,照明灯具的金属外壳应接PE线,各照明支路应设置剩余电流保护装置。
7.3.7 冷间内动力、照明、控制线路等应根据不同的冷间温度要求,选用适用的耐低温的铜芯电力电缆。
7.3.8 穿越冷间保温材料敷设的电气线路应采取防火和防止产生冷桥的措施。
7.3.9 冷藏间内宜在门口附近设置呼唤按钮,呼唤信息应传送到制冷机房控制室或有人值班的房间,并应在冷藏间外设有呼唤信号显示。设有呼唤信号按钮的冷藏间,应在冷藏间内门的上方设置常明灯。设有专用疏散门的冷藏间,应在冷藏间内疏散门的上方设置常明灯。
7.3.10 当冷间内空气冷却器下水管防冻用电伴热带、冷库门用加热电缆采用AC220V配电时,应采用带有PE线的加热电缆,或采用具有双层绝缘的加热电缆,配电线路应设置过载、短路及剩余电流保护装置。
7.3.11 冷库公路站台靠近停车位一侧墙上,宜设置供机械冷藏车使用的三相电源插座。
7.3.12 盐水池制冰间的照明开关及动力配电箱应集中布置在通风、干燥的场所。制冰间照明、动力线路宜穿金属管暗敷,照明应采用具有防腐(盐雾)功能的密封型节能灯具。
7.3.13 冷间内同一台空气冷却器的数台电动机可共用一块电流表,共用一组控制电器及短路保护电器,每台电动机应单独设置配电线路、断相保护及过载保护。当空气冷却器电动机绕组中设有温度保护开关时,每台电机可不再设置断相保护及过载保护,同一台空气冷却器的多台电动机可共用配电线路。
7.3.14 库房内制冷设备间和制冷阀站间的事故排风机应采用专用的供电回路,事故排风机的过载保护应作用于信号报警而不是直接停止排风机。事故排风机应能手动启停和通过制冷剂泄漏指示报警设备发出的信号强制开启。事故排风机应在制冷设备间和制冷阀站间室内外便于操作的位置分别设置手动启动按钮或开关。制冷剂泄漏指示报警设备应设有备用电源。
7.3.15 冷间应设置室内温度的测量、显示和记录系统(装置)。冷间内用于测量室内空气温度的温度传感(变送)器不应设置在靠近门口处及空气冷却器或送风道出风口附近,宜设置在靠近外墙处和冷间的中部。冻结间和冷却间内温度传感(变送)器宜设置在空气冷却器回风口一侧。温度传感(变送)器安装高度不宜低于1.8m。建筑面积大于100m2的冷间,温度传感(变送)器数量不宜少于2个。
7.3.16 除应满足现行国家标准《建筑设计防火规范》GB 50016的有关规定外,冷库中的下列场所宜设置火灾自动报警系统;
1 建筑面积大于1500m2且高度大于24m的单层高架冷库的库房;
2 设在地下或半地下室的库房。
7.3.17 冷间内宜采用管路采样式吸气感烟火灾探测器,探测器主机应布置在冷间内。
7.4 制冷剂泄漏探测报警系统
7.4.1 氨制冷机房应设置由氨气指示报警设备、氨气浓度探(检)测器和声光警报装置等组成的氨气泄漏探测报警系统,并应符合下列规定:
1 当制冷机房空气中氨气浓度达到1.5×10-4时,氨气指示报警设备发出的报警信号应能启动声光警报装置对机房室内外都发出警报,还应作为制冷机房事故排风机强制开启的信号。氨气浓度探(检)测器宜设置在包括氨制冷机组、氨泵及贮氨容器被保护空间的上部。
2 当制冷机房空气中氨气浓度达到其爆炸下限的25%时,氨气指示报警设备发出的报警信号,应启动声光警报装置对机房室内外都发出警报,还应作为制冷机房事故排风机强制开启的信号和紧急切断制冷机房供电电源的联动信号。氨气浓度探(检)测器宜安装在机房事故排风机的吸入口附近或机房内最高点气体易于积聚处。
3 安装在制冷机房的声光警报装置应按爆炸性气体环境进行设计。
7.4.2 采用卤代烃及其混合物、二氧化碳为制冷剂,二氧化碳为载冷剂的制冷机房应设置相应气体浓度指示报警设备,当空气中泄漏制冷剂的气体浓度达到设定值时,应自动发出报警信号,还应强制启动事故排风机。卤代烃及其混合物、二氧化碳探测器宜设置在制冷机房被保护空间的下部。
7.4.3 库房内制冷设备间和制冷阀站间应设制冷剂泄漏探测指示报警设备,并应符合下列规定:
1 采用氨为制冷剂时,当空气中氨气浓度达到1.5×10-4时,氨气指示报警设备发出的报警信号应能自动启动制冷设备间或制冷阀站间的事故排风机,并应将报警信息传送至相关制冷机房的控制室进行显示和报警。氨气浓度探(检)测器宜设置在制冷设备间和制冷阀站间被保护空间的顶部。
2 采用卤代烃及其混合物、二氧化碳为制冷剂,二氧化碳为载冷剂时,应设置相应的气体泄漏探测指示报警设备,当空气中泄漏制冷剂的气体浓度达到设定值时,应能自动启动制冷设备间或制冷阀站间的事故排风机,并应将报警信息传送至相关制冷机房或有人值班的场所显示和报警。卤代烃及其混合物、二氧化碳探测器宜设置在制冷设备间和制冷阀站间被保护空间的下部。
8 给水排水
8.1 一般规定
8.1.1 当给水排水管道穿过冷间保温层时,应采取防止产生冷桥的措施,保温层内、外两侧管道防冷桥保温的长度均不宜小于1.5m。
8.1.2 冷库穿堂内给水排水管道明露部分应采取防结露的措施。寒冷地区穿堂内布置的给水排水、消防管道应采取防冻措施。
8.1.3 冷库用水设施及设备均应有防止交叉污染的措施,各管道系统应明确标识以便于区分。
8.2 给 水
8.2.1 冷库的水源应就近选用城镇自来水或地下水、地表水。
8.2.2 冷库生活用水、制冰原料水和水产品冻结过程中加水的水质应符合现行国家标准《生活饮用水卫生标准》GB 5749的有关规定。
8.2.3 冷却设备的冷却水、冲霜水水质应满足工艺设备对水质及卫生的要求。
8.2.4 冷库给水应符合下列规定:
1 冷库生产设备的冷却水、冲霜水用水量应根据用水设备确定。
2 冷凝器采用直流水冷却时,其用水量应按下式计算:
式中:Q——冷却用水量(m3/h);
Фl——冷凝器的热负荷(W);
C——冷却水比热容,C=4.1868kJ/(kg·℃);
△t——冷凝器冷却水进出水温度差(℃)。
3 制冰用水量应按每吨冰用水1.1m3~1.5m3计算。
4 冷库的生活用水量宜按25L/(人.班)~35L/(人.班),使用时间为8h,小时变化系数为2.5~3.0计算。洗浴用水量宜按40L/(人.班)~60L/(人.班),使用时间为1h计算。
8.2.5 冷库制冷工艺设备用水的水温应根据工艺专业提供,并应符合下列规定:
1 除蒸发式冷凝器外,冷凝器的冷却水进出口平均温度应比冷凝温度低5℃~7℃;
2 冲霜水的水温不应低于10℃,不宜高于25℃;
3 冷凝器进水温度最高允许值:立式壳管式应为32℃,卧式壳管式应为29℃,淋浇式应为32℃。
8.2.6 冷库制冷系统冷却水应采用循环供水。循环冷却水系统宜采用敞开式。
8.2.7 冷却塔的选用应符合下列规定:
1 冷却塔热力性能应满足设计对水温、水量及当地气象条件的要求;
2 风机设备应选用效率高、噪声小、运转安全可靠、耐腐蚀、符合标准的产品;
3 冷却塔体、填料的制作、安装应满足国家有关产品标准的相关要求;
4 冷却塔运行噪声应满足环保要求。
8.2.8 计算冷却塔的最高冷却水温的气象条件,宜采用按湿球温度频率统计方法计算的频率为10%的日平均气象条件。气象资料应采用近期连续不少于5年,每年最热时期3个月的日平均值。
8.2.9 冷却塔循环给水的补充水量应根据工艺提供资料进行计算,当资料不全时,宜按冷却塔循环水量的2%~3%计算。
8.2.10 蒸发式冷凝器循环冷却水系统宜对循环水进行除垢、防腐及水质稳定处理。
8.2.11 蒸发式冷凝器循环冷却水运行水质标准宜满足表8.2.11的要求。

8.2.12 蒸发式冷凝器循环冷却水的补充水量应符合下列规定,当缺少资料时,可按循环水量的1%~3%进行计算。
1 蒸发式冷凝器补水量宜按下式计算:

式中:qzb——蒸发式冷凝器补水量(m3/h);
qz——蒸发水量(293kw排热量约为7.57kg/min);
qs——蒸发式冷凝器的风吹、渗漏等损失水量,一般按蒸发水量的10%计算。
2 蒸发式冷凝器用水量宜按下式计算:

式中:qr——蒸发式冷凝器日用水量(m3/d);
qzb——蒸发式冷凝器补水量(m3/h);
T——用水时间,一般T=10h~16h。
8.2.13 寒冷和严寒地区的循环给水系统应采取下列防冻措施:
1 在冷却塔的进水干管上宜设旁路水管,并应能通过全部循环水量;
2 冷却塔的进水管道应设泄空水管或采取其他保温措施。
8.2.14 制冷压缩机冷却水进水宜设过滤器,出水管上应设水流指示器,进水压力不应小于69kPa。
8.2.15 冷库冲霜水系统应符合下列规定:
1 空气冷却器(冷风机)冲霜水宜回收利用,冲霜水量应按产品样本规定,冲霜淋水延续时间应按每次15min~20min计算。
2 速冻装置及对卫生有特殊要求冷间的冷风机冲霜水宜采用一次性用水。
3 空气冷却器(冷风机)冲霜配水装置前的自由水头应满足冷风机产品要求,但进水压力不宜低于49kPa;当冷间内布置多台冷风机时,冲霜给水应采用相应的平衡措施,并应保持各台冷风机水量、水压基本一致。
4 冷库冷间冲霜水系统采用电磁(电动)阀时,宜就近设置,阀前应设置泄空装置,当环境温度低于0℃时,应采取可靠的防冻措施。
5 冲霜、融霜给水管应有坡度,并应坡向空气冷却器(冷风机)或泄水装置,常流水管道排入冲霜排水管道时应设水封。
8.2.16 冷库内生活用水给水管材选用宜符合现行国家标准《建筑给水排水设计标准》GB 50015的有关规定,制冷系统循环水系统、冲霜水系统宜选用焊接钢管或镀锌钢管。
8.2.17 冷库内生产、生活用水应分别设水表计量,并应有可靠的节水、节能措施。
8.2.18 冷库库区绿化、车辆清洗、循环水系统补充水等用水可采用城市杂用水或中水作为水源,水质应符合现行国家标准《城市杂用水水质》GB/T 18920的有关规定,城市杂用水或中水管道应有明显标记。
8.3 排 水
8.3.1 冷库穿堂、制冷机房及设备间、设计温度不低于0℃的冷却间地面宜有排水设施,当采用地漏排水时,地漏水封高度不应小于50mm。电梯井、地磅坑等易于集水处应有排水及防止水流倒灌设施。
8.3.2 冷库建筑的地下室、地面架空层应有排水措施。
8.3.3 冷风机水盘排水、蒸发式冷凝器排水应采取间接排水的方式,冷风机和蒸发式冷凝器排水管不得与污水管道系统直接连接。
8.3.4 多层冷库中的各层冲(融)霜水排水,应在排入冲(融)霜排水主立管前设置水封装置。
8.3.5 冷库内不同温度冷间的冲(融)霜排水管,应在接入冲(融)霜排水干管前设置水封装置。
8.3.6 冷风机采用热气融霜或电融霜时,融霜排水可回收或直接排放。冷间内融霜排水管道要求保温时可采用电伴热保温。
8.3.7 冲(融)霜排水管道的坡度和充满度应符合现行国家标准《建筑给水排水设计标准》GB 50015的有关规定。
8.3.8 冷库冲霜水系统排水管宜采用金属排水管。
8.3.9 冷却物冷藏间设在地下室时,冲(融)霜排水的集水井(池)应采取防止冻结和防止水流倒灌的措施。
8.3.10 冲(融)霜排水、冷间地面排水管道出水口应设置水封或水封井。
8.4 消防给水与安全防护
8.4.1 冷库库区应按现行国家标准《建筑设计防火规范》GB 50016、《消防给水及消火栓系统技术规范》GB 50974的有关要求设置室外消防给水系统,并按设计要求设置室外消火栓,保护半径不应小于150m。冷库制冷机房处应设置室外消火栓,室外消火栓与制冷机房门口处的距离不宜小于5m,并不应大于15m。
8.4.2 冷库及制冷机房应按现行国家标准《建筑设计防火规范》GB 50016、《消防给水及消火栓系统技术规范》GB 50974的有关要求设置室内消防给水系统,冷库氨压缩机房进出口处的室内消火栓宜配置开花直流水枪,并应按现行国家标准《建筑灭火器配置设计规范》GB 50140的要求配备适当种类、数量的灭火器。
8.4.3 冷库的消火栓应设置在穿堂或楼梯间内,当环境温度低于4℃时,室内消火栓系统可采用干式系统,但应在首层入口处设置快速接口和止回阀,管道最高处应设置自动排气阀。
8.4.4 冷库的氨制冷机房贮氨器上方宜设置局部水喷淋系统,水喷淋系统宜选用开式喷头,开式喷头保护面积应按贮氨器占地面积确定。开式喷头的水源可由库区消防给水系统供给,操作可为手动或电动方式。
