ICS 13. IOO

E 09


备案号:43230—2014

中华人民共和国石油天然气行业标准

SY/T 6673—2013

代替 SY/T 6673 -20(16

常压与低压储罐通风安全规范

ReCOlnlnended PraCtke Venting atmospheric and low-pressure StOrage tanks

2013-11-28 发布

2014—04 — 01 实施


国家能源局 发布

目 次

前言

1范围

2规范性引用文件

3术语和定义

」超压或真空产生的原因

4. 3 天气变化

4.4 接触火焰

5呼吸要求的确定

5.3遭受火灾危险的储球紧急通风要求

6呼吸措施

7可能存在可燃气体的馅罐

7.3呼吸阀阻火器的检查维护

8泄放装置规格

& 1 尺寸确定依据

&2压力和真空设定

& 3设计

8.4結构材料

9呼吸装置安装和管理

9. 1呼吸装置的安装

9,2排放管线

9.4呼吸装置的标识、包装和运输

附录A (资料性附录) 本标准WAPISidZM): 2<MJ9 $条对照表

附录B (资料性附录)本标准与API Std 20(H) 2(109技术性差异及其原因

附录C (资料性附录)惰性气体包機储罐的回火保护指南

附录D (资料性附录)疋常呼出和正常吸人依据

附录E (资料性附录)IE常通风要求的备选计算方法

附录F《资料性附荥)表7和表N的紧急通风依据

附录(;(资料性附录)呼吸装置类型和操作特性

附录H《资料性附荥)尺寸确定公式依据

参号文献

本标准按照GiVT 1. 1 — 2(攸《标淮化丁.作导贝U 1部分:标准的结构和编国》给出的理则 起草。

本标准代替SY/T 6673 -2006 «常压与低压储罐通风的推荐作法;”与SY T 6673—2(106相比. 主要技术变化如下:

标准名称由《常压与低压储緯通风的推荐作法/修改为《常压与低压储罐通风安全规范旗

—…修改了范围中规定的内容(见第1章”

部分引用文件修改为国内的国家标准或行业标准第2章):

—-删除了部分术语和定义(见年版的第3章):

4章至第9章的内容对应T 2006年版的第4 ⅛;

—-删除r ”地面和地下低温储Wr内容(见2)()6年版的第5):

一一更新了部分计算方法与计算公式、表、图等;

本标准使用重新起草法修改采用APlSld 2“(心;2(M)9 常压与低压储罐呼吸安全规范K

本标准与APIStdm): 2(H)9相比.在结构上有所调整,附录A中列出了与APl Sld 2HHH 2009相比章条变化对照一览表。

本标准与APl Std 2000 2009相比存在技术性差异.这些差异涉及的条款已通过在其外側页边 空白位置的垂直单线I逬行J'标示.附录B中给出了相应技术性差异及其原因的一览表。

本标准还做了下列编辑性修改:

用小数点符号。”代替符号LL

—-本标准制去了 APl Sld 20IK): 2(II)M中的与标准主题内容无关的内容.包括标准的扉页、引 言等内容。

本标准由石油工业安全弓业标准化技术委员会提出并归口。

本标准起草单位,中国石化集团公司胜利石油管理局技术监督处、屮国石油化丁股份有限公司胜 利油田分公司现河釆油厂、胜利油田分公司技术检测中心。

本标准主要起草人;温涛、刘道华、喻丽娟、朱明军、林月楼、杨云飞、郭连君、孙才均、丑海 峰、阎玲。

常压与低压储罐通风安全规范

1范围

本标准规定了从宾空到压力为小十叱IMPa运行条件下.对石油勘探幵发、储遂过程中使用的石 油液体储織呼吸的要求。

本标准适用于储撬呼吸装置的设计、安装、使用及维护。

2规范性引用文件

下列文件对于本文件的应用是必不可少的。凡是注日期的引用文件.仅注日期的版本适用于本文 件。凡是不注日期的引用文件.其最新版本(包括所有的修改单)适用于本文件。

GB 50183 -2( M )4石油天然气工程设计防火规范

SY∕T(51I. 1 -2(110石油储罐附件 第1部分:呼吸阀

SY/T 6517 2(11(1石油设施储罐过筮充装的防护(APIRP 235() 20H5. Mor))

APl Sld 521泄压和减压系统指南

APl Std 65∏s2007 焊接的钢制储油罐

APl Std 25液化石油气(LPG)装置的设计和建造 .

EN 13616液体石油燃料用固定鯉的防溢出设备

EN 14015在室温及高于室温F液体储存用平底、立式、圆住形、现场建造的地面上可焊钢攏 的设计和制造规范

3术语和定义

下列术语和定义适用于本文件。

3. 1
积聚值 accumulation

当排气阀门是安全泄压阀时•储罐内压力超过其最大允许T作斥力的增加值(用压力单位或允许 的最大I?作压力的百分比来表示)。最大允许枳聚偵一般由运行和火灾应急涉及的规范来确定。

3,2
整定压力 adjusted Set PreSSUre

在测试架上校正的泄压阀打开的入口静压力。参见幵启压力(见3, 12)。整'定压力等于直接安装 在管线终端设施上的开启压力’包含了叠加回压的校正。

3.3
紧急通风 emergency Venting

当储推外部或内部出现异常情况时,如内部加热盘管破裂或外部的火灾时所需要的呼吸。

3.4
正常通风 normal Venting

由于运行和大气环境变化而需求的呼吸。

超压 OverPreSSUre

当阀门泄斥时,阀门人口压力增加到超过开启斥力.用压力单位或开启压力的百分比来表示。在 阀门设定为允许的最大工作压力井U AH管线压力损失为H时.超压值和积聚偵是等僧的

3.6

呼吸阀 Pv valve

一伸亟力加载、导阀操作或弹簧加赦阀,用于泄放储罐的超压或真空。

3.7

额定泄放能力 rated relieving CaPaCity

设计压力或真•空状态下.泄压装置的流通能奴

3.8

泄放装置 relief device

用于•泄放在储嘛中建立的压力或其空的装置0

3.9

泄放压力 relieving PreSSUre

当流体在要求泄放能力流动时.在泄放装置人口的压力C

3. 10

额定流通能力 required flow CaPaCiIy

在极端的操作条件或紧急状态下.为防止过度的压力或直空•泄压装置所要求的流呈。

3.Il

标准立方英尺每小时 Standard CUbiC feet Per hour SCFll

在温度 15. (∕C' (6DtF),绝对压力是IO1.3kPa (H, 7PSi)条件F∙空气或气体(自由空气或 白由4体> 的体枳流垦的美国常用单位友示为立方英尺毎小时。

3. 12

开启压力 Set PreSSIIre

在使用条件下.JftJk装置设定开始打开时的入口表压。

3. 13

热吸入 thermal inbreathing

气候条件变化(如气温降低)导致雄内挥发气减少或冷凝.汽体或密封气体进入罐内,

& 1

热呼出 thermal out-breathing

气候条件变化(如气温升高)导致罐内挥发气膨胀或雄内液体挥发,挥发气呼出罐外,

3. 15

浸润面积 Wetted area

碟体内部接触液体.外部虻受到火焰加热的表面面积Q

4超压或真空产生的原因

I 总则

确定罐内超压或真空产生的原因至少应考虑r列情况:

a液体进、出储雄。

I))由于天气变化(如压力或温度的变化)导致的储罐呼吸"

C)接触火焰。

Cl)由于设备故障和操作错误导致的其他情况。

2液体进、岀储罐

液体流出储標可能形成苴空。液体流人储罐或汽化(汽化包含因液体的流入而引起的输入液体的 闪蒸)都会引起超压。当在储椎内压力条件卜'・输入液体接近或制出其沸点时.流入液体闪蒸可能会 非常明显。

4.3天气变化

由于气温降低或其他火气变化.如风,雨、’4等.会使挥发气收缩或冷凝形成其空,巾于气温丄: 升或天气变化而产生的膨胀和汽化可以形成韻压•具体计算方法参见第5章。

4<4接触火焰

当储織从外部火焰吸收热可肘.蒸气膨胀和液体的挥发会形成超JL,具体计算方法参见53

4.5其他情况

4.5.1 气压传输超压

利用气体压力从其他容器、攜乍和槽W将液体传输到接收縦.在传输结束时可能由于气体的突迎 而发生压力冲击C由于接收罐中已有斥〃和顶部气相空间.額外气体流⅛i足够产生超屋。

4.5,2情性气体充填和吹扫

惰性气体充填和吹扫能够为储罐内的混合气体空问提供保护.维持储罐内气休不可燃.降低从储 雄内放空的可燃蒸气水平。惰性气体允墳和吹扫系统通常设有一个供气调节阀和一个回压调节阀・将 储罐内部压力保持在很窄的操作范围内。供气调节阀的故障可导致T体不受限制地流入储罐,因而造 成储罐超床,或者导致气体流量降低或完全损失。凹压调节阀错误的关闭可能导致出口堵塞造成超 压。如果回压调节阀连接到一个蒸气冋收系统.其错误打开可能引起真空。

4. 5.3异常热传递

蒸气、热水和热油是常用的保持储琲较髙温度的热媒。如果储罐进料控制阀、温度传感器或控制 系统出现故障、将会导致储罐输入热萤増加。储罐内储存液体汽化将导致储罐超压。

加热包含有两相液体的储維时.应避免较低相液体加热到其密度低「在其上方液体密度而快速 汽化。

对于使用冷却夹套或盘管的储建.应考虑冷却液流量损失导致的液体挥发。

4.5.4换热装置内部故障

储罐内部的加热或冷却装置故障会使装置中使HIW)Jn热或冷却剂与罐储物料接触.造成超压成 真空。

4.5.5集气处理系统

如果从储罐释放出来的蒸气由集气处理系统进行处理.此系统的故障包括:因管线问题(液体段 塞和固体堆枳)引起的回压:其他设备排放或泄放至集气管:由于设备故障造也的堵塞。

4.5.6公用设施故障

局部和「厂范围内的电源和公共设施故障可能会导致超压或直空。停电将影响所有的电劫阀门或

控制2R 也可能停止仪表风的供应・也可能造成加热和冷却流体的损失。

4. 5.7输入储罐液流的温度变化

巾于冷却功能的缺失或热输人升高而引起的储罐输入流体温度变化•可能导致储罐超压。低温输 人流体能够异致气体冷凝和收缩.从Im产,I •:真空。

4.5.8化学反应

菜此储*的物料町能介入化学.会产生热量或挥发在某些情况中.诃能形成泡沫,引起 气液两相排放=

4.5.9液体过量充装

冇关液体过地•充装保护见SY/T 6517 2010. API Sld 25 3EN 13616 =

4. 5. 10控制阀故障

应号虑控制阀故障的结果,以确定巾于质量或能危不平衡引起的压力或眞空C控制阀故障也能导 致向储雄供应液体的加圧容器内的液位降低至容器出丨】之下导致高压蒸气进入储踊(参见4.5. I)

4∙5. Jl蒸气溢岀

如果未保温储攏填充冇蒸气•由于环境冷却而引起的冷凝速率能够超过本标准中规定的呼吸量。 通常需要采取措施、例如増大呼吸世(打开人孔)、控制储雄冷却速率或添加非冷凝气体.如空气或 皈气,来防止形成过度内部貞空。

4. 5. 12未保温热储罐

企暴风雨条件下.帯冇极热蒸气空间的未保温備罐能超出本标准中的吸热要求。蒸气收缩可能 导致泣度贝空。建议对茎气空间温度超出,X∙9°(I2UT)的加热、未保温储罐进行匸程分析。

.513内部爆炸/爆燃

储雄内物料可能点燃・产生内部爆燃.爆燃产生的扭斥快速扩展超出某些呼吸装置的处理能力。 关丁•爆炸呼吸,参见、FPA 68EN 13237。关于惰性化,参见附录C

4.5. 14不同成分产品的混合

巾于上游处理装首反賞成人为带误,将比储辭屮正常储存产品挥发性更强介质引入到储嘛中."I 能导致超压M

S呼吸要求的确定

5.1总则

应根据第4章确定的引起超压或真窄的任何原因的呼吸要求进行墳化.为泄圧装置•或其他合适方 式保护装tS的尺寸设计建立依据。本标准对于以下经常遇到的情况提供详细的计算指导:

温储娜最大流岀而引起的正常吸入(液体传输效应)。

1>蒸气空间温度的最大降低导玫蒸气发生收缩或冷凝.从而引起正常吸入(热效应L

C)储織最大液体流入量和此类流入导致的最大汽化.从而引起正常呼出(液体传输效应),

<h 蒸/空间最大温升导致膨胀和汽化・从而引起正常呼出(刑效应)。

C)暴露在火源中引起的紧急通风。

当确定呼吸要求时.应将最严重单个应急要求或任何合理和可能应急情况的组合作为设计依据, 作为最低要求.在确定总正常吸入或呼出时・应考虑止常通风的液体传输效应和热效应的组合。

除了低温储罐.通用惯例是在确定呼吸要求时.只若虑总正常吸入•而丄5描述的其他情况吸入 载荷通常视为非正常吸入。由于热吸人是严•重而短暂的条件・因此将这个方法视为一个合理方法

対于总呼出量,考虑在丄5中描述的方案.并确定这些方法是否与止:常呼出流员保持-致.