8.4.5 氨制冷机房应设置洗眼和淋浴等安全防护装置,当设置在室外及无采暖房间时应有确保排水畅通及防冻的措施。
8.4.6 冷库自动灭火系统设计应符合下列规定:
1 设计温度高于0℃的高架冷库、设计温度高于0℃且其中一个防火分区建筑面积大于1500m2的非高架冷库,应设置自动灭火系统;
2 自动灭火系统宜采用自动喷水灭火系统,当冷藏间内设计温度不低于4℃时,应采用湿式自动喷水灭火系统;当冷藏间内设计温度低于4℃时,应采用干式自动喷水灭火系统或预作用自动喷水灭火系统。
9 供暖、通风、空调和地面防冻
9.1 一般规定
9.1.1 供暖系统的热源应根据能源条件、能源价格和节能、环保等要求,经技术经济分析确定,并应符合下列规定:
1 供暖系统宜首先采用区域热网提供的热源;
2 当无区域热网提供的热源时,可自建锅炉房供暖;条件许可且经济合理时,也可采用太阳能热水系统、热泵系统或制冷系统废热回收加辅助热源系统。
9.1.2 低温空调系统的冷源宜根据气象条件、制冷工艺系统的特点,经综合分析确定。
9.2 供暖与空调
9.2.1 制冷机房的供暖设计应符合下列规定:
1 制冷机房内严禁采用燃气红外线辐射设备、电热管辐射设备和电热散热器供暖;
2 设置集中供暖的制冷机房,室内设计温度宜取12℃~15℃。
9.2.2 控温穿堂等低温空调场所,室内明装的空调末端设备宜选用不锈钢外壳的产品。
9.2.3 空调末端设备进风口宜设置空气过滤装置。
9.3 通 风
9.3.1 制冷机房的通风设计应符合下列规定:
1 制冷机房日常运行时应保持通风良好,通风量应通过计算确定,通风换气次数不应小于4次/h。当自然通风无法满足要求时应设置日常排风装置。
2 采用卤代烃及其混合物、二氧化碳为制冷剂,二氧化碳为载冷剂的制冷机房应设置事故排风装置,排风换气次数不应小于12次/h,排风机数量不应少于2台。
3 氨制冷机房应设置事故排风装置,事故排风量应按每平方米建筑面积每小时不小于183m3进行计算,且最小排风量不应小于34000m3/h。氨制冷机房的事故排风机应选用防爆型,排风机数量不应少于2台。
4 当采用复叠式制冷系统时,制冷机房应根据本条第2款和第3款的要求,设置可以同时排除泄漏的制冷剂和载冷剂气体的事故排风装置,制冷剂采用氨时,制冷机房的排风机均应选用防爆型。
5 用于排除密度大于空气的制冷剂气体时,机房内的事故排风口下缘距室内地坪的距离不宜大于0.3m;用于排除密度小于空气的制冷剂气体时,排风口应位于侧墙高处或屋顶。
9.3.2 库房内的制冷设备间和阀站间应设置事故排风装置,排风换气次数不应小于12次/h。
9.3.3 非控温穿堂宜设机械排风系统,排风换气次数不宜小于5次/h。
9.3.4 冷却物冷藏间的通风系统应符合下列规定:
1 冷却物冷藏间宜按所贮货物的品种设置送风和排风装置,新风量应按食品冷藏工艺要求确定,当工艺无具体要求时,通风换气次数每日不宜少于1次。
2 新风的计算参数应按夏季通风室外计算温度和室外计算相对湿度选取。
3 面积大于150m2或虽小于150m2但不经常开门及设于地下室或半地下室的冷却物冷藏间宜采用机械通风装置。进入冷间的新风应进行冷却处理。
4 当冷间外新风的温度低于冷间内空气温度时,送入冷间的新风应进行预热处理。
5 新风的进风口应设置便于操作的保温启闭装置。
6 冷间内废气应直接排至库外,排风口下缘距冷间内地坪的距离不宜大于0.3m,并应设置便于操作的保温启闭装置。
7 新风送风口和废气排出口不宜设在冷间的同一侧面的墙面上。
8 通风管道穿越冷间防火隔墙时,应设置70℃防火阀及防止产生冷桥的措施。
9.3.5 变配电间应设置机械排风系统,排风换气次数不宜小于15次/h。
9.4 地面防冻
9.4.1 冷间地面的防冻方式应根据库房布置、工程造价、运行能耗、维护管理等方面的要求,进行技术经济比较后合理选定。
9.4.2 采用自然通风的地面防冻设计应符合下列规定:
1 自然通风管两端应直通,并应坡向室外。直通管段总长度不宜大于30m,其穿越冷间地面下的长度不宜大于24m。
2 自然通风管管径宜采用内径250mm或300mm的水泥管,管中心距离不宜大于1.2m,管口的管底宜高出室外地面150mm,管口应加网栅。
3 自然通风管的布置宜与当地的夏季最大频率风向平行。
9.4.3 采用机械通风的地面防冻设计应符合下列规定:
1 采用机械通风的支风道管径宜采用内径250mm或300mm的水泥管,管中心距离可按1.5m~2.0m等距布置,管内风速应均匀,不宜小于1m/s;
2 机械通风的主风道断面尺寸不宜小于0.8m×1.2m(宽×高);
3 供暖地区机械通风的送风温度宜取10℃,排风温度宜取5℃ ;
4 供暖地区机械通风地面防冻加热负荷和机械通风送风量应按本标准附录A的规定进行计算。
9.4.4 架空式的地面防冻设计应符合下列规定:
1 架空式地面的进出风口底面高出室外地面不应小于150mm,进出风口应设格栅;
2 架空式地面的架空层净高不宜小于1m;
3 架空式地面的进风口宜面向当地夏季最大频率风向。
9.4.5 采用不冻液为热媒的加热管的地面防冻设计应符合下列规定:
1 供液温度不宜高于10℃;
2 管内液体流速不宜小于0.25m/s;
3 加热管应设在冷间地面隔热层下的混凝板土板或垫层内;
4 加热管每一环路应设置流量调节和流量监测装置;
5 加热层应设置温度监测装置,温度测点不应少于2处。
9.4.6 当地面加热层的热源采用制冷系统的废热时,制冷系统同期运行产生的最小废热值应能满足地面加热负荷的需要。
9.5 防烟与排烟
9.5.1 建筑面积大于或等于300m2的穿堂和封闭站台应设置排烟设施。穿堂、封闭站台、楼梯间、附属用房的防烟和排烟设施应符合现行国家标准《建筑防烟排烟系统技术标准》GB 51251的有关规定。
9.5.2 冻结间和冻结物冷藏间可不设置排烟设施。
9.5.3 冷却间和冷却物冷藏间不宜设置排烟设施。
附录A 供暖地区机械通风地面防冻加热负荷和机械通风送风量计算
A.0.1 供暖地区地面防冻的加热计算应采用稳定传热计算公式。部分土壤热物理系数宜按表A.0.1的规定确定。

A.0.2 供暖地区机械通风地面防冻加热负荷应按下式计算:

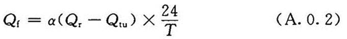
式中:Qf——地面加热负荷(W);
a——计算修正值,当室外年平均气温小于10℃时,宜取1;当室外年平均气温不低于10℃时,宜取1.15;
Qr——地面加热层传入冷间的热量(W);
Qtu——土壤传给地面加热层的热量(W);
T——通风加热装置每日运行的时间,一般不宜小于4h。
A.0.3 机械通风地面加热层传入冷间的热量Qr应按下式计算:

式中:Qr——地面加热层传入冷间的热量(W);
Fd——冷间地面面积(m2);
tr——地面加热层的温度(℃);
tn——冷间内的空气温度(℃);
Kd——冷间地面的传热系数[W/(m2·℃)]。
A.0.4 土壤传给地面加热层的热量Qtu应按下式计算:
![]()
式中:Qtu——土壤传给地面加热层的热量(W);
Fd——冷间地面面积(m2);
ttu——土壤温度(℃);
tr——地面加热层的温度(℃),宜取1℃~2℃;
Ktu——土壤传热系数[W/(m2·℃)]。
A.0.5 土壤温度取地面下3.2m深处历年最低两个月的土壤平均温度,应按表A.0.5的规定确定。当缺少该项资料时,可按当地年平均气温减2℃计算。


A.0.6 土壤传热系数Ktu应按下式计算:

式中:Ktu——土壤传热系数[W/(m2·℃)];
δtu——土壤计算厚度,一般采用3.2m;
Atu——土壤的导热系数[W/(m·℃)];
δi-n——加热层至土壤表面各层材料的厚度(m);
λi-n——加热层至土壤表面各层材料的导热系数[W/(m·℃)]。
A.0.7 机械通风送风量应按下式计算:

式中:Vs——送风量(m3/h);
Qf——地面加热负荷(W);
Ck——空气比热容[kj/(kg·℃)];
ρk——空气密度(kg/m3);
ts—送风温度(℃),一般宜取10℃;
tp——排风温度(℃),一般宜取5℃。
本标准用词说明
1 为便于在执行本标准条文时区别对待,对要求严格程度不同的用词说明如下:
1)表示很严格,非这样做不可的:
正面词采用“必须”,反面词采用“严禁”;
2)表示严格,在正常情况下均应这样做的:
正面词采用“应",反面词采用“不应”或“不得”;
3)表示允许稍有选择,在条件许可时首先应这样做的:
正面词采用“宜”,反面词采用“不宜”;
4)表示有选择,在一定条件下可以这样做的,采用“可”。
2 条文中指明应按其他有关标准执行的写法为:“应符合……的规定”或“应按……执行”。
引用标准名录
《建筑给水排水设计标准》GB 50015
《建筑设计防火规范》GB 50016
《工业建筑供暖通风与空气调节设计规范》GB 50019
《建筑结构可靠度设计统一标准》GB 50068
《混凝土外加剂应用技术规范》GB 50119
《建筑灭火器配置设计规范》GB 50140
《建筑工程抗震设防分类标准》GB 50223
《工业设备及管道绝热工程设计规范》GB 50264
《工业金属管道设计规范》GB 50316
《消防给水及消火栓系统技术规范》GB 50974
《低温环境混凝土应用技术规范》GB 51081
《建筑钢结构防火技术规范》GB 51249
《建筑防烟排烟系统技术标准》GB 51251
《碳素结构钢》GB/T 700
《低合金高强度结构钢》GB/T 1591
《生活饮用水卫生标准》GB 5749
《制冷剂编号方法和安全性分类》GB 7778
《输送流体用无缝钢管》GB/T 8163
《涂覆涂料前钢材表面处理 表面清洁度的目视评定 第1部分:未涂覆过的钢材表面和全面清除原有涂层后的钢材表面的锈蚀等级和处理等级》GB/T 8923.1
《输送流体用不锈钢无缝钢管》GB/T 14976
《空调与制冷设备用铜及铜合金无缝管》GB/T 17791
《城市杂用水水质》GB/T 18920
《低温管道用无缝钢管》GB/T 18984
《建筑结构用钢板》GB/T 19879
《压力管道规范 工业管道》GB/T 20801
《压力管道规范 工业管道 第2部分:材料》GB/T 20801.2
《压力管道规范 工业管道 第3部分:设计和计算》GB/T 20801.3
《冷库管理规范》GB/T 30134
《压力管道安全技术监察规程——工业管道》TSG D0001
中华人民共和国国家标准
冷库设计标准
GB 50072-2021
条文说明
编制说明
《冷库设计标准》GB 50072-2021,经住房和城乡建设部2021年6月28日以第118号公告批准发布,原《冷库设计规范》GB 50072-2010同时作废。
本标准是在《冷库设计规范》GB 50072-2010的基础上修订而成的。上一版规范主编单位是国内贸易工程设计研究院,参编单位是中国制冷学会、公安部天津消防研究所、天津商业大学、上海海洋大学、哈尔滨商业大学,主要起草人是徐维、于伟、徐庆磊、史纪纯、邓建平、陈锦远、杨一凡、王宗存、刘斌、谈向东、宋立倬。
本标准在修订过程中,编制组认真遵循国家有关法律、法规和技术标准,本着“力求真实、适用安全、技术先进、节能减排和经济合理”的指导原则,在充分总结了原规范在使用过程中存在的问题的基础上,结合科学技术发展水平与社会经济发展需要,广泛征求了相关单位和专业人员的意见,最终完成了修订工作。
为便于广大设计、施工、科研、学校等单位的有关人员在使用本标准时能正确理解和执行条文规定,《冷库设计标准》修订组按章、节、条顺序编制了本标准的条文说明,对条文规定的目的、依据及执行中需要注意的有关事项进行了说明,还着重对强制性条文的强制性理由做了解释。但是本条文说明不具备与标准正文同等的法律效力,仅供使用者作为理解和把握标准的参考。
1 总 则
1.0.1 为规范冷库设计,食品冷库不论规模大小,均应执行本标准规定。其他非食品类冷库可参照执行本标准相关规定。本条所指的食品,是供人食用或者饮用的成品和原料以及按照传统既是食品又是药品的食物,但不包括以治疗为目的的物品。
1.0.2 本条规定了标准的适用范围。
(1)按基建性质划分:适用于新建、扩建和改建的食品冷库。至于改建维修的冷库,因受原有条件限制,在某些方面不一定能符合本标准要求,但标准中的一些原则,在改建或维修工程时仍可适用,如有特殊情况,应因地制宜。
(2)由于目前常用卤代烃及其混合物类制冷剂都不是环保制冷剂,而是正在逐步淘汰或作为过渡性替代物质,因此在选用这类制冷剂时,需随时关注国家的环保政策。
1.0.3 本标准在修订中强调了“安全、节能、环保、经济、适用”,以适应我国冷库建设的发展需要。
1.0.4 根据国家对编制全国通用的设计标准、规范的规定,凡引用或参见其他全国通用的设计标准、规范和其他有关规定的内容,除必要的以外,本标准不再另立条文,故在本条中统一做了规定。
2 术 语
2.0.2 本标准的装配式冷库是沿用行业习惯名词,与目前国家政策层面推广的装配式建筑存在差异。
目前推广的装配式建筑,是在新型建筑工业化背景下的产物,是建筑整体建造方式的转变,而不仅仅是主体结构的装配化问题,因此着眼点是建筑部品部件的工业化生产、安装和管理方式;而本标准的装配式冷库则是单指冷库的库房建筑,且库房的保温隔热材料及建筑围护结构是采用金属面绝热夹芯板等轻质复合夹芯板现场组装,与主体结构选型及其他部品是否装配无关。
装配式冷库建筑大致分为两种形式:一是采用金属板等轻质板材外墙做建筑围护结构,同时采用金属面绝热夹芯板等轻质复合夹芯板做保温隔热材料。二是金属面绝热夹芯板等轻质复合夹芯板既作为建筑围护结构又同时作为保温隔热材料。
除冷库建筑外,其他建筑物内部、采用金属面绝热夹芯板等轻质复合夹芯板拼装而成的类似冷库(柜)功能的冷藏设备不是建筑物,不属于本标准所述的装配式冷库。
2.0.4 本标准所提及的“高架冷库”应为高架冷库的库房建筑,一般宜为单层。单层装配式冷库的库房建筑高度超过24m时,其防火间距宜按照高层冷库执行。
2.0.5 冷库建筑物“主体”是指冷库库房建筑内有温度控制要求的主要功能房间,包括冷藏间(含冰库)及其库房内服务于贮存功能的预冷、冷却或冻结等房间。
3 基本规定
3.0.1 本条所述室内净面积为不扣除室内柱、门斗和制冷设备所占面积的净面积。
3.0.3 冷藏间的容积利用系数是指每个冷藏间内贮存货物的货物体积与公称容积的比值。当因货物的包装、运输、堆码方式以及经营管理模式等条件不确定,冷藏间的容积利用系数无法进行准确计算时,可参照表1进行取值。表1是原规范针对不同规模的公称容积确定的对应容积利用系数。

3.0.8 经济性原则是指围护结构和制冷系统的初投资与其全寿命周期的运行费用的总和最经济。
3.0.9 “使用氨制冷系统的房间”指房间内部安装了氨制冷设备和管道,如氨制冷机房。“厂区外民用建筑”指厂区外的居住建筑和公共建筑。“最小间距”指内部安装了氨制冷设备和管道的房间内部发生氨泄漏时,氨制冷剂向室外扩散所通过的外门、外窗、风口、孔洞等与“厂区外民用建筑”的外门、外窗、风口、孔洞等的最近水平距离,或室外安装的氨制冷设备和管道的外边与“厂区外民用建筑”的外门、外窗、风口、孔洞等的最近水平距离;本条综合安全、环保和节约土地资源等多项要求规定了最小间距,如果在实际工程进行安全、环保等评估时发现还存在风险,可通过加大间距、设置挡墙、减少充注量等措施消除风险。
4 建 筑
4.1 库址选择与总平面布置
4.1.1 冷库是贮藏食品的特殊物流建筑,其库址的选择除了要满足一般物流建筑工程选址的条件外,还要考虑避开对食品有污染的环境;使用氨制冷系统的冷库库址要有一定安全要求,一般不建于市区中心地带,选址时要满足本标准第3.0.9条的相关规定。冷库项目建设还需依据地方相关规定进行环境及安全评价,同时也要考虑货物运输等生产过程对冷库周边产生的噪声影响。
4.1.2 冷库的总平面布置除了本条规定外,也要满足建筑防火间距及本标准第3.0.9条、第6章“制冷”的相关规定和要求。
一般来说,生产加工企业的冷库为企业生产的产品提供储藏服务,货品直接出库发往市场;随着经济的发展,目前物流形态变化万千,市场行为多种多样,有些生产加工企业同时也提供交易或配送服务,总平面设计需综合各类因素,合理划分功能分区。
4.1.6 本条为强制性条文,必须严格执行。为满足冷库建设的发展需要及防火要求,本条对冷藏间内不设置自动灭火系统的两座一级、二级耐火等级的冷库库房的贴邻布置做了相应规定,三级耐火等级的库房不允许贴邻布置。
库房总长度是指贴邻布置后该组合体的长边长度。为区别于现行国家标准《建筑设计防火规范》GB 50016对贴邻仓库防火分区面积控制的规定,本条规定了库房贴邻布置后该组合体内所有冷藏间总占地面积的限值(或本标准第4.2.4条中装配式冷库库房总占地面积的限值)。本条规定库房总长度与两座库房冷藏间总占地面积限值是为了控制储存物品的火灾负荷,并保证消防救援的及时有效。
本条规定库房贴邻处双侧墙体均为防火墙,以及对屋顶承重构件和屋面板的耐火极限做出规定,可有效杜绝任意一侧库房发生火灾时火势向对侧库房的蔓延。因物流功能要求,确需在贴邻的两座库房之间开设连通口时,连通口双侧洞口均需设置与所在防火墙耐火极限相同的防火卷帘或其他等效防火措施。
4.1.7 为便于火灾扑救、避免整体垮塌和脱落的危险,对高度超过24m的装配式冷库库房之间,以及与其他高层建筑(包括高层冷库)之间的防火间距均明确加大至不小于15m。
4.1.8 现行国家标准《建筑设计防火规范》GB 50016中规定了高层建筑消防车登高操作场地的相关要求。而冷库的高层库房为满足进出货流等需要,站台或罩棚进深一般远大于4m,在穿堂面设置满足要求的消防救援面受到制约;冷库建筑除穿堂面外,其他外墙面均为冷藏间外墙,设置外门窗冷桥及气密构造不仅难以处理而且不利于冷库节能,需要时也常难以开启。针对冷库建筑特点,本条对高层冷库建筑的消防登高场地连续布置不做要求,但规定数量不应少于2块。
冷库的库房是相对封闭的空间,外墙设置必要的消防救援口可以确保消防救援人员能够进入火场实施内攻作业。
库房建筑相对人员较少且集中于穿堂或站台部分,为保证消防救援人员能够顺利通过穿堂实现救援,在穿堂靠外墙处设置消防救援口,消防救援人员可根据情况上到裙房的屋面,利用各层设置的消防救援口救援。在穿堂各个防火分区之间设置供消防救援人员通过的连通口,可以保证消防救援人员顺利到达库房各处。
救援口设置数量仅为下限指标,每个靠外墙布置且建筑面积大于1500m2的冷藏间均可考虑增设救援口。
4.1.10 制冷机房为冷库最大的用电负荷中心,故作此规定。
4.1.11 本条为强制性条文,必须严格执行。由于氨制冷机房、控制室或变配电所与库房贴邻布置可以节省管线和节约能源,因此这些用房相互贴邻是冷库的常规布置形式。本条对库房与氨制冷机房及其控制室或变配电所贴邻布置时,贴邻的墙体与屋顶的耐火性能做了明确规定,以便有效阻止火势的蔓延,减少火灾风险。
4.2 库房的布置
4.2.2 本条为强制性条文,必须严格执行。表4.2.2明确了总占地面积限值是指每座冷库库房内冷藏间部分的总占地面积之和,明确了防火分区内建筑面积限值是指每一防火分区内冷藏间最大允许总建筑面积,同时明确了冷库库房耐火极限、层数和库房内冷藏间最大允许总占地面积与库房内每个防火分区冷藏间最大允许建筑面积的相互关系。限制冷藏间面积可有效控制货物储藏量,同时也能有效控制保温材料的用量,有利于消防扑救与减少火灾发生后的经济损失。
本条中“冷藏间”包括冰库及库房内服务于贮存功能的预冷处理用冷却和冻结房间。
本标准第4.2.6条和第4.2.7条已限定了一座库房内穿堂或封闭站台的建筑面积规模,考虑冷库特殊的平面布置特点,允许穿堂或封闭站台与冷藏间划入同一防火分区,每个防火分区内冷藏间最大允许建筑面积在本条做了限定,防火分区面积未具体限制。
由于目前开发建设的多样化、节约土地提高地下空间利用等,某些物流企业想利用地下建设冷藏间,但是考虑到地下冷藏间有大量的保温材料不易扑救,因此限定仅应设在与地面出入口的高差不超过10m的地下一层,同时冷藏间总占地面积不应超过本标准规定的相应地上冷库建筑的有关限值。
4.2.3 本条明确规定冷藏间与穿堂或封闭站台之间的隔墙应为防火隔墙,一旦发生火灾,该防火隔墙能够有效控制火灾蔓延;即使冷库门不是防火门,火灾蔓延也仅可能出现在门洞范围,且冷库门的隔热材料以不燃性材料完全包覆,可降低火势蔓延速度。装配式冷库设置此防火隔墙有困难时,本标准第4.2.4条做了相关规定。
因目前冷库门受技术水平限制尚不能做成防火门,故本条对防火隔墙上冷库门的材料的燃烧性能做了相关规定,并对洞口超过本条规定尺寸的冷库门提出耐火完整性的要求。
4.2.4 本条为强制性条文,必须严格执行。考虑到装配式冷库设置防火隔墙易产生结露等不利因素,库房冷藏间与穿堂或封闭站台之间允许不设置防火隔墙,但需要符合本条对装配式冷库不设置防火隔墙时的库房最大允许总占地面积和防火分区建筑面积的规定。本条所述库房最大允许总占地面积和每个防火分区最大允许建筑面积均为包含冷藏间、穿堂和封闭站台的面积,而不只是冷藏间的建筑面积。
地下室设置仍要符合本标准表4.2.2中注1的规定。
4.2.5 本条“库房内”设置自动灭火系统指库房内的所有冷藏间及穿堂均设置。鉴于冷库防火分区面积已在普通仓库基础上有所扩大,一般单层、多层及高层冷库即使设置自动灭火系统也要按照本标准表4.2.2或表4.2.4的规定执行,即每个防火分区内冷藏间最大允许建筑面积或每个防火分区建筑面积不再扩大,以有效控制火灾负荷。
4.2.6 穿堂或封闭站台应以满足基本运输功能为主,为了避免一般储藏性的冷库将仅用作运输的穿堂或封闭站台无限制加大、增加冷藏间面积,从而不利于防火控制,特做出一定限制。
目前食品质量备受重视,冷库物流活动频繁,考虑穿堂或封闭站台有货物短暂停留,原则上用于物流运输的穿堂或封闭站台建筑面积按单层或多层丙类仓库的防火分区面积来控制。
穿堂或封闭站台的建筑面积可不含电梯等垂直运输设备井道的建筑面积。根据物流需要,库房双面分别独立设置的穿堂或封闭站台的建筑面积应分别计算。
4.2.7 因物流配送方式的不同,有些库房封闭站台和穿堂合并设置,在增加相应消防措施的前提下,允许其面积适当加大。为防止系统失效导致火灾的蔓延,防火分区内封闭站台和穿堂设置自动灭火系统的区域需要采用防火隔墙与未设置自动灭火系统的部分分隔。
本条旨在引导冷库库房的仓储属性与其他属性的明确划分。若穿堂或封闭站台面积超出限值时,可根据具体情况在穿堂或封闭站台与冷藏间之间设置防火墙分隔,并分别依据冷库和厂房的防火分区面积规定执行。
4.2.8 本条明确每个防火分区均应遵守其人员安全疏散的有关规定,直通室外的安全出口含符合本标准第4.2.16条的楼梯间出口。
因冷库库房内的操作人员较少,且本标准对穿堂及封闭站台的面积已做限制,若每个分区均设置2个直通室外的楼梯出口会占用相应的面积,且对平时穿堂或站台的连续性影响较大,故在一定条件下允许利用通向相邻防火分区的甲级防火门作为另一个安全出口。
库房内防火分区之间的水平分隔应采用防火墙进行分隔,确因物流等使用需要开口的部位,应采用与防火墙等效的措施进行分隔。等效的措施可为甲级防火门、特级防火卷帘、分隔水幕、加密设置自动喷水喷头等。为保证开口部位分隔的有效性,本条对开口尺寸加以限制。
当冷库库房设置双面独立穿堂时,为保证人员迅速疏散,本条规定每个防火分区内的独立穿堂应至少设置1个直通室外的安全出口。
4.2.10 穿堂主要用于连接各冷藏间等房间,有内穿堂和外穿堂。外穿堂应与站台结合布置,也可与封闭站台结合或合并设置。
4.2.11 本条所指的公路站台,包括机场、码头内中转冷库的库房站台。航运、海运宜结合运输方式,设置与冷藏车(箱)的货物出入库相适应的站台形式,便于物流衔接。
4.2.14 冷库电梯等垂直运输设备设置在穿堂及站台内,除对其设置井道的耐火极限提出要求外,对电梯层门的耐火极限也提出了相应要求;电梯层门无法满足要求时,对电梯层门和垂直升降机等运输设备井道每层开口部位的防火卷帘的耐火极限也提出了相应的要求。
4.2.15 采用其他设备可按照设备实际运输能力计算。
4.2.16 本条为强制性条文,必须严格执行。冷库库房内操作人员多集中于穿堂,楼梯间设在穿堂附近是为了方便人员使用与疏散。本条所述“楼梯间”指的是封闭楼梯间。楼梯间采用不燃材料建造,出入口采用乙级防火门是为了提高人员疏散的安全可靠性。