5.2正常呼岀和正常吸入的最大流棗计算

5.2.1概述

本方法是依据工程计耸给出的。参见附录D.查看计算方法是依据哪些假定条件。如果想要更详 细理解此模型.参见参君文献口刃 和[2时。

附荥E中给出计算正常呼出和正常吸人计算的…-神变通方法。木变通方法可以用于满是附录E 中规定的边界条件的储罐或装置。

应记录使用的计算方法。

本标准中的吸入和呼出是指在正常或标准条件下的空气吸入和呼出。使用符应将加热(保温)或 加斥至大于6. 9kPa (1 PSi)的储應吸入和呼出条件校正为正常或标准条件。

S∙2∙2液体填充和排出量

5∙2.2.1 呼出

应按以下方法确定呼岀量;

a)呼岀体积流量化广以国际单位立方米每小时的空气表示・对T介质储存温度低f 4(It或葵 气压力低于5-OkPa.应按公K <1)进行计算:

式中;

VPf-~最大体积填充速率.单位为立方米每小时

呼出体积流W V叩以立方英尺每小时的空气表示•对F产品储存温度低干1{)4°F或蒸气压力低于 (L73psi,应按公式 ⑵ 进行计算:

V,ηι = 8, ∣∣2V1,          .......................................... <2

式中单位为美国加仑每分钟gM min)

b)对于包含更强挥发性成分或溶解性气体的产品(例如含冇甲烷的Gilfl).行闪点计算和 相应地提高呼岀呼吸要求。

C)对于储存温度⅛T4<rC ( 104T)或蒸气尔力大于5. OkPa f∏. 73psi)产品,因其蒸发速率• 应提高呼出量。

5∙2∙2.2 吸入

吸入邮吸翌求应为根据公式<3计算岀的储繼规定最大液体排放无力。

Vψ = Vj,l .............................................

式中:

Vψ 吸入呼吸要求・单位为立方米每小时(π√zh)l

VIR-----最大液体排放速率・单位为立:方米每小吋(m' / h»

根据公式4计算吸入呼吸要求总,•以立方英R每小时的空气表示:

VIP = K.02VH .......................................... (J)

式中虬为最大体枳排出速率.中位为加仑毎分钟(galzmin)s

5.2.3热呼岀和吸入

&慮巾于大气加热或冷却储衅外必和雄顶弓I起的热呼出和吸人.

根据公式5>计算热呼出(即加热最大热流体流矣)/仃.以立方米每小时的空气表示:

仍”二 V    ∙ R ....................................... 5)

式中:

Y- 纬度因子(参见表1),

VIk • 一储罐容积.单位为立万米(");

R. 保温的折减系数。如果木保温,采JHR=L如果为部分保温,采用R = R1111. Γ参见公式

10];如果为完全保温.采用R = R"参见公式(9)]o

根据公式6)计算热呼出(即加処最大热流体流量)VOr-以标准立方英尺每小时的空气表示:

VoT = 1.5Iy V,* R .................................... (6>

式中I、单位为立方英尺f「)。

公式5>和公式6的纬按〉’因子口【在占1中告找。

1各种纬度Y因子

纬度

、,因子

< 42"

H. 32

42'~5

(I. 25

√-5S∙

__

5.2.3.3热吸入

根据公式7) II fTft冷却过程中的最大热流体流量Vπ, W标准立方米每小时的空气表示;

Vll = C ・ VT ・ R ....................................... (7)

式中:

(、 取决于蒸气圧力、平均存储温度和纬度的一个因子(参见表2>;

Vlk-  6*應容积、单位为立方米m')

根据公式<x>计算在冷却过程中的最大热流体流 VlI .以标准立方英尺句小时的空气表示:

V)I = 3. nxVtk ∙R ........................ (8

式中I、的单位为立方英尺Z)O

2 C因子

纬度

各种条件T(NT

\压

乙焼成类似成分

高价乙烷或未知

平均存储温度

<25

⅛25

• .25

>25

<.42i

4                ,

I               6. S

6. S

6. ɔ

42V-5S;

3

5

L ɔ

5

>58r

2. 5

4

4

4

5, 2,4 带保温储罐折减系数

加热(热呼出)或冷却〈热吸入)的热流体流嵬W以通过保温措施进行折减,取决于保温材料性 能和厚度.

技公式(9)计算完全保温储雄的折减系K RIIl J

式中:

h--内部传热系数.单位为瓦特每平方米绝对温度[W/ (nFK

注:典型储標通常假定内部传热系数为4 W (∏√ ∙ K) [0.7B(U (hh:・T)]-

ZUIi-保温壁厚•单位为米E):

λιr.——保温的导热系数.单位为瓦特每平方米绝对温度[W' (r√∙K)L

例如,对于保温厚度∕lh = Im .保温异热系数λu. = 0.05 W (m∙K),传热系数%等于 4W/ Cm2 * K).折减系数Rn = U.11,因此.保温储罐的热呼出是未保温储罐的n∙ll倍。

通过公式I。)计算部分保温储罐的折减系数R

A                Δ

R =二ɪ ・ R + ( 1 - ʌɪ)

(H))


A          1 ' IFS 'I Λ f

T I I、                   * l s

式中:

ArrS- 储罐总的表面积(罐壳和雄顶).单位为平方米(平方英尺)[t√(苻)]; AW ——储瓏的保温表面积.单位为平方米(平方英尺)[m (ft

5.3遭受火灾危险的储罐紧急通风要求 5.3.1 概述

.当储罐遭受火灾时,呼吸速率可能超出正常呼出速率。

5. 3.2顶一壳连接薄弱的储罐

顶 壳连接薄弱的固定顶储罐I •例如l⅛ APl Std 65U的规定,標顶对曄壳连接焊縫会在储維其 他焊缝之前出现失效,应在正常通风能力不足时泄放多余爪力。对于按这些规范建造的储罐,不需要 号虑紧急曲Ml的額外要求:伊是.为r防止面连接接头发生故障・可能需要设置额外紧急通风。应保 证项 克弱连接满足现有要求・尤其直径小于5m5Oft)的储錦•

5.3.3  (无顶一壳连接薄弱储罐的)消防要求

(Tl)

式中:

Q  ∙⅛⅛S在火源中的热输人.R∙体数值表3中绐出,单位为瓦待W)

F ⅛9∙的环境因子(给出的数值可能只专虑•个环境因子),

L -住泄放压力和温度时.储存液体发生汽化产生的潜热.单位为焦耳每千克<J'kg);

7'- 泄放蒸气的绝对温度.单位为开尔文(K)∙通常假定泄放蒸气温度对应在泄放压力时存储 流体的沸ΛlΛ

M- 蒸气的相对分子质虽U

利用公式<12in⅛⅛∕L火源中储撻的要求放空能力J.以美国常用单位坏准立方英尺每小时 空气表示:


式中:

Q 姑露在火源中的热输入.具体数值如表4中所小.单位为英国热单位每小时HE/h);

F -⅛9中给岀的环境因f (给岀的数值可能只挣虐一个环境因子):

L -在泄放怀为和温度时•储存液体发生汽化产生潜热.单位为英国热单位每磅0U Ib):

T ••泄放蒸气的绝対温度.单仿为开尔文K.通常假定泄放蒸气温度对应在泄放条件时储罐 内存储流体的沸点:

M- 蒸气的相对分子质IiL

3以国际单位表示的热输入。

浸湖表Imiz

__ _  M______

设计Hr

__   —    kPa (表压>

热输人Q

W

< IW

≤1∣∣3. 4

—31 F)IU-

-•IS. 6 和・ M

r J(3 4

2242fHKAfus,' S

*3 ¾<2<>t

^Il<3. 4

G3M(HLAlW

>7 K1≤K3. 4

452iM∣.Atw.∙, λ-

_ _ __ _ _ 一 _ _

-⅛26l)

≤-7

4IM7no

J 以美国常用单位表示的热输入Q

浸润表面枳AiuS

If

设计压力

I)Sl

热输入Q

Btu/ h

<2<u

≤15

2( W)Al

≥200 <10(10

M15

1903IM)ArW, E

^ImK) π<2Wu

≤15

υh.U κL4,wsi' ”、

二洒U

.-•1 HIMl5

215)1WI w、‘Z

>28()IJ

Vl

4<υθK)()

S.3∙3∙3当流体特性与乙焼特性相似时.可根据表5或表6磷定要求的呼吸能力。

公式W)的总热吸收热量Q.以英国热単位每小时表小。表X和公式14中的常量11"7是 利用乙烷气化潜热(在大气压力下等于1 4BIU1b)∙乙烷的相对分子质虽(86. 17)和假定蒸7温度 为"F,从公式12)和图F.1中推导出来的。此方法结果可以适用亍具有相似特性的多种流体 (参见附录F)O

5以国际单位表示的呼吸能力

浸润表面积Λ1∙w√∙

m^

设计压力 kPaJQ

要求呼吸能Λ

m' h

<26∏

<103.4

参虬表 7  5.3.3. 4

5≥26(>

≤7

IVOlo (参见 5, 3.3. 4 J

^260

>7 fll≤iα3. 4

利用公式(13'

n储綴或存储容器的浸润而和按以F方法计題:

——对下球形或椭球形储瓏.複阔而积等T总表血机的55%,或地坪υ. UmI的表面枳,以较大者为准. 对于卧式储雄.浸润面积等于总表面积的75 %或地坪9. Uni.Ii的表而积.以较大者为淮O

-对于立式储罐•浸润面枳等干地坪土 I4mL垂口外売的总占面积,材于设置在地面上的B式储誰. 浸润面枳不包含底板面积.M于殳撑任地坪以上的立式储破.应将底而积部分作为増•加的浸润面积,底 部与火焰接触的部分取决丁•储鎌直径和在地坪以r.的标高“在判定与火源桜触的部分时、应利用「程 判断。

“利用公式E3)计算放空要求以标准立方*何小时空气展示,公式< 13 >根据总吸热呈Q等于 432M.∙∙膈衅“、匚 以瓦特&示「参见公式<F.7)J:

v=2o∏. IF ∙ Λns"s2      ............................................. M3>

式中:

F 一表^中给出的环境闵子(可能只考虑,个环境因子的作用);

Aw-一浸润面积,律位为平方米

5∙3∙3∙ J由表"或表X确定的总呼吸速率可以乘以从表9中选抒的合适的环境因子F可以只考虑 一个环境因子的作用。

6以美国常用单位表示的呼吸能力

没润太•而fH Λ W.s, __Ir__

设计压JJ

..

变求呼吸能〃

_____________________JCJi_______

28(∏)

___

MI S

参见表 X fll 5.3.3. 4

■..!

742000 (参见 5. 3. 5. 4>

I fi5

利用公式∩4)''

1储鑼或'存储容器的浸润而积应按以卜方法H

F球形或林天形飴靈,浸润面积等「总表面积的“%或地怦Wn以上的表面积.以较大者为准.