考虑到建筑层数不大于4层的冷库库房内部垂直疏散距离相对较短,楼梯间到达首层后可通过不大于15m的通道到达直通室外的安全出口。
4.2.18 本条为强制性条文,必须严格执行。建筑面积大于1000m2的冷藏间应至少设置2个冷库门是为了保障人员疏散更加便捷。考虑到冷藏间内温度低、人员很少以及节能等需求,故规定冷藏间建筑面积不大于1000m2时,应至少设1个冷库门。
4.2.19 本条规定的目的是节约能源、减少冷藏间出入口的冷热交换。本条仅规定冻结物冷藏间应设置减少冷热交换的措施,冷却物冷藏间也宜设置;对于库容较大、运输频繁的冷藏间,设置回笼间节能效果明显,但因回笼间会占据一定的空间,所以对于库容较小、冷藏门开启次数较少的冷藏间不要求一定设置。
4.2.20、4.2.21 这两条对库房安全使用、避免火灾事故隐患做了相应规定。票据室、烘衣室及卫生间等需就近服务的辅助房间可布置在穿堂内,但隔墙也应满足相应燃烧性能和耐火极限的要求。
4.3 库房的保温隔热
4.3.1 本条规定了库房的保温隔热材料的一般物理性能。
4.3.2 根据国内、国际保温材料现状,目前用于冷库围护的轻质复合夹芯板非承重墙体不可能完全采用不燃烧材料,按照现行国家标准《建筑设计防火规范》GB 50016的有关要求,也无法满足一级、二级耐火等级建筑的墙体构件要求。基于冷库建筑的特点、综合经济因素及冷库安全设计和管理的要求,本条对保温隔热材料的燃烧性能做出了规定。本标准中的轻质复合夹芯板均包括金属面绝热夹芯板。
内保温隔热系统所用的保温隔热材料既可以是装配预制板材,也可以由现场发泡形成。
4.3.4 由于不同材质、同一材料不同的密度及其使用环境和使用时间期限不同,都会造成保温隔热性能的变化,因此材料导热系数应按照实际产品的具体测定值,结合具体情况调整修正系数。
4.3.6 严寒地区冷间设计温度高于0℃时,不仅要考虑夏季室外温度对冷间温度的影响,还要考虑冬季冷间温度的保持。
4.3.10 考虑到通风架空层受环境温度影响较大,本条只对铺设在通风架空层上的冷间地面(或结构楼面)最小总热阻做了限定。
4.3.15 本条规定建筑外表面装饰面层的颜色,主要是利用它的反射来散热,利于夏季阳光照射下的库内温度保持。
4.4 库房的防潮隔汽
4.4.2 式(4.4.2)中系数1.6为经验取值,只适用于冷库建筑围护结构的内保温隔热,且保温隔热层内侧无密实材料或有低蒸汽渗透阻等透汽性能良好的防护层。其他形式的冷库以及严寒地区的冷却物冷库要按照具体情况计算。
4.4.3 采用现喷或灌注硬质聚氨酯泡沫塑料时,其发泡反应为放热过程,会使热熔性隔汽层与基层脱离,所以本条规定这种情况下不应选用热熔性材料。
4.4.4 根据实践经验,为保证冷间保温隔热层持久地发挥作用,本条对隔汽层和防潮层的构造做了具体规定。
4.4.5 由于冷库围护结构的隔汽层尤为重要,在板缝装配紧密的条件下,从安全角度考虑应对拼缝单独处理,以适应温度变化对板缝的影响。
4.5 库房的构造要求
4.5.1 因屋面受阳光直射及室外环境影响较大,而夏热冬暖地区通风间层隔热作用显著,故做出本条规定。对于直接以轻质复合保温板做屋面围护结构的装配式冷库,除满足防火构造要求外,可选用近红外线反射涂料面层或有类似热反射功能的材料面层,避免屋面板露天暴晒后突然降温或暴雨,从而造成屋面板急剧收缩而引起破坏。
4.5.2、4.5.3 采用轻质复合夹芯板做保温隔热围护,屋面或外墙设置通风间层,可减少由于温差造成板面的结露、变形以及板缝的开裂等。
4.5.5 由于冷库建筑降温使用过程中温度变形较大,应特别注意外墙与檐口及穿堂变形缝等部位的构造处理措施,避免出现漏雨和漏水现象,一旦出现漏水会对冷库造成重大影响。
4.6 制冷机房、变配电所和控制室
4.6.2 为方便操作或管理,制冷机房设置专用的控制室,参照10kV及10kV以下配电站与甲、乙类厂房的分隔措施进行防火分隔。隔墙上并非一定需要设置观察窗或连通门,若设置则一定要满足相应防火要求。限定防火门向氨制冷机房开启,能减少因氨泄漏对控制室带来的危害。
4.6.3 氨制冷机房有1个长边外墙不贴邻其他建筑,便于开设门窗洞口,利于机房的自然通风,以保证氨制冷机房环境应有的基本卫生条件。
5 结 构
5.1 —般规定
5.1.1 冷库是贮藏食品的特殊物流建筑,冻融循环和温度应力对结构有一定的影响,因此本条对冷库中冷间的结构形式提出建议。
结构选型应结合冷库的使用功能及满足建筑抗震要求综合考虑。框架结构、框架-抗震墙结构及板柱-抗震墙结构等多层和高层钢筋混凝土冷库中的冷间主要采用钢筋混凝土结构;单层冷库的冷间主要采用钢结构及砌体结构,且砌体结构一般用于小型冷库的冷间。
5.1.2 在没有特殊要求的情况下,一般冷库结构的设计使用年限(按普通房屋和构筑物标准)为50年,安全等级(按一般房屋标准)为二级。
5.1.4 冷间建筑结构在降温以后,由于材料热胀冷缩,引起垂直及水平方向收缩变形,在构件之间相互约束作用下产生温度应力。如果设计不当就会使结构产生较大的裂缝。通过合理的结构设计可以减少温度变化引起的内力及变形,并防止产生大于相关标准要求的裂缝。
据了解,目前国内对0℃以下环境中混凝土线膨胀系数及弹性模量仍无法提出供计算用的精确数值,钢筋混凝土收缩徐变对温度应力的松弛程度也缺乏定量的研究资料。因此,本次修订仍按过去经验做法提出冷间结构设计的一般规定。
冷库是贮藏食品的特殊物流建筑,在冷库试运转投产降温过程中会因温度变化作用对结构产生不利影响。因此,冷间试运转逐步降温使建筑及结构构件逐步收缩,减少因激烈降温而产生温度裂缝。逐步降温也有利于建筑及结构构件中的水分逐步得到蒸发。
5.1.5 按照与现行国家标准相协调的原则,根据冷库特殊的仓储建筑性质,本条规定了各混凝土结构伸缩缝的最大间距。
5.1.6~5.1.9 冷间结构温度应力是客观存在的,经多年调查观测,其最常发生裂缝的部位在冷间外墙四角及檐口、顶层与底层混凝土墙、柱的上下两端。按照改善支承条件,减少内外结构相互影响的原则,采取将屋面板适当分块,阁楼屋面采用装配式结构及底层采用混凝土预制梁板架空层,合理布置混凝土抗震墙等措施,可使温度应力显著减少,特别是阁楼层柱顶采用铰接时,可以消除柱端弯矩。屋面采用装配式结构应注意做好屋面防水处理。
5.1.10 库房墙砌体因在低温环境下极易产生收缩开裂,其裂缝对冷库的保温隔热将产生破坏,影响冷库正常使用,所以要求其墙砌体应有可靠的防裂措施,如采用先砌筑墙体,再浇筑混凝土梁柱。
5.1.11 按照与现行国家标准《混凝土结构设计规范》GB 50010规定一致的原则,本条仅规定环境类别,其他如混凝土保护层最小厚度、混凝土最低强度等级、最大水灰比等不再单列,可直接按照现行国家标准《混凝土结构设计规范》GB 50010的有关规定执行,由于现行国家标准《混凝土结构设计规范》GB 50010不包括冷库这种人工低温环境,只能套用接近的自然环境。
钢筋混凝土构件除了要保证结构安全使用外,尚要考虑耐久性要求。在预期使用年限内,不致因受冻融、碳化、风化和化学侵蚀等影响,产生钢筋锈蚀而降低结构的安全度。
5.1.12 考虑冷间温度收缩影响,并减少收缩裂缝,本次修订保留“冷间钢筋混凝土板每个方向全截面最小温度配筋率不应小于0.3%”的规定,即在板的上、下表面双向配置防裂构造钢筋,各表面各方向配筋率均不小于0.15%,间距不大于200mm,防裂构造钢筋可利用原有钢筋贯通布置,也可另行设置钢筋,并与原有钢筋按受拉钢筋的要求搭接或在周边构件中锚固。
5.1.13 多次冷库维修情况表明,0℃以下冷间常因使用及管理不当引起冷间地坪冻胀,造成冷间上部结构严重损坏。为减少冷间墙、柱基础下地基发生冻胀,除设计中设置架空地坪、加热地坪等防冻胀措施外,墙、柱基础埋置深度不宜过浅,本次修订保留墙、柱基础埋深自室外地坪向下不宜小于1.5m的规定,一般冷间室内地坪高于室外地面约1.1m,因此墙、柱基础埋深自冷库室内地坪起不小于2.6m。
5.1.14 冷间底层地面长时间堆货,对软土地基易产生较大的不均匀变形,影响冷间正常使用,故本条提出应采取处理措施。
5.1.15 根据过去的冷库震害调查资料,多层冷库采用无梁楼盖结构体系具有一定的抗震能力。基于目前的工程经验,已不建议采用无抗震墙的无梁楼盖结构体系,地震区采用板柱-抗震墙结构要符合现行国家标准《建筑抗震设计规范》GB 50011的相关规定。针对冷库结构形式特点,本条提出冷库板柱-剪力墙结构的主要抗震构造要求。
5.2 荷 载
5.2.1 本条为强制性条文,必须严格执行。本次修订对库房楼面、地面均布活荷载标准值仍采用原规范均布活荷载标准值。
冷库储存品种随市场需要而变化,各种货物的密度不同,为适应这一变化,要求冷库应有较大的活荷载。原规范表5.2.1注2规定,第2项~第5项适用于堆货高度不超过5m的库房,并已包括1000kg叉车运行荷载在内,储存冰蛋、桶装油脂及冻分割肉等密度大的货物时,其楼面和地面活荷载应按实际情况确定,其含义是指货物密度超过400kg/m3时,楼面和地面活荷载应按实际情况确定。过去大部分冷库是储存大块未分割加工的食品原料,其活荷载标准值为20kN/m2,堆货高度不超过5m是合理的,如同时存放猪、牛、羊肉时密度为400kg/m3,存放羊腔时密度为250kg/m3,只存放牛、羊肉时密度为330kg/m3等。目前国内的食品加工厂已很少加工成大块未分割的冻猪白条肉、冻牛四分体肉、冻羊腔等进入冷库并投放市场,而是将分割后的小包装进入冷库并投放市场。根据分割的品种及包装形式,冷冻货物的密度为300kg/m3 ~800kg/m3。尤其对于物流性的冷库,这类冷库属于经营性批发冷库,冷藏间(库房)按面积直接出租给各商户,由商户自己管理货物,各商户的货物品种较杂,货物密度不确定性大,堆货形式以堆码为主,商户为了追求库房最大利用率,在其所租的空间范围内尽量将货物堆满。所以本次修订取消了“堆货高度不超过5m”的要求,增加了“针对其楼面均布活荷载标准值,设计中应注明其相应的货物堆放高度及货物的密度要求”的规定。
本次修订增加了“当冷藏间堆货高度不大于2.5m时,其楼面均布活荷载标准值应根据货物码垛高度及货物的密度计算确定”的规定,原因是对于层高较小的冷库,如果仍然要求其活荷载标准值为20kN/m2显然是不合理的。
5.2.4 多层冷库的穿堂主要考虑临时堆货与叉车运行同时作用,其楼板一般为简支板,可能叉车重量由一块板承担,因此考虑活荷载为15kN/m2。但计算梁、柱、墙及基础时,不可能每层都满载,冷库进出货时,同时工作的层数一般只有两层,因此设计四层及四层以上的穿堂时,允许考虑对每层穿堂的活荷载标准值进行折减,即梁、柱、墙活荷载标准值允许乘以0.70的折减系数,基础活荷载标准值允许乘以0.50的折减系数。
库房内仅对某一层楼板而言,其局部或全部都可能满载,故梁、柱、墙及基础的楼面活荷载标准值不能折减。就冷库一般满载的情况而言,减去通道部分,库内地面只有70%~80%的面积上堆货。一般情况下,一座10000m2的猪肉冷库,满载时只能存10000t冻肉,其楼板计算活荷载标准值虽为20kN/m2,而实际平均活荷载每平方米约为9.8kN。因此,设计4层及4层以上的库房时,允许考虑对每层库房的活荷载标准值进行折减,即梁允许乘以1.00的折减系数(即不折减),柱、墙及基础活荷载标准值允许乘以0.80的折减系数。
设计楼面梁、墙、柱及基础时,当楼面梁、墙、柱及基础从属面积超过50m2时采用以上折减系数;对于支撑梁的柱,其从属面积为所支撑梁的从属面积的总和;对于多层冷库,柱的从属面积为其上部所有柱从属面积的总和。
设计3层及3层以下的冷库时,其库房的梁、柱、墙及基础的楼面活荷载标准值一般均不进行折减。
5.3 材 料
5.3.1 硅酸盐水泥和普通硅酸盐水泥(普通水泥)强度高,快硬、早强,抗冻性和耐磨性较好,适用于冻结间、冷却间的混凝土配制;火山灰质硅酸盐水泥(火山灰水泥)和粉煤灰硅酸盐水泥(粉煤灰水泥)早期强度低,后期强度增进率大,抗冻性差,均不适用于冻融循环的工程;矿渣硅酸盐水泥(矿渣水泥)的特性与火山灰水泥的特性相近,一般不采用,考虑到与原规范的过渡,本次修订未提及矿渣水泥。
如果不同品种水泥混合使用,因收缩时间不同,将会产生裂缝,故规定不同品种水泥不得混用,也不允许同一构件中使用两种以上品种的水泥。
5.3.3 冷间门口或冻结间等个别部位发生冻融循环要多些,冻坏的可能性大些,但要求大部分结构都满足个别部位的要求是不合理的。除了可以采取措施加强管理,防止个别部位冻坏外,还可以用局部维修手段补救,以保证整个结构的安全使用。
近年来,各种混凝土外加剂发展较快,在不增加太多成本的前提下,掺入适量外加剂可以大大提高混凝土的抗冻融性能。
5.3.4 根据钢筋产品标准的修改及“四节一环保”的要求,提倡应用高强、高性能钢筋,且在过去的冷库建设中从未发生过钢筋混凝土构件冷脆断裂的情况,故本条与现行国家标准《混凝土结构设计规范》GB 50010的规定一致。
5.3.8 根据国家规定将黏土砖改为烧结普通砖,即符合现行国家标准《烧结普通砖》GB/T 5101的各种烧结实心砖。考虑冷库0℃及以下冻融循环对结构的影响,冷间内选用的砖要满足现行国家标准《砌墙砖试验方法》GB/T 2542的冻融实验要求。
5.4 防护及涂装
5.4.2 冷库建筑以食品储藏为目的,采用环保、无毒的防护材料极为重要。
5.4.3 本条规定了钢材表面原始锈蚀等级、钢材除锈等级标准。
1 表面原始锈蚀等级为D级的钢材由于存在一些深入钢板内部的点蚀,这些点蚀还会进一步锈蚀,影响钢结构强度,因此不应用作结构钢。
2 喷砂和抛丸是钢结构表面处理的常用方法,所采用的磨料特性对表面处理的效果影响很大,有些磨料难以达到防腐蚀产品要求的粗糙度和清洁度;有些磨料会嵌在钢材内部,这些情况都不符合防腐蚀产品的特性。若表面处理材料的含水量、含盐量较高,会导致钢材表面处理后又快速返锈。河沙、海沙除了含水量、含盐量通常超标之外,还含有游离硅,喷砂过程产生的大量粉尘中也会含有游离硅,人体吸入一定量的游离硅之后会导致严重的肺部疾病,因此磨料产品还应符合环保要求。
5.4.4 防腐蚀涂料施工方法有喷涂、辊涂、刷涂等,通常刷涂对空隙宽度的要求最小。防护层质量检查和维护检查采用的反光镜一般配有伸缩杆,能够刷涂到的部位都能检查到。对于维修情况,本条型钢间的空隙宽度是指安装之后的宽度。
不同金属材料之间存在电位差,直接接触时会发生电偶腐蚀,电位低的金属会被腐蚀。如铁与铜直接接触时,由于铁的电位低于铜,铁会发生电偶腐蚀。弹簧垫圈由于存在缝隙,水气和电解质易积留,易产生缝隙腐蚀。
本条第6款仅适用于可能接触水或腐蚀性介质的柱脚,对完全无水且干燥的房间不适用。
5.4.5 钢结构防腐蚀维护计划通常由工程业主和防腐蚀施工单位、防腐蚀材料供应商在工程建造时制订。投入使用后按照该维护计划进行定期检查,并根据检查结果进行维护,这些工作通常由工程业主邀请防腐蚀施工单位、防腐蚀材料供应商等专业人员进行。一种通行的做法是当检查中发现锈蚀比例高于1%时,有必要进行大修。
5.4.7 无防火保护的钢结构的耐火时间通常仅为15min~20min,达不到规定的设计耐火极限要求。本条规定了钢结构防火设计技术文件编制的要求,其中,防火保护材料的性能要求具体包括:防火保护材料的等效热传导系数或防火保护层的等效热阻、防火保护层的厚度、防火保护的构造、防火保护材料的使用年限等。
当工程实际使用的防火保护方法有更改时,由设计单位出具设计修改文件。当工程实际使用的防火保护材料的等效热传导系数与设计文件不一致时,按“防火保护层的等效热阻相等”原则调整防火保护层的厚度,并由设计单位确认。
6 制 冷
6.1 一般规定
6.1.1 冷库制冷系统指配置在冷库工程内,用于移除冷间内热流量的制冷系统;其他非冷库制冷系统指用于食品速冻、冻干等生产加工过程,制冰等生产设施,冰场等公用设施的制冷系统。
6.1.3 制冷系统的总排气量指一套制冷系统内部所有制冷压缩机理论排气量的总和,不区分蒸发温度,也不区分高、低压级,对于目前常用的制冷系统,总排气量5000m3/h时电机总容量一般在1000kW左右,总排气量500m3/h时电机总容量一般在100kW左右。制冷系统的设计规模与冷库的设计规模不一定完全对应,主要原因是冷库功能和制冷系统类型具有多样性,如不同冷库即使公称容积相同,有的需要大量冻结,有的不需要冻结,则制冷系统的总排气量会相差很大。按照本标准第1.0.3条的规定,不同规模的制冷系统会有不同的技术要求,因此本条根据目前行业的整体状况做了规定。
6.2 负荷计算
6.2.1~6.2.3 这三条规定了负荷计算的具体内容和方法,负荷计算内容应包括但不限于这三条所述各项,如果实际工程中还有其他能够形成负荷的热流量,也应计入。对于实际工程可采用一种负荷计算方法,也可分别采用两种负荷计算方法,但是不应在同一个计算过程中混合使用。
6.2.4 本条中“邻室为冷间时”特指邻室与本冷间之间存在隔热层,运行温度可以不同;如果没有隔热层,则邻室的室温与本冷间相同。
6.2.5 食品热流量和食品包装材料热流量在降温过程中的最大热流量指食品和食品包装材料进入冷却间、冻结间和不经过冷却而直接进入冷却物冷藏间时,其在不同降温阶段的热流量是变化的,取其中的最大值。
本条中生产性冷库是指配置在食品产地、加工企业或渔业加工基地内的冷库,物流冷库是指建在批发市场、物流园区内用作食品配送前集中储存的冷库,商用冷库是指配置在超市、餐饮等商业设施内用作食品零售或消费前暂存的冷库。
6.2.7 冷间内电动机运转热流量应包括但不限于本条所述各项,如果实际工程中还有冷间正常运行必须使用的其他电动机,其运转时产生的热流量全部或部分进入冷间内,也应计入。
6.2.10 本条中“维持制冷系统在某一蒸发温度正常运转时需要制冷压缩机移出的其他热流量”包括但不限于低压级排热量(双级压缩制冷系统的高压级制冷系统机械负荷)、低温级冷凝排热量(复叠式制冷系统的高温级制冷系统机械负荷)、制冷压缩机喷液式油冷却器的排热量等。
6.2.11 当冷却物冷藏间的最低使用温度高于当地冬季空调室外计算温度时,冷却物冷藏间内的热量将通过围护结构向外传导,通风换气等室内外的空气交换也将导致冷却物冷藏间内热量的散失,如果散失的热量超过冷间内货物热流量等得到的热量,可能会使其温度降低到食品允许的最低温度之下,因此需要通过计算确定其在冬季需要制冷还是加热,以及制冷或加热的负荷。
6.3 制冷系统与设备选择
6.3.1 经济性原则指制冷系统或设备的初投资与全寿命周期的运行费用的总和最经济。在一般情况下初投资与全寿命周期的运行费用的关系是矛盾的,降低初投资往往导致全寿命周期的运行费用增加;反之亦然,如减少冷间温度和制冷系统蒸发温度的温差往往导致冷却设备换热面积增加,从而增加投资,但是同时也使蒸发温度提高,使压缩机的制冷系数也随之提高,从而减少运行能耗。温度接近的蒸发温度指相差不超过3℃~5℃。运行特性包括负荷波动情况、冷间温度和蒸发温度的温差要求、制冷量的总量及占比、运行时间的同步性等方面。
6.3.3 本条第1款、第2款规定的目的是保障安全。第3款规定的目的是降低环保政策风险。我国是《蒙特利尔议定书》和《联合国气候变化框架公约》的缔约国,按条约规定,目前常用的卤代烃及其混合物类制冷剂中的氢氯氟烃(HCFCs)类已经进入总量削减阶段,详见原环保部《关于严格控制新建、改建、扩建含氢氯氟烃生产项目的通知》(环办〔2008〕104号);氢氟烃(HFCs)类由于全球变暖潜能值(GWP值)高属于过渡性质,而大、中型制冷系统的使用寿命往往在20年以上,为降低环保政策风险,尽量减少卤代烃及其混合物的灌注量和泄漏可能性是目前最经济、可行的技术措施;基于上述形势,新建工程不应采用HCFCs类制冷剂,不宜大量采用GWP值高的HFCs类制冷剂,现在使用HCFCs类制冷剂的工程在改建、扩建时应符合相关政策。
6.3.4 二氧化碳作为载冷剂使用时通过潜热传递热量,能耗优于通过显热传递热量的盐水载冷系统。盐水载冷剂包括但不限于乙二醇、丙烯乙二醇、氯化钠、氯化钙的水溶液,应无毒、不燃、无刺激性气味、无腐蚀或轻微腐蚀。
6.3.5 对于包含多个冷间的冷库,所有冷间共用一套制冷系统时可称为“最标准的”集中式制冷系统,所有冷间各自用不同的制冷系统时可称为“最标准的”分散式制冷系统,在上述二者之间还存在部分冷间共用一套制冷系统,部分冷间各自用不同的制冷系统等状况,实际工程设计时需要根据经营、技术、经济、法规等要求分析后选用,对于大、中型的生产性冷库和物流冷库,集中式制冷系统往往具备投资少、可靠性高、调配灵活、节能等优势。
6.3.6 本条规定的目的是在本标准第6.3.3条第3款的基础上进一步减少卤代烃及其混合物的灌注量和泄漏可能性。
6.3.7 本条第1款内的频繁除霜指除霜间隔时间在正常运行的情况下不超过2天~3天,如果有其他特殊要求,也可延长到几周,甚至几个月。本条第4款指冷却设备的材质、构造等,如与食品直接或间接接触的材质应符合卫生要求。
6.3.8 冷间冷却设备的实际换热量在一个除霜或清洗周期内是变化的,如果冷却设备负荷和实际换热量都能够逐时计算,在每个时段实际换热量都不应小于冷却设备负荷,不能逐时计算时则要求实际换热量的最小值不应小于冷却设备负荷的稳态计算值。
6.3.11 翅片构造应方便扫霜操作指扫霜工具能够方便地清扫翅片和管道的每个换热面,没有死角。尽量减少冷排管内的制冷剂灌注量对于减轻氨制冷剂泄漏的危害、降低卤代烃及其混合物制冷剂的环保政策风险是目前最经济、可行的技术措施。
6.3.12 本条适用于多数冷间采用空气冷却器的大、中型冷库,如果仅个别冷间采用空气冷却器,技术和经济分析认为电融霜是最优选择时则本条规定不适用。
6.3.13 冷间内的空气分配系统包括有风道(导风装置)的空气分配系统和无风道(导风装置)的空气分配系统;冷藏间温度波动范围参见本标准第3.0.7条的相关规定,如当冷藏间要求温度波动范围为±1℃时,冷藏间降温时货区各处温差不应超过2℃。
6.3.14 总制冷量指同一蒸发温度所有制冷压缩机制冷量的总和。制冷系统最小负荷指制冷系统在正常运行时实际存在的最小负荷,不一定是最小冷却设备的换热量。由于目前国内绝大多数地区的维修条件能够满足要求,因此本条规定不要求配置备用制冷压缩机(制冷压缩机组),但是对于维修条件不能够满足要求的个别地区或不允许故障停机的制冷系统,可酌情配置备用制冷压缩机(制冷压缩机组)。
6.3.15 制冷系统内需要按本条规定选型的设备包括但不限于本条所述各项设备。
6.3.16 对于不同类型的冷凝器,冷却介质温度最低的内涵也不同。对于采用空气冷却的冷凝器,最低环境温度可按冬季空调室外计算温度取值;对于采用冷却水冷却的冷凝器,最低环境温度可按冬季空调室外计算温度对应的冷却水温度取值,最低为3℃~5℃。
6.3.17 在没有其他特殊要求的情况下,“冷凝温度不超过上限”指冷凝温度不超过高压报警(保护)压力对应的饱和温度。
6.3.22 本条所述设备不包括压缩机。
6.3.23 本条是为减少制冷系统内制冷剂的损失而制定的。氨虽然便宜,但是有毒性,不宜直接排放;卤代烃及其混合物不仅价格较高,而且污染环境,也不宜直接排放。对于二氧化碳制冷系统,除有特殊要求外,其制冷系统内的不凝性气体可直接排放。
6.4 制冷设备布置
6.4.1 冷却间、冻结间容积利用系数与冷藏间容积利用系数的内涵一致,在满足食品冷却、冻结工艺的前提下,应通过优化冷却设备的布置提高其容积利用系数,从而降低造价和运行能耗。
6.4.2 门、窗直接开向库房内的冷间、穿堂、封闭站台的制冷设备间属于库房内的制冷设备间。
6.4.3 商用冷库往往用地成本较高,并且多采用小型设备,因此对其通道和间距不再规定最小值,在实际工程设计时可酌情参考本条的相关规定。
6.4.4 阀站由集管和共用集管的多个(多组)阀门、管道等元件组成。手动阀站指在制冷系统正常运行期间需要操作人员手动操作的阀站,不包括只在维修时才需要维修人员手动操作的阀站。
6.4.7 氨制冷系统润滑油处理设备包括处理从制冷系统内排放出的润滑油的所有设备、材料和容器。润滑油如果需要处理,应在制冷机房以外进行。
6.4.8 氨是B2类制冷剂,有毒、可燃,不仅泄漏时会损害其他设备,而且也要防止其他设备故障时危害氨制冷系统的安全,因此本条给出明确限制;对于卤代烃及其混合物、二氧化碳这些无毒且不燃的A1类制冷剂,本标准没有明确限制,但是在实际工程设计时也应考虑是否会相互影响。