讨了卧式晚润面积等于总表面积的75%或他比.Mlf(I的&血枳・以较大■为准。

<1 T ⅛式储辨.学润面积等于地坪北ft以上垂直外见的总太面¥4对「设置在地而I的立犬储瓏•浸 润血积不包命底板而积 对于支撑在地坪以上的立式储罐,应将底面枳部分作为増加的浸润血积c依部 与火墙接触的部分取决于储■直径和在地坪以上的标高。在判定与火源搂触的部分时,时利用1.程

'利川公式()4if弃放空发求以坏准立方英尺每小时空气表示,公式14根据总吸热域Q筈丁 21∣∣nU.w√∙sj.以英网热单位每小肘表示[参见公式(F.8>]t

<∕≈ 1107F Λms"H2       ............................................. El)

式中:

F 技 '> 中给岀的环境拘子(可能只考虑一个环境Iq子的5);

AE  浸润而积.以平方英尺竺戈R_______________________________

7暴露在火源中要求的紧急放空与浸润表面积之间的关系(以国际单位表示)

浚润m∙ m2

要求呼吸 nrVh

浸润表面枳、 πι2

妝:求呼吸

JTI ` ,∙' b

ɔ

J

608

IJ

6217

ɔ

913

2S

66K4

4

1217

3>

741 I

5

1521

35

κυs6

6

1825               •

K 721

7

213“

45

9322

S

2434

W

989S

υ

275S               •

I

1f)071

I I

3347

70

1 1971

13

W苗         I

W

1291 I

15

45f>3

IABnI

17

5I72

I IO

IcUE

IO

57W

130

15751

IH

表7(续)

浸润表面积

nr

要求呼吸

n√ /h

浸润表而积

τn2

¾求呼吸

mi / h

150

IGsŋ

23<ι

Γ>lo2

175

17416

26∏

vυκ

3

18220

>26(l

注:本表和公式〔13)中的潸量2Q&2是利用乙烷气化潜热(在大代压力下等十33"mj kg)∙乙烷的相对分 子质縫86. 17)和暇定蒸气温度为15.61,从公式<11和图El中推导岀来的、此&法结果可以话用 _____下—冇相似F性的多种流体(参见附录F)__________________________________

H储籍或律储容器的浸润面积应枝以下方法计算:

—-对于球形或桶球形储虢,浸润血积等于总表面积的55%或地坪9. 14m以上的表面枳,以较大舌为淮:

… 对于卧式储罐、浸泅而积等干总反而积的75%或地坪9_14m以上的表面积,以较大者为准。

对于立式储確.浸润面枳等十地坪9, 14m上垂直外壳的总表面积。对于设置在地血I•.的B式储標,浸 润而积不包念底板面枳。对于支撑在地坪以上的立式储罐,应料底面积部分作为增加的浸润面枳.底部 I j火焰接触的部分取决于備罐直径和在地坪以上的标高,在判定与火源接触的部分时.应利用「程 判断,

,'时于浸润表面枳太干26∏m2的参见表5,

8暴露在火源中要求的紧急放空与浸润表面积之间的关系(以美国常用单位表示)

浸润表而枳’

Fr

要求呼吸 ftl∕h

浸润表面积’ ft2

要求Uf

3. h

20

21100

25(}

239000

30

316W)

30( F

2g5()∏()

4(F

42InO

35

2KXIHHI

50

5275)

40(

3121KH)

(Ml

63200

5iHf

>54(J00

711

737DO

600

3920(Hl

Xn

84200

700

42K(HK)

OO

94X(U)

&)()

4(2oon

I(I(I

lf>5<∣∣H>

9<H

4υ3<MI(]

120

126(10(»

1∙(H)

324M)(I

141)

1470()0

1200

5571HHI

16(»

16S<∣∣I(I

14U(I

S" HMl

IXII

VHK)(JI)

16Oh

()1 41HHl

ɔʊo

21Iooo

ISGn

• JIHM I

U

8 (续)

浸润农面积“

Il-

宴求呼吸

1(' Il

浸涧表面枳

一        W

-ɪ-^^ -                                                        - - -                        — ~

要求呼吸

fɪ' h

JiltI(I

(√h2<ι∣∣o

JS(K)

742IU Hl

24ιo

7"4出心

>28h

- ——------- 一 ---

注:本我祐公式(I 中的常虽IIW杲利用乙焼气化潜热(7FX气压.力F⅜T 144BtU Ib).乙烷的相对■分子 质址fK6. 17>和假定很气温匱为仙°F.从公式< 12)和图F.I中推导出来的.此方法结果M以這用于具 有相似特性的多种流休 < 参见附录FL____

•■ Iifi統或存储容芻的浸润而§ g按以下hXini

/于球形或桐球形储雄,程润面枳等于总表血积的55%或地坪3iH( IU上的表而和'•以较大者为准。

" 祖、式储 ,浸润面积等「•总U而积的75 %或地坪 M I •的表血积・以较大者为准=

甘丁立Λ崎墀.浸润面枳等于地坪3“ h1 :垂f i外壳的总表面积.同于设置ħ∙地面上的立代储鍋• '浸 ITH血枳不(ιi⅛⅛板而枳。对于支捽在地坪以上的立式储瓏,应将底面积部分作为增加的浸润面积C底部 1J火焰接触的部分取决T储罐宜徉和在地坪以上的标高 > 在判定S火源接触的部分时•应利用工程 判飢

”对丁浸涧表面枳大T 2KO0R?的参见发処

9非低温地上储罐环境因子

備琲设H配置

保温导热性

保温厚度

F'~系数

W, Uir , 2

BIU Z < h ♦ Fr , °F)

TrTI

itι

裸金强储辨

• •

•—

tj

0

Lo

保―”

22. 7

4n

2. 5

I

If. 3,

I I. 4

2.0

5. 1

■> h≡

(I. 5h

5. 7

1.()

HJ. 2

4

II. O75h

Λ.8

11. 67

15.2

u.(J51,

2. X

5

2∏. 3

S

(IJv

2,3

0. 4

2=i. 4

H)

Ii. “3"

" :

< L 53

30. 5

12

U.o25h

混艇土储皤或耐火馅練

喷山设施'

I O

降爪和放空设施•

.

-

1(I

地卜储肆

H

地艸以丄痕土存储

M 03

迎离馅繞的1故存液池'

n. 5         '

』保温况貫能够抵抗消防设备清除、应为4川燃型,在达flS37.SV (IIMM)V)温度时,不再发牛分解.使用者负责 飾认保湍层呈否能抵抗现有消防设备清除,如果保温层无法满足近些标准.不必亏虑保温作川。导热侑是根据厚 度热*系数为,八V (H ∙K) /cm [4B(M (h∙*∙'F) in]的保温材料进行计集的,他用者魚责确定使用保温 材料的实际导热偵 山引塩保守热导率为')W(的∙ K) Cnl μ⅛u (K ∙ fr MF) "

9 (续)

,∙当根据ISO 2Λ251假定的条件.使用熱输入(K 062IMlW ∏r [2 UMM)BtU        时.这些FW f是根据所

示的热导值和一个温度差 SS7 υK (Ib(H)T)确定,卅实际情况偏离.这些条仲时,应利卅K程判断.选 择不同F因子或提供其他保护方法,对拝朝在火源中的佛破提供保护,

注:对于此条现定・APl StCl 521 ⅛ ISO 23251 Cffi同的:

'利用F闵于确定保温材料汽歧导热值,

“在理想.条件下・殺盖由金柘喪面的水膜能踱吸收大部分意外师射热•使用水的稳定性取决于多个囚察,站泳 犬气、大风、堵塞系统、供水供稳定和饬雄表血不件可能阻碍形成均匀水膜海.盗,由丁•这些不确定性∙ ⅛iZ 爪能能环境伽子进行折祈,Hl是.如前所述,水的合理利用W能是非常有效的。

•再以使出降压装査.但是在设定与火源疼触时興求的放空装KK I时.不允许费虑降圧的作用.

'应満足以下条件:

从储縦到爭故-液池应潔置至少I5m5Oft)长不小T∙ I %的斜坡.

爭故存液池(X域应具侨不小干β大储城的排放能力.

眞他储城至其步故存液池区域措冰系统銭路不得严重暴南该储撻

——该储罐的小故存液池以及其他储雄的$故仔液池(无论近印离或环绕其他储城隔堤〉W进行定位・Ii样 当事故样液池填充至貝徉姑时,其液位与储締的距离不小T5mM),

5.3.3.5可以考瞟安装用于正常通风的装置的呼吸能丿丿的作川.原因是当暴露在火源中时.正常热 效应可以忽略> 同样.町以假定.当暴露在火源中时.无液休流入储罐。

53.3.6如果正常通风装置不貝备足够的呼吸能力.应按6, 2的规定设置额外紧急通风装置・这样 保证总呼吸能力至少等于表5或表G或公式ID或公式要求的呼吸能力:

5.3.3.7总呼吸能力应根据K 2给出的压力进行计算C

6呼吸措施

6. 1正常通风

6.1.1 总则

压力和直空iE常通风应由一个安全阀 呼吸阀或一个汗式呼吸口完成“

以下情况应安装阻火装时以防止火焰从储就外部传入到常压储撻中:

•饴存液体具冇较低闪点•即低干(14oT)或根据适川规定确定的闪点・以较高者 为准,

―-储罐温度可能超过闪点。

——储罐诃能包含其他可燃蒸气空间。

关于诃能舍A可燃气体的储谖(如原油雄、污油暁及污水沉降罐)的设计符虑因素.参也第7章 和GB 5(1183 -2004(>.4. 4和,.X的规定 <,关于呼吸装置的类塑和操作待性参见附录GC

6.1.2呼吸/安全阀

为了避免发生产品损失・建议在常压储掰上使用呼吸,安全阀’

6. 1.3开式呼吸口

如果按6. 1. 1的规定,对丁”能包含可燃蒸气空间的储雄迷择升式呼吸【丨・应使用阻火装置。不 带阻火装置的开式呼吸口可以用于不包含可燃燕气空间的储值C

如聖是稠油储罐.例如•低渗透率的沥青.黏附阀盘或阻火装置的堵塞引起储罐瘪罐危险大于火 始传人到储罐内的诃能性、作为6. 13要求的一个例外情况可以使用开式呼吸口 .或加热n平吸口以保 证蒸气温度保持在:露点之1.0

在对逸出頌本有严格/定的区域.可能不允许使用幵式呼吸口・而巳呼吸装置的选择应考虑在储 罐正常运行期间的最大排•放要求V

6. 2紧急通风

紧急通风可以逋过以下形式完成:

a 比,.1.2 filfχ 1.3中限定使用的史大型或附加呼吸管。

b 大坚或额外的呼吸阀。

C)在内部压力异常的情况下.允许量油口的盖打开<

d)企内部Γk∕∕⅛⅛的■况下,人孔盖打开。

C)號体顶壳薄弱迁接(见5.3,2)

D Ll被证明能达到泄I的的其他结构形式。

7可能存在可燃气体的储罐

7. 1 概述

由「•釆用的丨艺和操作条件不同.佶罐内蒸气空间可能是可燃的α在可燃区域的蒸气空间的点燃 可能导致罐顶破坏或容量损失.点火源包含但不限T Ftl 丁充装时产品溅出或不合理液血測址而引起 的備碰内飾电、储歸内表面的自燃物、储罐外的动火作业、储撫暴露在火源中或由于雷电引起的通过 償縦卄I」或呼吸口的火焰传播,应考虑储嶙内部存在可燃气体的可能性・并确定防护装置是否满足 要求C

如果需要设置爆炸呼吸,参见4.5.13

7.2 防爆设计

应确定采取有效防护方法来防止储罐蒸气空间内部爆燃。以下为典型防护方法:

;,)储緒选择.不同类型储纔设计能够降低或消除可燃气体的形成。例如:浮顶储罐或完全一底空

i>m釆用惰性y体保护。

C)应在呼吸阀人口处设置阻火器。阻火器的设置应综合考虑管线配置、操作压力和温度、我气 浓度、阳火器材料和爆炸气体分类HA, IlB等)。

7.3呼吸阀阻火器的检查维护

! a应定期检白嘛顶呼吸/安全阀、阻火器等的完好情况.呼吸是否正常,保i止畅通有效。

; b>储疏管理部门宜每俳组织Xj織顶呼吸/安全阀等进行•次校照。

8 泄放装置规格

8.1尺寸确定依据

圧丿J真空泄放笑置包含开式呼吸曰,应适合满足最严重单个意外事件或任何意外事件的任何合 理和町能组合的呼吸要求(参见4. 55. I)O

Il

当评估4. 5给出的超圧方案时,应确定是否应利用正常呼出池放装置或紧急通风装置处置泄放苑 荷。如果紧急通风是通过弱應顶或无法无新关闭的泄放装置(例如爆炸片或吹打阀)实现时.这-点 非常重要。

在确定真空泄放装置的尺寸肘.不得考虑惰性化系统的作用。

入口和出口液压元件可能会影响泄放装置尺寸的确定,装置尺寸可能为•个送代设计过程一 在附录H中给出了对尺寸确定公式依据的解释。

8.2压力和真空设定

8.21开启压力和泄放压力应与储嫌设计和制造标准要求相•致、在正常和紧急条件下.泄放装首 应具备足够流量能力,防止压力(Jft空)超出储繪设计规范的限制值。

8.2.2储罐设计人员、设定呼吸装置的人员和呼吸装置制造商⅛jtf∏Hl ⅛沟通.以保i正呼吸装晋額 定流通能力与储睡设计和一致。通常需要将整定压力比储雄的设计压力低,以保也装置的足够流通能 Λo操作压力应低于开启压力.允许岀现由于温度变化以及在储嘛蒸气空间可能影响压力的貫.他因素 而引起的正常压力变动。