6.5 制冷管道
6.5.1 根据《质检总局关于修订〈特种设备目录〉的公告》(2014年第114号),制冷系统内公称直径小于50mm的管道(对于R134a公称直径小于150mm的气体管道)不是压力管道,对于大、中型制冷系统,由于其制冷剂灌注量较多,泄漏后的危害较大,因此上述管道在实际工程设计时虽然不必履行相关的压力管道监管程序,但是还应遵守相关的压力管道技术规定。
6.5.2、6.5.3 这两条规定中的压力值均为表压。
6.5.4 热气融霜管道的运行工况往往变化较大,在正常降温时可能处于低压和低温工况,在融霜开始时可能处于高压和低温工况,在融霜稳定时可能处于高压和非低温工况,因此在实际工程设计时应考虑所有可能出现的工况,找出其中材质、许用应力最不利条件时对应的温度,再按照本条第1款、第2款的规定修正后作为设计温度。
6.5.5 二氧化碳复叠式制冷系统低温级低压侧、高压侧的内涵与本标准第6.5.2条完全一致。
6.5.6 在国家没有其他新的管道标准颁布并经本标准编制组在冷库设计范围内认可前,在实际工程设计时与本条规定不同的其他管道不包括在本标准的适用范围内。
6.5.7 经济适用原则指管道的初投资与全寿命周期的维护费用的总和最经济,而且市场供给充分,施工工艺成熟、可靠、便捷。
6.5.8 本条第4款和第5款规定都是为进一步减少卤代烃及其混合物泄漏的可能性。由于制冷剂的属性不同,氨和二氧化碳制冷系统在实际工程设计时无须直接按此执行。
6.5.9 氨制冷系统遭受地震破坏后有可能引发次生灾害,因此本条第1款要求其管道的计算荷载应包括地震荷载。对于卤代烃及其混合物制冷系统,虽然遭受地震破坏后引发次生灾害的可能性很小,但因其不仅价格较高,而且会污染环境,因此对于灌注量较多的大、中型制冷系统,也需要考虑抗震技术措施。
6.5.12 管道管径在符合允许压力降和安全流速的前提下,增大管径往往导致增加投资,同时也使管道阻力降低,从而减少运行能耗,反之亦然。经济原则指管道的初投资与全寿命周期的运行费用的总和最经济,适用原则指安装合理、符合回油等其他技术要求。
6.5.13 为防止制冷剂泄漏,本条对常规管道连接方式的规定相对严格,但是并不排斥特殊情况下采用安全、可靠、经济、便捷的特殊连接方式,如可用于卤代烃及其混合物制冷系统管道的洛克环连接。
6.5.14 本条第2款中“与库房生产、管理无直接关系的其他房间和与库房生产、管理直接有关的辅助房间”的内涵见本标准第4.2.20条及其条文说明。第4款中生活区域指厂区内宿舍、餐厅等生活设施所在的区域;办公区域指厂区内与库房生产无直接关系的办公设施所在的区域,如以经营管理为主的独立或综合办公楼所在的区域;批发交易区域指厂区内面向不特定人群的封闭式交易厅或开敞式交易场所在的区域。第5款中封闭的阁楼、顶棚、夹层、吊顶、管井指所述空间不能够自然通风,或虽然能够自然通风,但是不能满足日常检查和维修要求的部位。
6.5.15 本条第4款中当制冷系统的任何一台设备发生故障时,其内部的制冷剂能够通过应急处置操作抽到系统其他设备内或外置的容器内,不应直接排向大气。紧急切断装置指既能够在现场又能够通过遥控把所在管道内部通道快速断开的装置。
6.6 制冷管道和设备的保冷、保温和防腐
6.6.3 本条中板式换热器指在使用期内需要定期或不定期把换热片拆开检修、维护的换热器,对于全焊或使用期内不需要拆开检修、维护的非全焊板式换热器则不必考虑本条规定。
6.6.7 本条第1款中当计算的经济厚度大于或等于防结露厚度时,保冷厚度按经济厚度取值,否则按防结露厚度取值。
6.7 制冷系统安全与监控
6.7.1 制冷压缩机(制冷压缩机组)出厂时如果已经配置本条所述各项安全保护装置,则制冷系统不需要重复配置。
6.7.2 如果本条所述各项设备作为组合装置已经配齐所有保护装置,则系统设计时不需要重复配置。
6.7.3 如果制冷剂循环泵作为组合装置已经配齐所有保护装置,则系统设计时不需要重复配置;断液报警和自动停泵装置在制冷剂循环泵不允许空转时配置;排液管上的止回阀在不允许停泵后制冷剂倒流时配置;流量和压力保护装置在制冷剂循环泵需要最大、最小流量保护时配置。
6.7.4 制冷系统内需要配置压力表或真空压力表的部位包括但不限于本条所述各项。
6.7.5 按本条规定选择压力表或真空压力表的量程时,在某些情况下按“量程不应小于工作压力的1.5倍和设计压力的1.15倍”计算出的压力值反而大于按“不宜大于工作压力的3倍”计算出的压力值,这时应按前者确定。
6.7.6 制冷系统内需要配置专用超高液位报警装置的设备包括但不限于本条所述各项;本条中“专用”指仅负责报警,不再承担其他功能,如液位控制。
6.7.7 制冷系统内需要配置液位指示器的设备包括但不限于本条所述各项;自动关闭装置的作用是当液位指示器的玻璃管(板)破裂时能够自动关闭与设备的连接,阻止设备内的制冷剂泄漏。
6.7.8 制冷系统内需要测量过冷、过热的部位包括但不限于热气融霜阀站集管、中间冷却器(经济器)冷却盘管的进出口。
6.7.11 本条中“布置在室外的制冷设备”的室外指制冷设备所在的室外区域与非操作人员活动的室外区域在同一空间,非操作人员可以无障碍地接近制冷设备。
6.7.12 二氧化碳、卤代烃及其混合物制冷剂都是窒息性物质,泄压排放时温度也比较低,部分卤代烃及其混合物制冷剂遇高温还会分解出有毒物质,因此本条中“室外安全处”指泄压管出口影响的范围内不会发生窒息人员、冻伤人员、损坏设备等财产、分解出有毒物质等危害的地方。
6.7.13 本条中“安全阀定期校验的要求”指安全阀定期校验时能够从安全管道上无损拆装,并且不影响制冷系统的安全运行。本条中“无害化处理”包括但不限于水吸纳、酸中和等技术措施,目的是消除安全阀泄压时排出的氨气对周边人员、环境的危害。
6.7.14 本条中的元件包括但不限于阀门、过滤器、压力表、压力传感器、液位计、液位控制器。
6.7.15 热气融霜系统自动控制指空气冷却器配置的参与热气融霜操作的阀门不需要手动开关、调节,并且空气冷却器和阀门的运行程序、相互联锁和保护关系是自动进行的。
6.7.16 快速关闭阀指需要人工持续施加外力阀门才能处于开启状态,人工施加的外力消失时阀门立即关闭。
6.7.17 本条中“液体容积超过0.2m3的设备和(或)管段”指在氨制冷系统正常使用状态下,设备和(或)管段内的制冷剂是液态或气液两相状态,并且设备和(或)管段的容积超过0.2m3;“人工紧急处置”指具备必需的安全处置装备、不间断地值班、可靠的安全管理程序等措施;“自动装置紧急处置”指具备自动泄漏探测、事故段紧急隔离、事故段内剩余氨制冷剂紧急排入氨吸纳水池(水箱)或紧急回收的措施。
6.7.18 本条规定是为了氨能够顺畅、充分地溶于水中,防止未溶解的氨从水面逸出。
6.8 制冷系统自动检测与控制
6.8.1 制冷系统的各项运行参数能够直接反映系统的安全、可靠和能耗等状态,为提高制冷系统的安全、可靠、环保和节能技术水平,本条要求“应”配置自动检测系统;自动控制系统虽然能够进一步提高制冷系统的安全、可靠和节能技术水平,但是由于国内各地、各企业的经济水平差别较大,目前自动控制装备也确实需要一定的初投资和技术支持,因此本条要求“宜”配置自动控制系统和中央级监控管理系统。
6.8.2 本条中自动检测系统“根据制冷系统的实际配置”指在实际的制冷系统内有相应的设备时再自动检测相应的参数,否则不需要检测,如对于单级压缩制冷系统不需要检测中间压力。本条第4款中“机电设备”和“电磁阀”包括制冷系统内的和与制冷系统运行直接相关的其他机电设备、电磁阀,如水冷冷凝器的循环水泵、冷却塔、水电磁阀。自动检测系统的内容包括但不限于本条所述各项。
6.8.3 本条中自动控制系统“根据制冷系统的实际配置”指在实际的制冷系统内有相应的设备时再配置相应的自动控制功能,否则不需要配置,如对于直接膨胀供液制冷系统不需要配置制冷剂循环泵流量自动调节装置。本条第8款中“所有机电设备和电磁阀”包括制冷系统内的和与制冷系统运行直接相关的其他机电设备、电磁阀,如水冷冷凝器的循环水泵、冷却塔、水电磁阀。自动控制系统的内容包括但不限于本条所述各项。
6.8.4 中央级监控管理系统具备监视、显示、操作、控制、数据管理、安全管理等基本功能,本条所述各项是这些基本功能在制冷系统的具体体现,是最低要求,完全符合本条和本标准第6.8.2条、第6.8.3条规定的制冷系统方可称为“全自动制冷系统”。
7 电 气
7.1 供配电
7.1.1 冷库供配电系统应按负荷性质、用电容量、工艺要求、发展规划以及当地供电系统条件合理设计。
本条是按事故停电造成损失来确定负荷特性的。目前国内各地电网供电普遍比较稳定,如需临时停电会提前通知,用户通过采取必要的应对措施,短时停电一般不会造成较大的经济损失。而评价停电造成经济损失的大小主要取决于用户的接受能力,因此在大力发展市场经济的环境下,本次修订对冷库负荷分级予以适当放宽,未按冷库规模的大小统一规定负荷等级。
需要说明的是,国家储备冷库的负荷等级是针对制冷系统用电设备确定的,其他冷库的负荷等级是针对制冷系统保温运行用电设备确定的。物流作业的用电设备,库房照明用电,安全防范系统、通信系统和计算机管理系统等用电负荷等级的分类应根据不同冷库的具体需求,与用户协商确定。本条中对冷库不同负荷的供电要求是最低要求,有特殊要求的冷库负荷等级,要根据其自身的特点确定供电方案。
7.1.2 冷库中主要用电负荷是制冷系统及辅助系统用电设备,多年运行实践表明,采用全库总电力负荷需要系数法进行负荷计算,需要系数下限值取0.55是合适的。
7.1.3 冷库的用电负荷大多集中布置在制冷机房,因此变配电所应靠近制冷机房设置。当不集中设置制冷机房时,要根据用电负荷在总图上的分布情况,变配电所宜布置在负荷中心附近。对于大规模冷库群,由于占地面积大、用电设备多且布置分散,此时仅靠近制冷机房布置变配电所已不完善,可考虑设置分变配电所。
7.1.4 对制冷系统用电设备进行电能分项计量,可以使管理者清楚了解各用电设备的耗电情况,进行准确的分类统计,制订科学的用电管理策略,提高能效,从而节约电能。
7.2 制冷机房
7.2.1 为保证采用氨(含氨和二氧化碳复合)为制冷剂的氨制冷机房的运行安全性,要求机房内不应布置配电与控制箱(柜)装置(含事故排风机配电与控制装置)。当发生氨泄漏时,为便于控制室值班人员及时、安全地停止制冷系统运行、紧急处理漏氨事故,一般情况下制冷机组控制柜等电气控制装置应集中布置在控制室内。而采用卤代烃及其混合物、二氧化碳为制冷剂,二氧化碳、盐水等为载冷剂的制冷机房可不单设控制室,制冷设备控制箱(柜)等可布置在机房内。
7.2.2 安装电流表有助于观察电机和制冷系统的运行情况。制冷机组在运行中如出现意外情况(如机械故障等),应紧急停车进行处理,以免事故扩大,因此要求在机组控制台上安装紧急停车按钮。
7.2.3 为保证制冷压缩机组的供电可靠性,对集中布置的制冷压缩机组宜由为本制冷机房供电的变配电低压配电母线采用放射式配电。
7.2.4 制冷机房事故排风机是保证运行安全和人身安全的重要用电设备,因此为保证供电的可靠性,要求应从为本机房供电的变电所低压母线或本机房所在单体建筑的总配电室采用专用的供电回路配电。为保证制冷剂泄漏探测报警系统可靠运行,制冷剂泄漏探测报警系统也应由为事故排风机供电的专用回路供电,且制冷剂泄漏指示报警设备还应设置备用电源(如电池)。
7.2.5 本条是为保证当制冷剂泄漏时,事故排风机能够及时、可靠开启而做出的规定。安装在制冷机房室外的事故排风机手动启动按钮或者开关,要满足其所处环境条件的防护和防爆等级要求。
7.2.6 卤代烃及其混合物、二氧化碳均无色无味且比空气重,当有制冷剂泄漏时,会大量积聚在电缆沟内,对进行维修作业的电气人员的身体健康造成损害,因此此类制冷机房内电气线路一般不采用电缆沟敷设,当确有需要时,可在电缆沟内充沙。
7.2.7 采用氨(含氨和二氧化碳复合)为制冷剂的氨制冷机房属于正常运行时不太可能形成爆炸性气体混合物的环境场所。而针对发生制冷剂泄漏需要紧急排出散发在机房内氨气的事故,采取了基于假定某制冷管道断裂的事故排风措施,排风量按183m3/(m2·h)进行事故排风计算,可以保证机房通风的空气流量能使氨气稀释到4%以下;同时为避免因通风设备故障带来的风险,又采取了氨制冷机房氨气探测报警系统在其爆炸下限浓度25%气体浓度值时,紧急切断机房的供电电源(机房事故排风机和应急照明的供电电源除外)的措施。因此,按现行国家标准《爆炸危险环境电力装置设计规范》GB 50058的有关规定,氨制冷机房可以定为通风良好场所,并可以降低其爆炸危险区域的等级。此外,根据中华人民共和国成立以来,我国食品冷冻、冷藏制冷行业的运行经验,尚未有氨制冷机房运行过程中氨泄漏时因电气火花引发爆炸事故的报告。故氨制冷机房内正常工作的电力装置未要求按爆炸性气体环境进行电气设计。
7.2.8 采用氨(含氨和二氧化碳复合)为制冷剂的氨制冷机房内,当发生氨泄漏采取紧急切断机房供电电源的预防措施后,为避免由于此时仍处于工作状态中的应急照明可能产生的火花、电弧所带来的安全风险,故规定应急照明按爆炸性气体环境进行设计。
7.2.9 本条规定了为确保采用氨(含氨和二氧化碳复合)为制冷剂的氨制冷机房不形成爆炸性气体危险环境,降低因机房事故排风机发生故障带来通风稀释不可靠,造成机房通风不良风险所采取的保障措施。安装在制冷机房外的手动切断电源按钮或开关,要满足其所处环境条件的防护和防爆等级要求。
7.3 库 房
7.3.1 冷间属于低温、潮湿场所,电气设备易受潮损坏,且低温环境下检修困难,因此一般情况下配电及控制设备不宜布置在冷间内。当布置在控温穿堂、控温站台等潮湿处时,要采取防潮、防水措施。
7.3.2 冷间内使用的照明灯具应符合现行国家标准《食品安全国家标准 畜禽屠宰加工卫生规范》GB 12694中的相关规定,要有较高显色性,要能快速点亮。为贯彻执行节能减排的方针,设计人员在工程设计时应与建设方协商,合理确定灯型,优先选用环保、节能型灯具。
7.3.3 不同类型、不同地区的冷库对照度的要求是不同的,工程设计时具体照度取值可根据建设方的需要确定。
7.3.4 本条是根据冷库特点制定的。避开吊顶式空气冷却器也包括避开吊顶式空气冷却器的风道。
7.3.5 本条是为提高冷间照明的可靠性制定的。
7.3.6 本条是为了提高冷间用电的安全性而制定的。
7.3.7 本条是根据冷库特点制定的。
7.3.8 本条为强制性条文,必须严格执行。为避免产生电气火灾隐患,电气线路穿越保温材料(层)敷设时,应采取防火保护措施。电气线路穿越冷间保温材料(层)时如处理不当,将会出现冰霜,造成冷量损失,导致保温层局部失效。
7.3.9 当人员被误关在冷藏间内时,为保障人身安全而做出本条规定。
7.3.10 本条是为防止因加热电缆安装使用不当导致发生间接电击而制定的。
7.3.11 本条是为保证机械冷藏车的制冷系统在公路站台装卸货物时能可靠运行而制定的。
7.3.12 盐水制冰间空气中含有盐雾,有较强的腐蚀性,为了延长电气产品的使用寿命而做出本条规定。
7.3.13 冷间内使用的空气冷却器电动机工作条件相同,同时启停运行。考虑到冷库的特点,降温运行时,现场无人值守,冷间为低温潮湿场所,电器设备易受潮损坏,维修困难,因此制定本条规定。要求空气冷却器电动机设置观测仪表及采取必要的保护措施,以提高其运行的安全性。
7.3.14 为保证事故排风机供电的可靠性,要求可从制冷设备间或阀站间所在库房的总配电室采用专用供电回路配电。为保证制冷剂泄漏探测报警设备可靠运行,制冷剂泄漏探测报警设备也应由为事故排风机供电的专用回路供电,且制冷剂泄漏指示报警设备还应设置备用电源(如电池)。
7.3.15 冷间内设置室内空气温度的测量、显示和记录系统(装置)是冷库运行的基本要求。冷间内测温传感(变送)器布置的数量与位置要以能真实反映出房间内温度场分布的情况为原则。冷间温度的测量精度要满足食品储藏和冷链物流的要求。
7.3.16 按现行国家标准《建筑设计防火规范》GB 50016对设置火灾自动报警系统的建筑或场所的规定,冷库中的机械防排烟系统、自动喷水灭火系统等需要与火灾自动报警系统联锁动作的场所或部位均应设置火灾自动报警系统。本次修订对存在火灾扑救困难风险的建筑面积大于1500m2且高度大于24m的单层高架冷库的库房和设在地下或半地下室的库房提出了宜设置火灾自动报警系统的要求,目的是通过早期发现和通报火情的技术手段,减少火灾风险。
7.3.17 冷间为相对封闭场所,低温、潮湿、空间大,宜采用管路采样式吸气感烟火灾探测器。为避免和减少冷桥现象的发生,探测器应布置在冷间内。由于在低温、潮湿环境下,烟气在扩散时会较快速地冷却并沉降,为实现火灾初期快速准确探测报警的目的,除满足现行国家标准《火灾自动报警系统设计规范》GB 50116的有关规定外,建议在冷间内部的垂直方向上,适当的安装高度处增设采样管网层。
7.4 制冷剂泄漏探测J报警系统
7.4.1 氨气为有毒的可燃气体,为预防人身伤害及爆炸事故的发生,保障冷库运行安全,凡采用氨(含氨和二氧化碳复合)为制冷剂的氨制冷机房内均应设置氨气泄漏探测报警系统。室外警报器可以安装在警卫室或值班室等有人值守的场所。
对于氨气浓度探(检)测器检测点的确定,由于影响因素非常多,如释放源的特性、气体的理化性质,制冷设备生产场地布置、地理条件,环境气候、操作巡检路线等,不宜统一规定氨气浓度探(检)测器检测点的具体设置。为有效发挥氨气浓度探(检)测器的作用,应结合机房建筑、工艺设备特点和食品冷库行业长期运行经验,以及选择气体易于积聚和便于采样检测布置的一般原则确定。
1 氨毒性报警设定值确定为1.5×10-4,是参照国际氨制冷学会(IIAR)的有关标准,并结合我国食品冷库整体发展水平与运行特点制定的。氨气毒性报警设定值如果设定太低,如2.5×10-5~5×10-5,可能会出现频繁报警警示。其实氨气具有强烈的刺激性,发生少量的泄漏(如5×10-6)人就会有感觉,因此对于机房的操作人员,泄漏的氨气本身已充当了一级警示报警,提示及时进行现场巡视。如果设定值过高,按不超过10%的直接致害浓度值设定,则会增加机房工人受伤害的风险。故当氨气浓度达到1.5×10-4进行报警和开启机房事故风机作为毒性报警值设定值(相当于二级报警)。氨气浓度探(检)测器(设定值为1.5×10-4)宜布置在氨制冷机组、氨泵及贮氨容器被保护空间的顶部,其安装高度应高出可能释放位置或释放点0.5m~2m,探(检)测器的有效覆盖水平平面半径建议不大于3m。
氨气浓度探(检)测器可选用电化学型或半导体型探测器,并应按照产品使用要求进行校验。电化学型探测器的使用寿命在正常情况下一般为1年~3年,半导体型为3年~4年(仅供参考,以产品说明为准)。
2 为避免因机房事故排风机故障而无法正常排出事故状态下散发在机房内的氨气,降低氨制冷机房发生爆炸危险的可能,本款规定了如发生漏氨事故,氨气浓度达到其爆炸下限的25%时,紧急切断制冷机房供电电源的措施。
氨气浓度探(检)测器(设定值为其爆炸下限的25%,约为4×10-2)宜安装在机房事故排风机的吸入口附近或机房内最高点气体易于积聚处。氨气浓度探(检)测器的有效覆盖水平平面半径建议不大于7m。
氨气燃烧探测器可选用抗毒性催化型探测器,并应按照产品使用要求进行校验。催化型探测器的使用寿命在正常情况下一般为2年(仅供参考,以产品说明为准)。
7.4.2 卤代烃及其混合物、二氧化碳是有害气体,无色无味且比空气重,如出现大量的制冷剂泄漏,会存在使机房工人产生窒息的潜在性危险。本条是为保护制冷机房操作工人的安全而做出的规定。不同制冷剂气体浓度报警设定值要根据我国卫生部门的相关卫生要求确定。
检测密度大于空气的卤代烃及其混合物、二氧化碳探测器宜设置在制冷机房被保护空间的下部,其安装高度距地坪(或楼地板)0.3m~0.6m。
7.4.3 为能早期及时发现泄漏故障,减少安全隐患,提高运行安全,本条规定设在库房内的制冷设备间和制冷阀站间应设制冷剂泄漏探测指示报警设备。
8 给水排水
8.1 一般规定
8.1.1 给水排水管道穿越冷间保温层时会造成冷量损失并产生结露滴水现象,设计中应采取必要的隔断处理措施。
8.1.2 在冷库穿堂内敷设的给水排水管道极易产生结露和滴水,故提出了相应的防结露、防冻措施。
8.1.3 本条是根据冷库用水卫生、安全要求提出的。
8.2 给 水
8.2.2 本条是根据《中华人民共和国食品卫生法》中对食品加工用水水质的要求制定的。
8.2.3 本条未对生产设备的冷却水、冲霜水水质做硬性规定,可根据各冷却设备对水质的要求确定。如对卫生有特殊要求的速冻装置和存放食品冷间的冲霜水水质应符合现行国家标准《生活饮用水卫生标准》GB 5749的规定。对其他用水设备的补充水,有条件时可采用城市杂用水或中水作为水源,其水质应符合现行国家标准《城市杂用水水质》GB/T 18920的规定。
8.2.4 本条对冷库给水系统的设计用水量标准提出了要求,冷库生活用水及洗浴用水量是按照现行国家标准《建筑给水排水设计标准》GB 50015中工业企业建筑的相关用水定额制定的。
8.2.5 本条对冲霜水水温只做了下限的规定,根据对相关冷库冲霜给水、回水管道的测定资料,当水温不低于10℃时,冷库管道长度在40m内流动的水不会产生冰冻现象。考虑到目前国内情况及今后发展趋势,有条件时可适当提高水温,以缩短冲霜时间和减少冲霜水量,但水温不宜过高,如超过25℃时容易产生水雾。
8.2.6 从节能、节水角度考虑应提倡循环供水,但南方地区靠近江河的冷库,若水源充足,水质满足要求,可直接使用。
8.2.7 本条提出了冷却塔的选用原则,应根据具体工程实际进行选用,特别是在节能、节水及噪声控制方面应满足相关要求。
8.2.8 本条规定按湿球温度频率统计方法计算的频率为10%的日平均气象条件,在冷库工程设计中是恰当的。现行国家标准《工业循环水冷却设计规范》GB/T 50102中规定,冷却塔的最高冷却水温气象条件宜按湿球温度频率统计方法计算的频率为5%~10%的日平均气象条件计算。
在冷库工程设计中采用近期连续不少于5年,每年最热3个月(一般为6、7、8三个月)频率为10%时的空气干球温度及相应的相对湿度作为计算依据,可以满足工艺对水温的要求。
8.2.9 冷却塔的水量损失包括蒸发损失、风吹损失、渗漏损失、排污损失。蒸发损失:根据现行国家标准《工业循环水冷却设计规范》GB/T 50102中冷却塔蒸发损失水量公式计算,当气温为30℃,冷却塔进出水温差为2℃时,蒸发损失率为0.3%。风吹损失:现行国家标准《工业循环水冷却设计规范》GB/T 50102中规定,机械通风冷却塔(有除水器)的风吹损失率为0.2%~0.3%,有的资料规定为0.2%~0.5%,而冷库设计中常用的中、小型机械通风冷却塔一般均未装除水器,尚无风吹损失水量资料。考虑到无除水器水量损失会增加,其风吹损失率按大于1%计。渗漏损失:具有防水层护面的冷却塔的集水池中的渗漏一般可忽略不计。排污损失:损失水量占循环水量的0.5%~1.0%或更大。根据冷库设计多年的实际用水情况和各项损失累计,本条规定补充水量为冷却塔循环水量的2%~3%。
8.2.10 目前多数冷库冷却设备采用了蒸发式冷凝器。蒸发式冷凝器以水和空气作为冷却介质,利用部分冷却水的蒸发带走气体制冷剂冷凝过程放出的热量。当水蒸发时,原来存在的杂质还在水中,水中溶解的固体浓度也会不断提高,如果这些杂质和污物不能有效控制,会引起结垢、腐蚀和污泥积聚,从而降低传热效率,不节能,并会影响设备的寿命和正常的运行,因此,需采取除垢、防腐及水质稳定处理措施。但由于地域不同,水质各异,可根据各地具体情况确定,本条未做硬性规定,至于选择哪种处理方法应考虑便于操作管理并通过技术经济比较确定,目前蒸发式冷凝器除垢一般推荐采用物理法进行处理,主要是避免采用化学方法时发生对设备腐蚀的情况。
8.2.11 蒸发式冷凝器循环冷却水运行水质标准是指导循环冷却水运行的一个重要指标。水质标准数据是根据有关蒸发式冷凝器设备要求及相关工程实例结果提出的,不同产品的蒸发式冷凝器有不同要求,本条提出的水质标准应为基本条件,有特殊要求的设备,按其产品要求进行控制。