当设计呼吸阀的输人或输岀管道工程时.应考虑以下因素对于阀开启压丿J、阀设定其空和流跑的 影响:

a>管子、弯管和安装设备的流动阻力。

b)系统中的可能回压或真空。

8.2.3储罐上的任何斥力控制系统预计运行范闱应按相对于呼吸设貰点、琴虑.以禮免发生无川呼吸 或呼吸阀座泄漏。

8. 2.5 对于API Std 65() 2(X)7的附录F中未包含的APl Std 650的储縦.所选的压力泄放装覧应限 制储嫌内的斥力.防止罐顶过度升起和发生挠曲。罐顶升起和挠曲由罐顶重量确定。内部压力引起的 总力不应超出罐顶和连接件(例如平台和扶手)的重量。例如,对于4.76mrn (A μ.in)的嵌钢罐顶. 压应限制大约350PCl (3. 5mbar;】,IiD1?())<

8∙2∙6如果储罐按E14()15制造,应在不超过在最大允许运行压力(MAWP)下所需呼吸能力的 前提下选择阀的开启压力。

8.2.7通常情况下,真空泄放装置的设定和泄放压力是建立防止损坏储縫的基础L∙应限定在食.空 度不超出储罐设计的真空度的范围内。储罐的直空泄放装置打开压力或真空偵的设定应保证储織内貞 空不超过最大规定流速时的真空度。

8.3设计

应设计斥力或真空泄放装置,以保证在任何关键零件出现故障时,对储雄提供保护。

如果坏境条件导致压力或直空泄放装置姙以打年•则应号虑设置额外防护装置.在呼吸装狂岀现 故障时提供保护。

8.4结构材料

泄放装置和相关管线材料选用成考虐:储應内储存介质的温度和圧力,还应号虑与储存介顷以及泄 放过程中在泄放装置周围的任何物½rtffi容性。

9呼吸装置安装和管理

9.1呼吸装置的安装

a 该装置应直接与蒸气空间相通・不得波储罐内液体封堵=

b 布泄放装置和結罐之间设置的任何1⅛断阙或隔离阀或泄放装置和排放管应进行锁定(或铅 甘).当未安装备川泄压阀.应在常开位置;安装备用泄压阀则应使用多路阀、互锁或铅封 阀和操作程序.遠样隔离--个压丿J真空泄放阀不会使剰余泄放能力降低至要求泄放能力 之下。

Z 应保证入门和出口组件(包含任何截断阀)的尺寸,应号虑泄放条件下的入口压力损失,包 括输入管道'穿人容器吋通过呼吸装置上游使用的任何呼断阀的压降和出入管道的流动损失。

9.2排放管线

排放管絞的设置应符合(冶511183的要求C

a排放管线应引人到一个安全位置。应综合考虑对人员、储誕、管道、设备和结构发生火舌擦 袖的区域.并防止蒸代进入密闭区域。

1>)应定期检隹.防止排放管线损坏。

O应设茂雨帽或排水管防止排气管线积液C

I应防止4淅放条件下.空气循环进入阀体.以防在泄放温度βτ (σC <32OF)时岀现结冰 现象。

O 应防止储罐中的冷凝蒸气发生结冰。

f>当储罐设置在建筑物内部•储罐呼吸装置应排放到建筑物外。

g 如果集管符合本条的其他规定,同一压力等级的一个或多个備嘛的泄放装置排放管线W以 连接至一个共用排方攵集管。应避免可能阻碍泄放装置正常T作的足够回的的液体聚集。如 果回压可能阻碍泄放装置正常匚作,其他放空、排水、排气和泄压装置不得连接至公用排 放史管上“当确定排放集管、泄放装置和补偿不平衡泄压装置尺寸时.应考虑在泄放条件 下注二的回压(参SLISO 23251)O应考虑呼吸阀的势能.以允许排放集管中的流体进入储 SSo系统设计应评估流体的相容性和火焰传播问题(包含需要设置爆炸消除器的诃能性)。

h 应对所冇排放管线进行足够i撑。

9.3开启压力和通气IS

开启压力和通气后试脸执行SY T<5ll. 1-201t Φ 8.5的规定.

9.4呼吸装置的标识、包装和运输

呼吸装咒的标识、包装和运输执行SY T 05 I L 1-201(中第^竜的规定。

Jb

附录 A

(资料性附录)

本标准与APIStd 2000 2009章条对照表

A. 1给岀了本标准与APl Sld 2(HIaJ 2009章条对照去。

A∙ 1 本标准与APl Std 2000: 2009章条对照表

木标准

APl Sui 2(M)Ih 2(H∣υ

第;

2

2

3

3

4

4. 2

5 $

4.3

G

4,4

7 ⅛

4. 5

K

4. G

Y章          _______

4,7

附录。

附杲F

D

附亲e

附录E     

附录Λ

附衆F

B

附录(;

______________附录T ___________

时录H

附衆I

附录B

(资料性附录)

本标准与APlStd 2000 2009技术性差异及其原因

⅛ B. I给岀了木标准 API Std 2(IOIli 2009技术性差异及其原因的一览表。

B∙ 1本标准与APl Std 2000: 2009技术性差异及其原因

木标准的章策塢号

技术性差舁

原因

I

范围由“瓜真空到压力为1,UXbar (15Ib而)运行条件F∙ 对地面石油液体储爆或石油产品储罐和低温地面及地下储後 中挥发气正常和紧急通Ml口的要求"修改为“从真空到压力 为小丁FlMPa运行条件下、对石油勘探汗发、储运过程中 使用的石油液体储⅜⅛呼吸的要求”_______________

根据我国压力容器的定义(N (1.1 MPa).本标准不渉及压力容 器,国内石油行业极少采用低温 储罐

2

部分标准引用我国标准,而非APl标准

以适含我国国情

7 3

增加对呼吸阀阻火器的检査维护的要求

更方便推导实际匚作

9. Λ

幵启压丿J和通气⅞i试豹执行国内已有标准规定.而不采用

APl St(I 2n∏h 2(H)9h貪所述的方法

国内通行做法

9. 4

呼吸装置的标识、包装知运输执行国内已有标准规定,而不 采川API Std 2仆):竺第7章所述的方法__________

国内通行做法

附录C

(资料性附录)

情性气体包覆储罐的回火保护指南

CI概述

本附录中描述「二•种储編惰性气体包粮设计水平等级。所右-•种级别提供相',的回火保护。1级 是最小惰性气体包覆要求,结合有特殊火焰消除器分类:2级具有更严格的惰性气体包懼要求.结合 有不同火焰消除器分类;3级为最高级别情性气体包覆要求.无火焰淸除器。

C 2储雄吸入

由干天气变化引起和储維空置引起的储曬吸人是由情性气体完成。对于惰性气体供给,需要给岀 惰性气体容积流呈的最小Ifis和情性气体反向流量"Lc这些应按5 2中给出正常呼出和吸入的最大 流域计算.集合安全和监控该装置.实现3级分类。为了确定反向情性气体的流吊.应号慮管道系统 中管的相关部分的流量(即达到空气分离装置兀

三个级别情性气体要求流⅛t和体积计算如下:

a)对于1级惰性气体包覆■计算要求流皐:仕[以立方米毎小时为单位时.见公式C. 1

VI [以立方米为单位时.见公式('.2

\* =(). 1(' • V/ +、       ................................. <C. I)

V, =(). M - I、 ....................................C. 2

式中;

C-…•取决于蒸气压力、平均储存温度和纬度(参见&2)的系数:

V止一 •储琏容积;

I」——液体排岀的最大流量。

应监控惰性气体的供给(即测量储罐压力和测i⅛買气法度)。当达到R空放空开启压力Hh MZ触 发报警。在此惰性气体包贋水平.根据1EC6O∏79-Hh f⅛½内侧诃以划分为1区。对于IEC ≡炸組 IIΛ (NECD组)的蒸气应安装已经测试大气爆燃和燃烧持久性的管线末端火焰消除器。

b)对于2级惜性气体包覆水平.计算要求流SVI [以立方米每小时为单位时,见公式C3)]

I。[以立方米为单位肘.见公式

Vs=0. 2('→Y+Vr.     ................................. <C3)

V71 = ∏. IIS • \\          .................................... ((、,4)

1级惰性气体阶段规定的报警应启动切断液体流出:在此情性气体包覆水平•储織内部依据IEC 60079-10 nʃ以划分为2区。对F IEf爆炸组】IA (NKC D组)的蒸气.应安装Li经测试大气爆燃和 燃烧持久性的管线末端火焰消除器。

C)対干3级惜性气体包覆水平.计算耍求流⅛V1 [以立万米每小时为单位时.也公式C. 5)]

19

BIVl [W*Λ米为m位时.见公式(C 6>L

Vl =(L5∙∙ V,!k~ + VrH ................................. (C∙5)

Irl -O-1? I、 .................................... (C.<υ

储罐J∙K∙丿J应保持在火气压力以上•监控系统应冗余设置.惰性气体供绐应保持在储攏压力以丄, 尤其重要的是,tE储罐压力至少等于大气压力时・应达到要求流量。液体流出启闭压力应设定在大气 味力之上°报警应触发在启闭压力(参见图cd.在此惰炸气体包報水平•储锥内部依据IEnm7-io m以四分为2 Kft在此情性气体包覆水平,不需要从储籍外侧到内恻设置额外紡止火焰蔓延的 保护C

--------------------------------------------------------------------------p∙-i"

-----Ps∙gl 1|

P∖ M,M"

A,w∙⅛h

p.

---------------------------------------------------Ph <⅛⅛ 我:

在此点增加⅜l:

切断:

PL I为大气片力.

C. 1惰性气体包覆的启闭压力图

G3共同幡性气体供给

当几个储璃共用一个悟性气体供绐时.惰性气体要求通过求和多个单个流是计算惰性气体要求

•水和各个体积作为

如果配冇共用情性弋体供对儿个储罐进行划分,这样不会有单个储罐的能力超岀所有储罐的总能

力的》必.H TT俏可以降低5()%

在考虑惰性气体传送的总体能力时•应考虑预计正常假定条件。

C 4相互连通的蒸气空间

于储撇呼吸系统・至少有5个储應的蒸气空间互相连通,不必考虑泵出。例如当计食比“时, 可以忽略公式(C. 1 ).公式(C3)和公式((L5)中的订。

C. 5真空呼吸位置

储罐呼吸设置应尽可能靠近储罐的惰性气体连接位置•以使在环境空气迎入储雜位置的氧气浓度 最小。

附录 D

(资料性附录) 正常呼出和正常吸入依据

1).1范围

本附城提供按5"描述计算正常呼出和ιT.常吸A的通用方法时建立的边界条件。此信息从参考文 袱[19] ΦOlJIL

1).2边界条件和假定条件

采用以卜边界条件和假定条件:

a储掃内完全充満K蒸气(在储琏内无液体),

b »向储罐底的热流体流呈(冷却)可以忽略

C)不夸虑储的额外热能力・而不是罐壁额外热能JJ J

CI)假定最小壁F?[按DlN 4119 (听有部分)定义]。

G 假定桃顶的最小傾斜角是5

f根据衅污根靑铜漆数据确定的储嶙散热的排放速率另保守的(& =£、=“. EC

113近似

通常采用近似和假定方法舸决这个复杂问题U

H)储縦罐壁和緒破气体的位肯确定温度场定义为貝:平均温度;

1>传热系数对T温度 的影响可以忽略.阿尔法值视为常 `

C忽略大气压h波动的影响以及呼吸任特定压是奸始释放的事实O

1).4储罐加热假定条件

关干储雄加热的额外待殊假定如下:

a) 储拶只墳允冇空气:

b) 未考虑液体残余.残余液体可以花加热过拜中熨发。

C)在开始时.假定环境、緒繕嶙壁和償罐内产品任15入时处于热平衡状态。

d) 任储織的内部和外部区域发生■由热对流。传热系数等于2W∕ <nrK)O

e 太阳俯射偵开始在预计最大值、并保持在常量、,

f>坏境温度视为常吊.讨刊技人达到最大体枳流虽。

D.5储罐冷却假定条件

关干储疆冷却的额外特殊假定条件如T :

a )储雄只壊允冇卒气,

b)在H始时.假定倘雄内7体、饴罐罐犖在55(时处于热平衡状态•与储罐结构和体积无关。

O 雨水冷却可以立即开始.雨水带有不改变特性。对于确定吸入容积⅛t⅛.假定以下条件:

1)  雨水流量密度:225kg∕ (m; • h;

2)  下雨角度t 30°

3 雨水温度;15°J

4)  传热系数(雨水对环境):I5W∕ (rτrK)O

d) 在储擢内部区域的自由热对流[传热系数(城壁到内侧)等于5W(∏√KJ],在储雄外 部面积发生的膜冷却的热传系数是5<)(()W/ (1√ ∙ K).

e 忽略由于与冷环境温度空气混合引起的向储罐气体平均温度的变化。

附录E

(资料性附录) 正常通风要求的备选计算方法

E.1概述

E. L I本附眾提供可以川于“油储寧正常通风要求的保护系统设计的计算方法。

E∙L2这此呼吸要求是依据可以应川F保存石油或石化流体的典型储罐的特殊边界条件。以卜'边界 条件和假设条件HJ r木附录中的呼吸要求

储絳未保温。

一対于包含挥发性液体的储攤.挥发特性与石油(汽油)类似•输入到储罐的液体温度低于在 储,最大操作压力下的沸点温度ə

……储罐蒸气空间的最大操作温度约为仆'顷G (国)字)。

空气的冷却结果是在蒸气空问的蒸气收缩。

注:对]:包含冷却时可能发川怜凝蒸的储攏.在储龍内流体温度不会变化很快;因此,通过液体蒸发•可以保 持-Fl、:加 在储■内冇很少一或无收装液体时•蒸气冷凝可能会很明显・例如蒸气流出・本附集中给出的 i∙n疗法不适川于蒸气冷凝引起的额外体积变化S

储罐容积低于 3UWH)m' (18(1()1MJbbl)O

E. L3对丁不満足巳1.2中边界条件和假定条件的装置的止常通风要求的保护系统设计.应参见本 标准的主体部分、找到虫适用的规定和建议。

E. 2 经验

E∙2∙l石油储攏发生的储攏故障/损坏(有些由于点空引起)的根木原因涉及以下一个或多个原因, 参见参考文献LlH]:

-在升高温度冷却蒸气⅛Γ∏K即明显高于4S√ΓC (12(T)C

由丁拎却热传递•储罐内蒸7发牛冷凝.例如在蒸气排出操作之后的蒸气冷凝。

限制成阻断空气流动•例如呼吸口被塑料袋堵塞。

E.2.2石油或有化流体储罐的操作经验表明*使用本附录中的指南设计泄压系统吋・由于真空引起 的储罐故障 损坏俱不是因为呼吸不足引起的情况下.下列因素也诃能是促成此项操作经验的原因.

-H油储辟通常不会彳■:完全清空的状态下运行。

总呼吸要求包含液体移动.液体移动对「普通石油储罐可能是非常明显的.可能不会与冷却 条件同时发生。

小型密闭空间可能实际喪现出比这些指南中假定条件更低的热传速率C

越来越多的使由大容垃浮顶储罐0

越来越多地使用配冇额外呼吸补偿措施的气垫系统的固定顶储罐。

J -L述原因.不是反映典型打油储罐的任何设i十不应按木附录进行设计C

E.3 正常通风要求

E.3∙l 概述

E.3.L 1正常通风要求应至少为液体移动和热效应呼吸要求的总和。这些正常通风要求是依据在储 縦正常操作时可能发生的最大预计呼吸以及以下条件确定:

<>)从储罐最大液体流出引起的正常吸入(液体传输效应)。

b蒸气空间最大温度降低导致的蒸气收缩或冷凝引起的正常吸入(热效应)。

C)向储罐内最大液体流入引起正常呼岀和此类流入引起的最大气化(液体传输效应)。

d我气空间最大温度升高导致的膨胀和气化引起的正常呼出(热效应)。

E∙3∙ 1.2尽管在本附录中并未给出其他情况的设计指南,但是应按本标准主体部分进行考虑,

E. 3. 1.3由于液体流入神流出储麾导致吸入和呼出和热效应引起的呼吸要求汇总在表E. 1E. 2中 给岀。4 E. 3. -I. IE. 3.2中讨论了这些要求。

E.1正常通风要求(以国际单位表示)

以空X标准立方米每小时、液体流量立方米毎d、时度量

闪点沸点,

X

吸入

呼出

•液体流动

液体流动

Λ≥.>b

Il MJ

L

1 III

b

沸点^lSo

O. 94

h

1.01

Il

WZf <3κ

<1. 94

h

2.02

b

⅛>S<15(

(I. 94

b

2.h2

b

•可以使用闪点或沸点数据.当的个数据同时存住时•使用闪点,

*参见表E∙3°

E.2 正常通风要求(以美国常用单位表示)

以空气SCFH、液体流量(TH lɪii

闪点、沸点’

V

吸入

呼岀

⅛l⅛

液体流动

Λ≥ιou

5.

b

6

h

.⅛>3*H

5.()

L

6

闪点VUm

5 6

h

- ʃ - ^

12

L

⅛<3∣∣o

5(I

「 」

I.

12

l∙

“可以使用闪点或沸点数据・当两个数据何时存在:时・使用闪点> ',參虬表E.h

≡E∙3 热效应正常通风要求(以国际单位表示)

&嫌容积

吸入

呼岀

1"

2h

3

4j

n?

空气r√% (标况)

~^囚点:37牌或正常沸点2EW

________空飞r√ Ii (标况)________

闪点V37.昨或定常沸点V冲Λ∙ 空气m'/h <标况)

10

\ 69

IJH

1.69

211

35

2. ()2

3.3X

I(M)

16. 9

IO I

16 9

E∙3 (续)

儒罐容机

吸入

呼出

1∙,

2l

3l

4'1

n√

空气m''h(标况)

I          ,浦点

_______空气m' h (标况>_______

闪点V37.   IF商孺点丄149X —

_____空气m—h(标况,_____

2((

33. K

20. 3

3X

3<)(

SU 4

30.4

So. 4

5ul

K4. 5

5<ι.7

S4. 5

7∣ H)

I IS

71. (J

IIH

H)IK)

U)V

UH

1(>9

15∣∣

25

152

254

2(M Kl

Ji G

33X

3(HMl

5<17

3iM

507

4IXU

537

322

537

4(H)O

(Z7

3κκ

(U7

5<M »O

7X7

472

7H7

6<M »0

5

V

7iM Ih

1K>3

61 ŋ

M ∣∣>3

SlKh)

1U77

()46

1077

1JII(K)

IE

6«2

113f>

IOlHMI

1210

72()

12!)

1200()

LU5

Xl 17

1345

140UU

14W)

SSH

1480

IGoOo

1615

WE

1615

IKIMMl

1750

1047

1750

2<hho

1X77

I 126

1X77

25oυo

2179

1307

2179

3( NM It >

2495

1497

24M5

“中间雄容允许使用插值进行伽定,车附录中未包含狭容大于3(HMHn 的償罐「在此列中的数值不是由λ E 4 转换而来的・而是选择接近表E.■;的相关列中数据,放空耍求是利川所芭列进行直接计算而得.

h丈于这些计畀依据的更多信息.参见E 3.3

,妙于库存产品闪点大于或等于37.nT∙呼出要求假定为吸入妾求的60%.关于这些计算依据的信息.E 5. 3

'姑于座律产烏闪点小T- 37. XX .假定呷出耍求等于吸入荽求.允许液体表面彫成气化和储躍瘴R有较大 密度。关于这些计算依据的信息.参见E∙3∙3.,

E∙4 热效应正常通风要求(以美国常用单位表示)

储痛容积

吸入

呼出

Γ∙

2l'

3

4j

hbi

gM

空气SCFH

闪点31()( )°F或正常沸点京3却广卜—'

_______空气SCFH__

闪点V Iw)V或正常沸点M3

______空气SCFH______

Gd

25<H

611

40

6(1

HHl

4 2( Hl

HIO

付)

KlO

5W

211 JOo

Sun

300

500

iOUO

42<H0

— -

IlHHI

6< HI

IOlMJ

2(HH*

84∏UU

2« H Ml

A . 一 亠                          —

,------ "

12(1()

20IMJ

3(團)

__

↑2(>i M H)

3∣hmf

IS(Io

3000

4()1

16Kol Hl

401 M)

241Ml

^OIn)

5(MHI

2HMIOO

50011

MM)

5000

Ion(HI

4201100

I(H)On

61HH)

IlKKill

IFlnn

63( MIIHl

ISOiIII

9IKK)

i soon

2(g)

8 Autm

—- ——            —_

2∣UU HI

2∏υo

201 W)(I

2SM)

|“沁)(心

_________________一 一

24( Mln

IS(U)D

2401IO

3I(XII

126( HM H»

2WM >0

17(Hu)

28(» Ht

35(UIIl

147(HMHl

SKIOII

PJlH MI

Sl(H)Il

4( HH H)

16KoiWlO

34∏O<l

2l(i∏0

Λ4<H IO

450(Ilk

_

IH9 M MIO

37« M H)

23(()l>

37(H MJ

5∏0(H

210( Io(Ml

40( M In

24∏nιι

4I(HHI

61 KWlu

252(H)OO

44001»

27( n Fn

44Im

7( KH In

2940000

4«(Ioo

29(K)O

4X{M

S(KHH)

3361 HM}O

52<K H>

510()0

52

9∏tuιn

378<HHHJ

56(KH)

.U(MMJ

560(Ul

bh HMlh

42(HHMHl

GtitKnl

Λ6< M H>

GnOIK)

12OnoU

5040000

6K(K)0

41000

6X()(J(I

140<Mι}

SHK(H HHl

75{HU

45M)O

75000

1601HIO

672( UKHl

82(M∣∣∣

5<HM IO

8200(}

756(HKH)

91NKH)

54< HIU

OBiM IO

,中间躍容允许使用播值进行确定•本附衆中未包含躍容大于i"()w"储捷。

“关于这些计算依据的更多信息•参见E∙5∙3∙

,•对于库存产品闪点大于或等于HKlTi呼出要求暇定为吸入要求的mR∙关于这些计尊依据的信息■参 见 E 3. 3

d对于库存产品闪点小于113F,假定呼出要求等于吸入要求、允许液体表面形成气化和储雄蒸气具■有较大密 度,关于这些计算依据的信息,参见E.3∙3<j

本标准中的呼出要求为在正常或标准条件下的空气呼出要求。应对在压力大于6∙9kPa (IPsi) 的加热(保温)或加压储罐的呼出要求校正为正常或标准条件下的呼出要求。

E∙3∙L4应指出的是标准条件[15. 6CC (AVF)]的参貯温度与正常条件(32T)]的参考温 度不同。当以不同单位制汇报结果时.包含标准和正常条件的转换。应注意,由于进行了温度转换、 以不同单位制报告的体积流StrIJ能是不同的C

E.3.2 液体流动

E∙3∙2. 1在确定正常通风要求时.应号虑由于液体流动引起的容积变化速率・这些容积变化的主耍 原II为:

液体流入或流! 5诺罐的实际容积排SO

-―挥发性液体进入储罐产生的蒸气。

E.3∙2.2对干由于液体流动引起的实际体积排辱.液体移动容积流量通常是采用泵岀的方法斐得, 用于计算呼吸要求。

应注意.体积变化通常转化为在标准或正常条件下•的当量容积流So W此・当假定操作温度或环 境温度不与标准或正常条件相同•容积流域可能不是一个当星排量。

E.3.2.3对于由于挥发性液体进入储罐引起的蒸气•在计算呼吸要求时•应估算产生的蒸气是。

对于典型石油液体,闪点低于 3&7X. (10(Γh)的液体.可以视为是挥发性的液体。如果无闪点 特性数据.则可以使用大气的沸点。在这种情况下.闪点低于14XI°C (3(}*F)的液体可以视为挥 发性的液体。

对丁典型石油液体.蒸气产生速率可以估算为进入液体的(). 5%。选择,).5%的大约蒸发速率是 依据泵入到…个基本上空的储罐的汽油量。在此阶段.热峰值应为最大值。而且此时热管絞产品的蒸 气闪蒸(例如暴露在阳光下的管线)最关键的.原因是不存在大量吸热,例如满罐时发生的大量吸 热=除此之外.由于基本不存在储罐压力来抑制气化.因此气化会増加,由T⅛½蒸气转化成空气, 选择空气密度的1∙5倍。

如果在超岀储罐操作压力下・输入到储罐的液体温度超出「该沸点.气化速率可能会明显提髙。 例如.在储瓏压力下以().4%速率输入乙烷吋.超出沸点非常微小的n.6K (LII0R).则会发生气化。 E.3.2.4在木附录中未涵盖防止发生满溢的保护装置。

E.3.3 热效应

E∙3.3∙l在确定正常通风要求时.应考虑热效应引起的体积变化。体积变化的主要原因如卜

-环境温度变化,导致与蒸气空间发生热传递。

-内部液体温度变化.导致与蒸气空间发生热传递,

E∙3∙3∙2对干典型石油液体・与蒸气空间发七的传热不会导致蒸气本身发生冷旋.尤其是当蒸气空 间含有大量的非冷凝气体时。在冷却过程中不会出现蒸气冷凝是使用本附录指南的一个天键假设 条件。