8.2.12 蒸发式冷凝器主要是通过冷却水潜热来完成换热的,所以具有节水、节能等优点。根据相关工程蒸发式冷凝器实验资料和调研实际运行项目的补水情况,每293kW排热量约需7.57kg/min的蒸发水量,这不包括蒸发式冷凝器的风吹、渗漏等损失,但这部分水量较少,可在计算出的蒸发水量中适当增加一部分(一般可按蒸发水量的10%计)。
蒸发式冷凝器开启的时间关系到冷库项目的总用水量。对周转性、生产性冷库,进出货比较频繁,机器开启相对长一些,一般为16h;对储备性冷库,机器开启一般在晚上,时间在10h左右。计算时应根据冷库性质和工艺要求的机器运行时间来具体确定。蒸发式冷凝器的补充水量损失主要包括蒸发损失、渗漏损失,未考虑排污水量。当蒸发式冷凝器水处理采用排污法时,蒸发式冷凝器补充水量为循环水量的5%~10%。
8.2.13 在冷却塔进水干管上设旁路水管,能通过全部循环水量,使循环水不经过冷却塔布水系统及填料直接进入冷却塔水盘或集水池,冬季冷却效果能满足要求。这项措施已在我国及美国、英国等作为成熟经验普遍实施。
循环水泵至冷却塔的循环水管道一般为明敷,在管道上要安装泄空水管,当冬季冷却塔停止运转时,可将管道内水放空,以免结冰。
8.2.14 本条是对水冷式制冷压缩机冷却水设施提出的基本要求。
8.2.15 本条是对冷库冲霜给水系统提出的基本要求。目前空气冷却器除霜形式很多,有水冲霜、热气融霜、电融霜等,本标准规定采用水冲霜的称为“冲霜水”,其他形式除霜的称为“融霜水”。
8.2.16 根据冷库低温的特点,制冷系统循环水系统、冲霜水系统宜选用耐冻的焊接钢管或镀锌钢管。
8.2.17 本条是为了对冷库用水进行科学计量考核而制定的。
8.2.18 本条主要是从节能减排方面考虑的。绿化、车辆清洗、循环水系统补充水等用水采用城市杂用水或中水作为水源能满足卫生要求。
8.3 排 水
8.3.1 冷库的冷却间、制冷压缩机房以及电梯井、地磅坑等处都易积水,设置地漏、有组织的排水是防止这些地方积水的有效方法。冷库穿堂部分是否设置地漏排水要根据穿堂使用实际要求确定。
8.3.2 目前有些冷库的地下室作为车库或人防工程使用,冷库地面架空层内由于湿度大,不通风也极易积水,因此这些部分都应有排水措施。
8.3.3 本条为强制性条文,必须严格执行。本条主要是从食品安全卫生方面考虑的。间接排水是指冷却设备及容器与排水管道不直接连接,以防止排水管道中有毒气体进入设备或容器。
8.3.4、8.3.5 这两条主要是考虑目前冷库实际,当设置不同楼层、不同温度冷间时,冲(融)霜排水管不能直接连接,防止互相串通、跑冷、跑味。特别是温度相差较大的冷间还可能引起管道冻裂。
8.3.6、8.3.7 这两条所采取的措施都是为了防止冷间内冲(融)霜排水管道冻冰及使其排水畅通。
8.3.8 根据冷库低温的特点,冷库冲霜水系统排水管宜采用耐冻的焊接钢管或排水铸铁管等金属排水管。
8.3.10 本条为强制性条文,必须严格执行。设置水封(井)主要是防止跑冷和防止室外排水管道中有毒气体通过管道进入冷间内,污染冷间内环境卫生。
8.4 消防给水与安全防护
8.4.1 本条对冷库室外消防给水设置原则给出了应遵循的相关标准,并根据冷库特点规定在制冷机房门外设室外消火栓,一方面是为了救火,另一方面是当机房制冷剂泄漏时,可作为水幕保护机房人员疏散及抢救人员进入室内关闭阀门等。
8.4.2 本条对冷库室内消防设计中一般防火做法及灭火器配置的原则给出了应遵循的相关标准。
8.4.3 根据现行国家标准《建筑设计防火规范》GB 50016及《建筑灭火器配置设计规范》GB 50140的规定在穿堂楼梯间设置消火栓及灭火器,这样一旦发生火灾,能及时阻止火势蔓延,保护人员撤离。由于冷库常年处于低温高湿环境,冷库内发生火灾的概率较小,并且初期火灾蔓延可控,因此在冷库的冷藏间内可不布置消火栓,但在冷库穿堂及楼梯间内设置的消火栓要满足其所在场所两股水柱的要求。
8.4.4 本条规定是当氨压缩机房发生火灾等安全事故时采用的应急处置措施之一,对贮氨器部分起到有效的冷却保护和防护作用。
氨压缩机房局部水喷淋系统可与厂区消防给水系统连接,水量分别计算,喷水时间按0.5h计算。
8.4.5 本条主要是针对当氨制冷机房发生氨泄漏及设备阀门检修等情况时,为了保护操作及救护人员的人身安全而设置的。
8.4.6 本条第1款为强制性条款,必须严格执行。该款是根据现行国家标准《建筑设计防火规范》GB 50016中对高架冷库、非高架冷库的划分及相关指标提出的冷库自动灭火系统的设置要求。冷库建筑由于体量大,人员疏散较困难,一旦着火,很难扑救。自动喷水灭火系统经实践证明是最为有效的自救灭火设施,当冷库的库房设计温度高于0℃且防火分区建筑面积大于1500m2时,设置自动喷水灭火系统是可行的。
9 供暖、通风、空调和地面防冻
9.1 一般规定
9.1.1、9.1.2 这两条规定了选择热源与冷源的基本要求。
9.2 供暖与空调
9.2.1 本条第1款为强制性条款,必须严格执行。当氨蒸气在空气中的含量达到一定的比例时,就与空气构成爆炸性气体,这种混合气体遇到明火时会发生爆炸。一些氟利昂制冷剂气体接触明火时会分解成有毒气体——光气,对人体有危害。燃气红外线辐射供暖设备、电热管辐射供暖设备和电热散热器在使用过程中可能产生火焰或火花,是导致制冷机房火灾的重大危险因素,因此规定制冷机房内严禁使用此类可能产生火焰或火花的供暖设备。
9.2.2 控温穿堂等低温空调场所室内明装的空调末端设备的外壳选用不锈钢材质制造,可以防止设备外表锈蚀,延长设备使用寿命。
9.2.3 设置空气过滤装置可以提高室内空气质量,同时对空调末端设备的盘管起到保护作用。
9.3 通 风
9.3.1 本条对制冷机房通风设计提出具体要求。
1 制冷机房日常运行时,为了防止制冷剂的浓度过大,应保证通风良好。另外,夏季良好的通风可以排除制冷机房内电机和其他电气设备散发的热量,以降低制冷机房内温度,改善工作环境。日常通风的风量以消除夏季制冷机房内余热,取机房内温度与夏季通风室外计算温度之差不大于10℃来计算。
2 事故通风是保障安全生产和工人生命安全的必要措施。对在事故发生过程中可能突然散发有害气体的制冷机房,在设计中应设置事故排风装置。
3 在事故发生时,氨制冷机房如果突然散发大量的氨制冷剂,其危险性更大。国外相关资料推荐的紧急通风率是50.8L/(m2·s),紧急通风量最低值是9440L/S。其中,9440L/s是基于假定某根管断裂而使机房内氨浓度保持在4%以下的最小排风量。
4 制冷机房的通风考虑了两方面的要求,一方面是正常工作状态下保证制冷机房内的空气品质,改善工作环境;另一方面是事故状态下排除突然散发的大量制冷剂及载冷剂气体,保障安全生产和工人生命安全。具体设计中,可以设置多台事故排风机,在制冷机房正常工作状态下,采用部分事故排风机兼作日常排风的作用,在事故状态下所有事故排风机全部开启。
9.3.2 库房内的制冷设备间和阀站间中的制冷系统管道存在制冷剂泄漏的风险,应设置事故排风装置。
9.3.3 货物进出冷藏间时,冷量通过冷藏门的开启传入穿堂,当室外空气湿度较大时常常导致穿堂顶板及隔墙表面产生结露现象。良好的自然通风或机械通风可以避免或缓解结露情况的发生。
9.3.4 本条对冷却物冷藏间的通风系统设计提出具体要求。
9.3.5 变配电间内的余热量较大,应首先采用通风的方式排除余热,南方地区根据需要可采取空调方式降温。
9.4 地面防冻
9.4.2 本条对自然通风的地面防冻设计提出了基本要求。
1 根据已建成冷库的实践经验,体积在2250m3(500t)以下的冷库大多采用自然通风管地面防冻的方法。穿越冷间的通风管长度为24m,加上站台宽6m,每根通风管总长度为30m。使用情况表明,只要管路畅通,此种直通管自然通风的地面防冻方式是安全可靠的。
2 自然通风的地面防冻方式主要在室外中、小型冷库中使用,一次性投资低,不需要运行费用,其防冻的安全性主要与冷间温度、保温材料性能及其厚度、通风管直径及其间距、通风口朝向和室外风速有关。我国地域辽阔,室外气象参数差异很大,限定每根通风管总长度不大于30m是根据已建冷库的实践经验而定的。
3 地面采用自然通风的方式防冻,应保证通风管通畅,避免被杂物堵塞,否则会造成地面局部冻鼓。因此,在进出风口处应设置网栅,并应经常清理,以防污物堵塞。
9.4.3 本条对机械通风的地面防冻设计提出了具体要求。
(1)没有自然通风条件或自然通风条件较差和冷间面积较大、通风管长度大于30m时,采用机械通风地面防冻措施虽然运行费用稍高,但运行安全可靠。
为了保证传热效果,本标准规定支管风速不宜小于1m/s,以避免因风速减小而使表面传热系数下降过多,从而导致传热效果变差。总风道尺寸定为不宜小于0.8m×1.2m,目的是便于人员进入调整和检查,有利于保证各支风道布风均匀。
(2)供暖地区的机械通风地面防冻设施强调设置空气加热装置,在整个供暖季节甚至过渡季都要每天定时运转。
9.4.4 架空式地面自然通风防冻方式具有效果好、维护简单等优点,受到各类冷库建设单位的普遍欢迎,尤其是多层冷库。经调查,该方式在东北地区的冷库中也大量采用。东北地区在某些寒冷气候条件下,只要不使架空层内土壤冻结到基础埋深以下,等到来年气温升高的季节就能使已冻结的土壤融化解冻,就不会发生由于土壤冻结过深造成柱基础冻鼓、结构破坏的现象。但在某些特别严寒或寒冷季节时间很长的地方,则要另行考虑。调查发现,冷库架空层内湿度很大,尤其是夏季,混凝土楼板产生结露。有的冷库架空层楼板的保护层剥落,甚至产生钢筋暴露锈蚀的现象。因此应重视架空层内的通风问题。如果冷库架空地面下架空高度过小,进风口面积小,通风不畅,无排水沟,内存积水,则均会影响使用效果。
9.4.5 不冻液可采用乙二醇水溶液或丙二醇水溶液。液体加热设备布置较灵活,运行和管理也方便。设置流量调节、流量和温度监测装置,可以及时发现和处理系统调试及运行中出现的问题。
9.4.6 当地面加热层的热源采用制冷系统的废热时,要以制冷系统运行产生的最小废热为计算依据,否则地面加热系统就会出现加热量不足的可能,影响使用。
9.5 防烟与排烟
9.5.1 冷库穿堂和封闭站台是货物运输和人员疏散的通道,不同的业态,穿堂和封闭站台的工作状态和人数相差很大。自主经营和管理的冷库,穿堂和封闭站台工作人数较少,而出租经营方式的冷库,穿堂和封闭站台工作人数较多。经调研发现,目前国内冷库穿堂有不设排烟设施的,也有设排烟设施的。本次修订不分业态,统一规定建筑面积大于或等于300m2的冷库穿堂和封闭站台应设置排烟设施,既符合现行国家标准《建筑设计防火规范》GB 50016的相关规定,也统一了冷库穿堂消防排烟要求。防烟和排烟设施的设置应符合现行国家标准《建筑防烟排烟系统技术标准》GB 51251的相关规定。
9.5.2、9.5.3 通过对国内众多冷库建设单位的走访和调研,冷库管理和使用人员均认同冻结间、冷却间和冷藏间内不应设置排烟设施。从使用功能、节能和冷库管理各方面考虑,冻结间、冷却间和冷藏间内不宜设置排烟设施的规定符合食品冷库安全运营的实际情况。
(1)冻结间、冷却间和冷藏间是冷冻猪肉、牛肉、羊肉、鸡肉、水产品等和储存上述货物及冷却、储存蔬菜、水果等货物的密闭空间,没有明火作业的情况,不存在明火引燃货物的可能性。
(2)冷库火灾事故绝大部分是在建设阶段发生的。据2010年一2015年已明确起火原因的54起冷库火灾事故统计资料,由于电气焊和切割作业造成冷库火灾事故的占65%,违规使用明火造成冷库火灾事故的占6%,电气线路短路造成冷库火灾事故的占29%。本标准第7.3.8条规定穿过冷间保温层的电气线路必须采取可靠的防火和防止产生冷桥的措施,从根本上杜绝了冷间因电气线路引燃保温材料导致火灾事故的隐患。因此,冷间在运行期间发生火灾事故的可能性极低。
(3)冻结间和冻结物冷藏间内如果设置排烟设施,必须采取安全可靠的防冷桥措施,否则能耗将大幅增加,且排烟口、补风口和防火阀将会结霜冻结,着火时排烟和补风设施无法正常运行;对冷却间和冷却物冷藏间,排烟口不但“跑冷”,增大能耗,还会产生冷凝水,影响冷库正常使用。
附录A 供暖地区机械通风地面防冻加热负荷和机械通风送风量计算
A.0.1 本表摘自《建筑材料热物理性能》(中国建筑工业出版社,1981年出版)。