E. 3. 33在很多情况下,由干环境条件突然变化引起快速冷却是向储罐蒸气空间传热的一种可控T 况。在最大蒸气空间体积和最大操作温度时,体积变化速率是最大的。在进行此计算时,储罐应视为 空的和在其最大操作温度的情况下。

从储罐内蒸气空间到冷却表面的传热•当雨水为储爆外表面提供足够冷却时,则可视为等温表 面。从蒸气空冋来的传热可以通过自然对流进行分类。传热系数是本计算中的关键变量•恒是却很雉 对其进行?隹确预测•原因是用于建立传热系数的关系式当流体、物理配置和相关比例发生变化时.会 发生明显变化。

蒸气空间的冷却可能只取决于最大传热比率或最大温度变化率。由于传热系数本身貝冇不确定 性•预计两个边界条件使用不会引入任何额外无法接受的不确定性。

63W∕nr [2<^iu∕ (h ∙ (r>]的最大传热系数可以用作一个边界条件。

56K∕h <l(0oR∕h)的最大温度变化系数可以用作一个边界条件。

可用公式(E.1)、公式(E, 2)和公式(E.3〉计算由T热传效应引起的容积流量变化O,

VK-RU ■ dT

(E, 1

(E. 2)

(E. 3)


P dr

■               卩亠.五

•                                             TU dr

V=鱼.h ∙ Ag・△♦'

式中:

〃一在储維蒸气空间的摩尔数:

Rk —-理想气体常虽;

P…一在储罐内的压力,为了实现计算的目的•通常假定为大气压力;

T ••温度;

r——时间;

TL初始温度,暇定为出叭(12(ΓF)4

δt•-一最大温度差.计算为T1, - Tʌ:

1\ —储罐壁温,假定为15. GeC(60V)I

人-一传热系数:

A = X1.---外露表面积;

七-一-在恒定压下-的比热容;

Vlk--储罐容量。

对于小于3IS0nι, (2oαικibbl)的储曄.由于热收缩引起呼吸要求限定在储擢蒸气空间的56K∕h (IonCR/h)最大温度变化。利用初始温度48. 9βC (120V),呼吸要求近似等于空罐容积的. 19m∕h 空气每立方米(IhLzh空气每桶)。

对于大于或等于318(toi (2(KHK)bbl)的储罐.由于热收缩引起的呼吸要求限定在63W∕m-[2。&鄭(h∙K)]热传速率。对于大于或等于318OmK (2noυul>bl)的储罐.表A. 3和表A.4中给 出的呼吸速率是通过首先计算给出最大储罐逬行确定。对于30()0(Jm; (ISO(KMlbbl)的储罐的呼吸速 率.假定表面积为」324n√ (-15(H)IIfr-).传热速率 63W/m? E2(Btu./ (ħ *苻)].初始温度时 恥.9( (1%F)∙空气流体特性为在大气圧力下储罐蒸气空间典型气体。计算呼吸要求近似等干外露 表面积的).61n√∕h空气每平方米(2f(∙∕h空气每平方英尺)。对于最大型储罐.这对应储罐蒸气空 间的最大温度变化 28K∕h (5U°R∕h)o 容的在 3IS(m5 (2<MH)0bbl)3(KMK)m? (IB(M)O(Ibbl)之间储 權的呼吸速率依据两个储罐尺寸设定的呼吸速率估算。

对于容积大于3(0(mn√ (ISU(In(Ibl)I)的特大储容.发生的传热预计比此处给出的简化方法更为 复杂・应参见本标准的主体部分,获得更适合的指导内容。

当进行上表中的计算时,假定外部环境条件是标准条件一-温度是15. 6DC (M)V ).压力是 !01.3kPa (14- 7psi) O

E.3.3.」 对干从环境条件发生的传热.导致在蒸气空间中的温度升高.由于环境空气加热不会很快 发生.预计体积膨胀速率会比收缩速率慢很多。在这种情况下,由于液体温度引起的蒸气空间的温度 升高可能会产生较大影响:但是,只是对于部分填充储堆。除此之外・如果液体为挥发性液体・液体 温度升高能够导致残余液体出现一定气化。

对于非挥发性液体,体积膨胀速率可以估算为由于环境传热引起的体积收缩速率的■)%,对于 非挥发性液体.可以估算为由于环境传热引起的体积收缩速率的1(“)%

在建立以上依据时.呼出要求确定有些保守;但是.考虑到异常气候条件和可能产生比汽油更多 蒸气的产品.具备一定的保守度是有必要的。同样.相对于储罐的总成本,较大型呼吸装输听涉及的 成本较小。如果当液体输入速率比设计速率略高时.这个保守度还能提供•定安全裕度。

E.3.4确定正常通风高度要求

E. 3. 4. 1吸入(真空释放)

E.3. 4.1. 1流出储罐的最大液体流母的呼吸能力要求应等于处于闪点任何液体最大呼吸速率: O. 94n√∕h (标况)空气每立方米(5. 6SCFH空气每桶)。计算时将美国桶直接转换成立方英尺。

E.3.4.f.2对于处于闪点的任何液体的给定碾容热吸•人的呼吸能力要求应至少为表C 3或表C. 4中 的第2列中给出的数值。

对于小于318OTnl (2(MM)Ohbl)的储..该计算是依据初始温度是4K√>V(120V).最大温度变 化是56K∕h (HMlOR∕h)的空储罐.近似等于空罐容积的O. 169mi (标况)∕mλ <1标准立方英尺每 橘)。

对于大于3180m' (2<M0∣∣l)bl)的储罐、该计算是依据利用这些維容的典型储績尺寸的外露表面 的(L 577标准立方米/小时,平方米(2标准立方英尺,,平方英尺)的估算要求。

E∙3,J∙2呼出(压力释放)

E. 3. 4. 2. ɪ闪点大于或等于37∙8C (IOOV)的液体

进入储罐的最大液体移动的呼吸能力要求和闪点大于或等于37. X0C (HMiT)液体气化.或大于 或等P 14«. 9βC (300T)的正常沸点.应等于最大填充速率的1,()1标准立方米/小时/立方米(G标 准立方英尺空气毎桶)。

对于给定彊容的闪点大于或等于37. St (IiHiT)或正常沸点大于或等于148.9t (3∏θT)的液 体.热呼岀放空能力要求(包含热气化).应至少为表E.3或表E.4的第3列给岀的数值。

此计算等于热效应的吸入要求的Wl ⅜ e

E.3.4.2.2闪点小于37. 8°C (IOoT)的液体

进入储罐的最大液体移动的呼吸能力要求和闪点小于37. SV ( 10(ΓF)液体气化.或小于 148.9X (3(K)T)的正常沸点.应等于最大填充速率的2. 02 立方米2. ()2n√∕h (12SCFH空气每 桶)。

对于给定瓏容的闪点小于37. Hf (I(K)V)或正常沸点小于1-18. 9V (30OT)液体,热呼出的呼 吸能力要求.包含热气化.应至少为表E. 3或表E 4的第4列给出的数值。

此计算等于热效应的吸入要求的loo⅝β

引)

附录F (资料性附录) 表7和表8的紧急通风依据

APl RP2(K)∏首版中涵盖的紧急通风要求依据的假定条件是暴露在火源中的一个储罐的浸润面积 以189(IO WZnr [6()(W)BlU/ (h * ft2)]平均速率吸热。最低紧急通风能力假定由一个直径为近似圆形 的自由开口提供,从美国大陆中部原油提炼出的典型直储汽油的蒸偕特性详细分析结果计算出来.利 用了常规孔口公式,孔口系数(L7和蒸气相对密度2’5。所冇储罐紧急诵风能力最大值是174dOn√∕h (64WW)ft'∕h)∙无论储罐是何种规格。此项最大呼吸能力是依据储罐容积大于2780m, (1750Obbl) 计算的。当进行加热时,在储罐产品达到开始快速沸腾温度点需耍非常长的时间.以至于可能像永远 到达不了这一点,即使可以达到.也会为采取必要措施来保护生命和财产安全,提供足够时间。

这是美国消防协会(、FPA)采用的紧急通风依据•并已经成功应用多年“在我们能够确定的范 困内.除了容量非常小的储罐.还没有由于按照此标准进行呼吸而产生呼吸能力不足和超压而引起储 罐故障的记录。

相反,由于未按此标准进行紧急通风.确实发生了几起严重储罐开裂故障。这些储罐开裂将我们 的注意力集中到紧急通风要求上来。许多小型耐火测试证明在理想条件下•可以获得超出 18900W∕m2 :GlMMtBtu/ (h ∙ ft2)]的表面热输人;但是.缺少大型储罐的数据P 19616月.在俄 克拉荷•马州塔尔萨进行火灾演练中,一台尺寸为2.44mX7, 18m (Xhx26fE)in)卧式储罐•配置有 一个紧急通风装置,尺寸限定储罐内部表压约为O,75kPa (3inH"))°测量数据表明:当暴露在火源 中.表压升高至大约IIkPa (44inH√))φ根据这些测试.大家确定.应对紧急通风要求进行重新检 验。作为此项研究结果,建立了暴露在火源中的热输入现有依据。

7和表H的根据是图F.1中显示的复合曲线,当绘制在对数一对数纸上时.该曲线由4个直线 段组成。该曲线可以按以下方法定义。

直线段 1 是从 1. 86m2 ( 20ft-)浸润面积的 1 1724OW (4(KMK)OBtU/h)18. 6π√ (2(M)fr)浸润 面积的1 t724(M>W (4(HMHI(M)Btu/h)之间绘岀。对于此部分曲线.总热输入Ql单位为国际单位瓦特 时.按公式(F.1)计算;单位为美国常用单位英国热单位每小时吋' 按公式(F.2)计算:

Q, =631 5()AIWS         ....................................(F, 1 )

式中ATg是浸润面积,单位为平方米。

Ql = 20OnOAlWS        .................................... (F. 2)

式中是浸润面积.单位为平方米英尺。

直线段 2 是从 18. 6m2 (2nθft2 )浸润面积的 1 172400W (41MK)I)(H)Btu/h)92. 9m2 { H)Ooft2 ) 浸润面积的2 916OnoW (995(K)OoBtLl/h)之间绘出。对于此部分曲线,总热输入Q,单位为国际单 位瓦特时.按公式(F, 3)计算;单位为美国常用单位英国热单位每小时时•按公式(F∙4) itn C

Q2242WArL w       .................................(F. 3)

式中ATwS是浸润面积.单位为平方米。

Q? = IW300Al-WSn5n'        ................................. (F, 4)

式中Ags是浸润面积.单位为平方米英尺。

直线段 3 是从 92, 9m- (KM)Oft- > 浸润面积的 29IWHHJW (9950(MMlBlu∕h)26<)m~ <280(Ift 浸润面积的41297OOW (I-II)9nouoBtυ h>之间绘出。对丁此部分曲线・总热输入Q单位为国际单位 瓦特时.按公式F.5)计算:単位为美国常用单位英国热单位每小时时,按公式F.6)计乳

Q = 63OΨHlAlV%s"            ................................. (F. 5 )

式中/"是浸润面积.单位为平方米。

Q. =9634υn∕Aιws,* v's ................................. (F. G)

式中I、*是浸润面枳.单位为平方米英尺。

对■于设计表压小于或等T 6. 89kIa (Jpsi)的非低温、浸润表面大于26OmJ (28OOft2的储罐. 我们已经得出结论,不可能完全暴露在火源中,由干过热引起的金属强度损失可以在建立最大蒸气放 出速率之前,在蒸气空间产生故障。因此.超出蒸气dIm 41297(HIW <1409(H)(H)Btu∕h)的额外呼吸 能力是无效的.参见图F. I中的说明第5项。

对干所有低温储推(不管设计圧力如何)和设计表斥.超出6. X9kPa ( 1 PSi>的非低温储罐和储存 容器,对于外露表面大于26∏m2 (28Oofr)的額外呼吸是理想的・在这栏储罐条件下,液体通常在 接近其沸点情况下储存C因此,将这些压力升高至沸点需要的时间可能不多。在这些情况下.直线段 4.总热输人Q■单位为国际单位瓦特时.按公式FH)计算:单位为美国常用单位英国热单位每小 时时,按公式F.8)计算。

QJ = 432OiLAIws,' x2          .................................(F. 7)

式中人「心是浸润面积.单位为平方米。

Qi = 21<κfu√l s∙          ................................. (F. X)

式中AE,是浸润面积.单位为平方米英尺。

总放空能力依据公式F, D至公式FE)给出的热输入值进行确定。根据假定条件“存储液 体具有乙烷特性和呼吸发生在I 5. 6X (6∣∣T)t'确定的放空要求q,如果采用国际单位标准立方米每 小时空气时.则从公式F,))给出的Q推导出来;如果采用美国常用单位空气标潛立方米每小时 时.则从公式F. 1())给出的Q推导而来,

式中:

Q 总热输入.单位为瓦特W)利用计算出的浸润表面土心由图F.丨确定;

L—— 在储锻泄放条件下的液体气化潜热,单位为焦耳每「克

M -一泄放蒸气的相对分子质量•:

14982 转化气化速率的因子,单位为千克每秒(乙烷)kg',)∙对于空气放空速率,单位为 标准立方米每小时[m`/h (标况)],

在公式13)中,常S 208. 2是由公式F.9)推导而来.Q等于432)(Me/2 W [从公式 <F. 7推导而来].L等于3349θθJ∕kgM (乙烷)等于尚.17

以美国常用单位:

(F, 10>

式中:

Q- 总热输入.利用计算出的浸润表面AE、由图E 1确定,单.位为英国热单位每小时BU h)

L——æ储縮泄放条件下的液体汽化潜热.单位为英国热单.位每磅(Btu/lb):

M——泄放蒸气的相对分子质虽;

70, 5——将产生的蒸气磅每小时转化成每小时空气呼吸速率一SCFH的因子。

在公式(14)中・常量17是由公式(F.1())推导而来,Q等于210()0 ArWs',x∙ Biu/h [从公式 (F∙8)推导而来],L等于144BtU/hM (乙烷)等于X6, 17

未考虑加热液体至沸点以上可以发生的膨胀.蒸气的比热或排气温度和15. 6t (6UT)之间存 在密度差异,原因是这些变化中某些变化已经进行补偿了。

鉴于有些人关心确定暴露在火源中的呼吸要求的不同方法的差异和希望建议统一标准化方法的愿 望・API分委员会从1993年至1996年调查了近百家公司。此项调查表明,在利用本标准、API RP 52(1. ISO 23251 . NFPA文件以及其他常用确定暴露在火源中的放空计算方法中给出火灾确定尺寸方 法提供的安全水平无明显区别。APl分委员会于3%年放弃了行业内建立一种统一方法,确定发生 火灾时呼吸要求的努力。

注:对于此规定» API Std 521ISC 23251相同。


说明:

XI —浸润面积,单位为平方英尺;

x>浸润面积,单位为平方米;

Yl-——热吸收,单位为英国热单位每小时:

——热吸收.单位为英国瓦特;

1∙∙-直线段I


(以国际单位.表示) (以国际单位表示) (以国际单位表示) (以国际单位表示)


Ql = 6315()A rWs *

Q7 = 2242ooΛ

Ql =MII400/VIWSi

Ql = 432unΛ rws0 ʌ2


Ql2團){心A l

;(以美国常用単位)Q2 = 1 V93( H Λf \、.、"", 七(以美国常用单位)Q1=大)3m )Λ TWSH W “(以美国常用单位)QJ =21 OOOAiw5"


(以美国常用单位)

Iv-S


注;对于低于表压6, WkPa (IpSi)的非低温储罐.如果浸润表面积大T 26Onr(2S(HIfr),总热系数视为一 个常量。对于超出此压力的非低温储琲和所有冷冻式储攏•当浸润面积増加时,总吸入持絞增加,这就 是的线在超出260m∙' (28UI)fr)出现转折的原因。

F.1确定暴露在火源中时紧急通风要求的曲线

附录G

(资料性附录) 呼吸装置类型和操作特性

G, 1引言

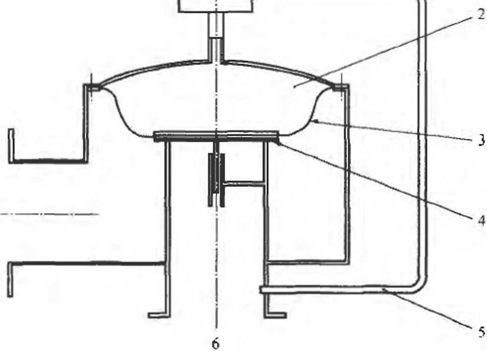
F低压储掘.存在两种基本类型的冷力或真空呼吸阀一-直接动作呷吸阀和先导式呼吸阀.提 供超压或直空保护。直接动作呼吸阀可以为重甘加载或弹簧加载。这些呼吸装置不仅提供槌压保护. 还能保护产品。直接动作呼吸阀有时也称作保护呼吸G

还存在另一种呼吸装置——升式呼吸,为设计操作在常压卜的储罐提供超压或其空保护,开式呼 吸一直处于打开状态。其允许储罐在大气压力下操作,以吸入和呼出任何压差,开式放空通常设置防 雨罩或结构形状,防止雨或雪进入储維(参见图6 1)

说明:

1 -储琲接头,

G.1开式呼吸

G 2直接动作呼吸阀

G. 2∙ 1描述

直接动作呼吸阀可以起到压力泄放、真空泄放或压力和真空的组合泄放作用。组合式呼吸阀应平 行配置(参见图Cλ2)o井行呼吸阀或压力泄放阀配冇法兰岀口,当需要将压方泄放蒸气用管排出时. 实现压力排放。

大型直接动作呼吸阀可以提供紧急压力释放,可以提供班入储罐内部进行检一捡或维护的人口。通 常设置为4{N)mm (16in) -60)mm (24in)(参见阁G.3)。图G. 4给出了直接动作放空版的其他类 型和配置。

G2.2操作原理

直接动作呼吸阀的操作原理是依据阀板亜量或作用在阀板上的弹簧力,保持装置处于关闭状态。 当作用在阀座密封区域的储罐压力或真空等干作用在阀板丄的相反力时.放空装賞是在打开的临界值

说明:

3・-储爆连接。


说明:

1   压板;

2-  储推连緩.



G.3大型、重量加载紧急通风

下放空。压力或真空的任何额外升高能导致阀板开始升离阀座。

超压川%〜W)%时,通常需要将阀板全部升起(参见图G. 5)。对于呼吸能力要求阀座板完全升 起的,但由于储堪压力限制无法实现时,在降低的升起量和呼吸能力下,应使用较大型呼吸装置或多 个呼吸装置「通常倾向于选用几个较大型呼吸装置而不是多个小型呼吸装置.以降低储罐的开孔数 量C作为一个备选方案、町以选择小于储罐最大允许I.作压力的开启压力・以允许实现完全升起。

G 2. 3阀座紧密度和吹洗

通常使用软质、非黏性材料密封阀板的表面。此种材料能够防止阀板黏在喷嘴上。

阀座泄漏通常开始在开启斥力的75%"%・对于不同丁.艺枝术,差异会很大。储罐越接近开 启眾力•发生的泄漏越多,


a)重力加裁阀板压力放空法兰连接出口


.




e)井行市置,重力加我压力,真空放空阀法兰连接压力出口

说明;

I- 储罐连接.

d)弹簧加载真空放空阀


≡ G∙4 其他形式的直接动作放空阀

说明:

X 婿压∙用百分数表示;

y— 阀板完全升起时的能力.用百分故表示;

1 导阙:

2一一常规重力加载或弹寳加载阀。

G.5呼吸阀能力/超压特性

如果当储罐产品蒸气暴露大气中时发生聚合或蒸气发生自动冷冻、冷凝和凝结成大气水气.阀座 泄漏可能导致放空阀座黏在关闭位置。利用惰性气体(例如氮气)或使用热跟踪或蒸气夹套装置吹扫 阀座区域,M降低黏滞。有些生产厂家由于了解安全装置加热可能会增加有些单分子物质(例如苯乙 烯)发生聚合风险.提供发生聚合情况的专用技术。当大气水汽发生冷凝也是-个关注问题时・提供 需要能房支持操作的专用技术(例:发酵槽L

在法兰连接上的螺栓锁紧力矩不均匀可能会导致阀座泄漏,尤其是对于大直径装置.如重最加载 的紧急通风装置,为了防止发生这种情况.建议为APl法兰规定最小法兰厚度。

泄压是指安全装置打开和关闭《重新坐入)之间的压力差值。这个压力差值表示为一个座力或设 定压的百分比。泄压愛随安全装置设计不同而不同。如果当情性气体保护系统与压力/真空安全阀组 合安装.应对压力/真空泄压进行评估。

当为具有严格排放规定的区域选择呼吸装置时.应考虑在储雄正常操作期段的最大泄漏要求。

G. 2.4呼吸装置尺寸和开启压力

直接动作放空阀常用尺寸为5()mm (2in) —35Omm (14iπ)之间:但是,如果呼吸阀以堆垛方 式配置(参见图G. 4),可以实现呼吸尺寸达到7(InTnm (28in)0

重量加载呼吸阀的典型开后压力范围达到6. 9kPa (ga) (I6oz∕inj),頁空达到-4. 3kPa (ga) (-10oz∕i∏∙)e对于超出这些压力或其空偵的设定.应采用弹簧加载阀.因为无法获得增加重:钺的支 撑结构和空间。

当一个呼吸装置已经安装到储堪上∙可以通过升高圧力或貞空完成対呼吸装置开口压力的校验。 为r改变开片压力・应増加或減少在阀板上的更量・或应使用一个新阀板或应调整弹簧(如果是弹簧 加载呼吸阀)°

G.3先导式呼吸阀

G∙ 3∙ 1描述

先异式呼吸阀可以起到压力泄放、真空泄放或压力和直空泄放的组合作用。如果斋要将泄压蒸气 通过管排出,有些呼吸阀诃以配置法兰连接岀口。与平行配置直接动作呼吸阀不同,先导式呼吸阀通 过与大气相通口泄放压力或真空(参见S1G∙6)°

1

IT i----



说明:

3- 膜片;

------阀屋I

G.6先导式压力放空阀(单膜片)

G.3.2操作原理

用丁•压力泄放的先导式呼吸捌利用储罐压力,而不是重最或弹簧.将呼吸阀座保持XE关闭状态、 主阀座通过作用在大膜片上的储縦IE力保持关闭状态。储罐压力作用面积大于隅座密封面积.这样. 净压力总是保持阀座处在关闭的方向上。在膜片上方的体积称为穹顶。如果膜片出现故障.穹顶压力 降低.放空阀打开。

导阀是感应储擢压力的小型控制阀。当储鸞压力升高至开启圧力时.导阀动作,降低穹顶体积压 力・保持阀座关闭的力量降低厂.阀座升起.允许储躍压方从放空阀排岀。当储罐压力降低时,导阀 关闭.穹顶体积重新加圧.主阀座板关闭。导阀动作存在两种类型:调节和快速动作。对丁-调节动 作•随着压力升高,主放空阀逐步打开.泄放压力达到額定泄放能力。调节綢在非常靠近开启压力 时・重新关闭。对于快速动作.主阀在开启压力快速打开,并在泄放压力时达到额定泄放能力。

先导式放空阀超压或低干1()%超压(参见图G.5)实现全部升起。此项升起特性允许釆用更小 型或更少数量的呼吸装置实现超压保护:除此之外.相对于直接动作呼吸阀,先导式呼吸阀具有非常 接近幵启压力的储擢操作压力。

用干真空泄放的先导式呼吸阀利用大气压力保持阀座关闭》保持阀座关闭的力等于阀座密封面积 乘以通过阀座的压差。这些压差等于大气压力加上储罐真空。当储罐真空等于导阀开启压力,导阀打 开•在膜片上方的大型穹顶体积上施加储罐真空。作用在膜片下游侧的大气斥力对膜片加力,井加 热。想要获取阀座的完全升起,不需要增加储罐真空超出放空阀设定真空。当储罐真空降低时、导阀 关闭.大气压力进入穹顶.关闭主阀座。

如果膜片发生故障.大气进入穹顶.防止储罐真空产生升起阀座的压差。双膜片放空阀可以防止 发生此类故障(参见图G7) 一个膜片用干压力启动,另一个膜片用于真空启动。对每个膜片进行 隔离和保护.免于受到流量干扰.进行完全支撑,以最大化降低应力。真空膜片移动只能提供真空泄 放,以延长其使用寿命。

G.3.3阀座气密度和泄压

所有低压先导式呼吸阀为软阀座,可以实现最佳气密度。与直接动作式呼吸源不同,在先导式呼 吸阀中保持阀座处于关闭状态的力随着压力的升高而升高。这个力在呼吸阀刚要打开时、达到最大, 因此当储罐压力升高或当储罐压力保持在靠近呼吸装置设定点时.不会发生泄漏。开启压力打开阀座 的力也是最大的.原因是当达到开启压力时.保持阀座处于关闭状态的力去除了或降低了。获得打开 力大约等于阀座面积乘以储罐压力。

利用先导式放空阀实现的泄压比使用直接动作式放空阀要小。快速动作导阀泄压通常小于开启出 力的7%。而采用调压异阀实现的泄压通常会更低。

G. X 4放空装置尺寸和开启压力

低压、先导式放空阀常用尺寸在50mm (2in)6(M)mm (24in)之间。可以获得开启压力范围 1()3. IkPa (表压)(15PSi)   101. 3kPa (表压)(- 14, 7PSi)真空。最低打开压力通常为 ∣)∙ 5kPa (表压)(2inH2())W 5kPa (表压)(~ 2inH>O)真空。

G∙3∙5操作特性

先导式呼吸阀可以有几个选项。为了校验开启压力,可以设置现场测试接头,允许在已经安装呼 吸阀和已经加压的情况下,检查开启压力。

如果要求对储罐进行泄压,可以提供操作先导式呼吸阀的导阀作为泄压装置。此阀可以在呼吸阀 上手动操作或在控制室遥控操作。

对丁输入管线压力损失可能导致呼吸阀快速动作的装置,可以设置导阀・感应在输入管上游位置 的储罐压力。这个选项被称为遥控感应.防止呼吸阀岀现快速动作;但是由于泄放压力取决于在呼吸 阀入口上的压力.所以呼吸能力降低。

当储爆蒸气中微粒是关注的问题时,可在导阀压力感应管线设置一个精滤器。当在导阀中储罐蒸 气聚合是关注的问题时.可以在导阀压力感应管线进行惰性气体吹扫・防止储罐蒸气进行导阀。

先导式呼吸阀可以设置一个导阀升杆和一个位置指示器。升杆允许手动操作导阀,以确定其动作 无阻碍。此阀杆的动作总是在储縦加压条件下•打开主阀。位置指示器是一个差斥开关•可以用于向 控制室给出呼吸阀是打开还是关闭的信号。


说明*

一真空执行器组件;

…真空膜片;

压丿J执行器组件:

JJ膜片;

•护軍:


8----屏:

基理法兰;

膜座:

腹保护板:

蚊嚇;

阵板:

一直空杆■

SG. 7先导式压力呼吸阀(双膜片)


12-


13


附录 H

(资料性附录) 尺寸确定公式依据


H. 1范围

附录H为本标准中使用一些尺寸确定公式提供了确定的依据。

H.2标准和正常条件

在本标准中的许多计算.选择一套参若条件,用于表示理想气体的容枳流量。正常或标准条件 如下:

---正常条件:大气压力1∏1.325kPa (14. 696psi)下的压力和温度OcC (32°F)用国际单位表 示.在正常条件下.理想气体的摩尔体⅛1⅛22. 414n√∕kmoL

——标准条件:大气压力HH. 325kPa (14. 696PSi)下的斥力和温度1 5. 56V (61 IT)用于表示 美国常用单位.在标准条件下•理想气体的摩尔体积为379,46f√/ (lb< mol).

应注意正常条件七或32V)和标准条件(15.616UF)的参考温度是不同的“以不同单位 报告结果时.包含在正常和标准条件之间的转换。应注惹由于温度转换,以不同单位制报告容积流量 时是不相同的。

在任意一种参考条件下,在自由气体(即:质量或摩尔流域已经转换成当量容积流量)体积流是 的转换应使用绝对温度比率C

如*5, "1 _一7 R X---LnI---二()四丫标况)       ............ (H 1)

VMmIiaIJ 519. 67CR 35.3l47ff              SCF

式中:

qE加在正常条件下的体积流量.单位为标准立方米每小时[√ (标况)∕h];

%城皿一-在标准条件下的体枳流星・单位为标准立方英尺每小时(SCFII)O

注:是正常和标准条件卜-理想气体的摩尔体枳之间的转換汽量。

<75 _ 22. 114m'(标况∕kmol Ikm()l    _ ɔ 7t m' (标况)

(H. 2)


7∑ΣΣ 37ξλ 46SCF∕lb * mol   2. 2046Ib ∙ mol 一 ’ ~ ’ SCF

当泄放要求表示为在一奁参考条件下当量容积流量时•应使用绝对温度平方根比率进行参考条件 之间的转换。参见H. 1().获得更多信息。

Snm _22 414n'(标况)∕kmoIX    Ikmw X 戶 15 67Ril = U()    m'(标况) ...............

</、听心『|    37Z 46SCy∕ lh ∙ mol 2.2()4611∙ mol M 491,67RE      J SC'F

H.3排放系数方法的理论流量

H.3. 1理论依据

H∙3. 1∙ I测试呼吸装置排放系数方法给出的理论流量是依据以下假定条件:

a)在一个全开斥力呼吸阀中的流量限制元件是在入门开口和阀座表面之间的放空体中的喷嘴。

b)确定通过啧嘴最大理论流域的相关热动力路径是隔热和可逆的(即等斌线)・通M各种形式 开口获得各种实验经验.我们建立一个通用假定条件。

H∙3.L2等矯喷嘴流量假定条件为理论流量公式提供一个标准理论框架。均质流体等嫡喷嘴流量的 通用能量平衡形成了计算通过喷嘴的质量流量(单位而积质蛍流呈)G的依据•以国际单位「克每平 方米表小时、按公式H.4计算.以美国常用单位磅每平方英尺表示吋,按公式H∙5〉计算。

(r2 = (-2 "p d∕>J*Qmωt =≈[(p%) •(-2   57)IrllnX         ........................... (H.4)

JR                   JAP

式中;

V…-流体的比容.单位为立方米每千克π√Jkg);

P - -流体质蛍密度・单位为千克每立方米kg,'m');

P、、 ,流体的滞点压力,単位为牛顿每平方米Wn√);

i-一一脚标.表示入口到喷嘴液体条件:

th-一脚标,表示横載面最小的唄嘴喉部的流体条件;

max——脚标.表示规定计算的最大值.考虑流体可能发生的堵塞.

「心 I

- 9266. 1 p ∙ dp,I                            r

(r = (-------r------)   =[p" (f266.1                  ............ H. 5

\            罚h            , nu%*                          J L P

式中:

P流体的比容,单位为立方英尺每磅Ch5Zlb):

P——流体的质量密度、单位为磅每立方英尺lb/ft`);

•流体的滞点压力.单位为磅每平方英尺绝对值I b∕fr I;

l—-脚标•表示入口到喷嘴液体条件;

th— 脚标,表示横截面最小的喚嘴喉部的流体条件;

max,脚标.表示规定此计算的最大值,考虑流体可能发生的堵塞。

H.4蒸气和气体的等炳喷嘴

H. 4,1对于具有恒定等斌膨胀系数的蒸气和气体,沿等炳线的比容/压力关系以公式H.6)表示:

Pn •、『二 Pl •沈        ....................................(H, 6

式中:

V——流体的比容.单位为立方米毎千克(立方英尺每磅)[∏Λ∕'kg (ft5∕lb)]i 伽——流体压力,单位为帕斯卡(磅每平方英尺绝对值)[Pa C I b∕ft2 I )] 〃-一…等埔膨胀系数°

H・」,2由于等嫡膨胀系数同时是压力和温度函数.因此确定一个真实气休的等炳膨胀系数是非常复 杂的,但在大多数情况下・这个系数是一个相对常量,在整个膨胀过程中,其可能发生变化n该系数 通常可以从描述沿热力学路径压力——容积关系的状态公式获得,但是限制在一个等嫡膨张路径上。 如果等墉膨胀系数是亠个常虽•以热动力状态变量表示的该等燜膨胀系数〃可以由公式H.7)推导 而来。

tυ

H =--

(H- 7)


Pll

式中:

V——流体的比容■单位为立方米每千克(立方英尺每磅)Cmvkg (ftVlb)]

伽——流体的压力•单位为牛顿每平方米(磅每平方英尺绝对值)[N/eI lb∕fr I )];

T 脚标.表示在恒定温度时的部分衍生物;

——流体在常压下的比热容、单位为焦耳每千克卡尔文(英国热单位每磅华氏温度)U/ (kg∙ K) EBtu/ (lb* T)]L

<i.——流体固定体枳下的比热容.单位为焦耳每千克卡尔文(英国热单位每磅华氏温度)。

H.4.3这些变量可以在等炳路径上的任何点进行评估:但是入口条件是最为方便的.原因是在这点 的泄放温度是已知的•可以马上获得比热容。

H. 4,4对于可以视为理想气体的蒸气和气体.即遵守理想气体定律的气体,恒定等矯膨胀系数的表 示可以通过推导理想气体在恒定温度下与比容有关的压力的部分衍生物表达式进行进一步简化。理想 气体的恒定等螭膨胀系数是一个常it是在恒定压力下理想气体比热容与在常体积下理想气体比热容 的比率(即理想气体比热比率Q,见公式H.8)

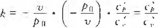
式中:

k——-理想气体的等炳膨胀系数,也称作理想气体比热比;

Pn——流体的压力;

P一一流体的比容;

门——流体在常压下的比热容;

G-——流体固定体积下的比热容;

'--表示理想气体常量。

同样,此表达式可以沿等嫡路径的任何点进行评估;但是.入口条件是最方便的,原因是在这一 点的泄放温度是已知的.可以马上获得比热容。我们注意到理想气体比热比受温度变化的影响不是很 明显(一点也不受压力影响);因此.在标准条件下的理想比热容可以在气体信息缺乏的条件下,获 得准确地预估。

H. 4.5符合恒定等摘膨胀表示式的蒸气和气体,等埔喷嘴流量公式[公式H.4)]通过分析的方 法求解,得出公式HR).公式H.9)适用于次关键或关键流量,条件是在任意情况下・都选择 了正确的节流压力。

式中;

h——等炳膨胀系数;

υ--一流体的比容;

P f---流体压力

E脚标,表明在喷嘴人口条件

O——脚标.表明在喷嘴喉部的条件.如发生关键流量时•等于堵塞条件•如果次关键流量发生 时.等于岀口条件。

H.5理论流量

H.5∙l X寸公式H,"进行以下代数整理,得出理论流量的表达式,见公式H.17)和公式

(H, 1S).

A  p;房 p" Eq q

(HI())


—7 * —Γ 4 —FA ~7~Γ ,(亿,z -") ~ 1 PT M "

Il

•件•好]琴""]

∙Ul fl


(H. 12)

(H. 13)


Q-二也・-ɪ- •[件)-(色)]      .....................(H, 14)

H.5,2当蒸气和气体的温度和压縮系数可以比比热容更容易获得时.可以使用公式H, 1S)所示 真实气体定律,可以用于替代这些比容变量,如在公式H∙16)中所示。

.乙•心•,

Vl _ -----rτ

p` ∙ M

式中:

P -一-流体压力i

'U---流体的比容;

Z--一流体的压缩系数;

RtL—理想气体的模数常量;

T 一一流温度;

M--相对分子质星。

ft

在公式H.16)两侧同时取均方根•


得出公式H, 17)


亿・展,J⅛⅜∖7Ar値)"-修)”]


.........(H. I7)


H.5.3利用质量流堇的定义作为单位面积的质量流⅛⅛、通过喷嘴的流量.Wn可以以质量流量表示. 见公式(H IB)O


式中&•卩是要求的有效排放面积。

H.5.4利用流体的相对分子质量.质量流量:可以转换为一个分子流量N,见公式H.19)至公式

(H, 21 >0

N ∙ M 二 AJi * P,


⅛∙^∙≡-⅛Γ]


.....(H- 19)



(- /                     /      、∙J ■ I ≡R

’   …亠.住;—心F

M∙ ∙ Z ∙ E N - I LMJ EPJ .


..................(H. 20>



WTT ,六∙[()"-修)”]


•…(H, 21 )


H∙5∙5摩尔流量可以表示为在特殊参考条件下的体枳流星.见公式H.22)



式中:

q——在标准或正常条件下的体积流量;

d——从摩尔至标准或正常体积的转化系数。

H. 5. 6当等協膨胀系数"是通过理想气体比热比A进行估算时.此公式可以表示为公式H.23)

・ k E JMdf ∙ ⅛ β [⅛)i-(⅞)

.....(H. 23)


H∙6国际单位制推导表示式

对于国际単.位,当


“正常条件”是指(此和M1∙325kPa时.使用以下数值或单位:

r = ɔɔ j]4 X m (标况〉 kmol

RK =S314. 4×


Pa . m kr∏ol ∙ K


_ ” Iiix E(标况) ʧɔ1414X-I^r


83,4 4xi≡□HK


i∙-^∙√M⅛∙⅛∙[(tr-(tr]…(HR

IkPa * Arn


SM)Cmw M Z, ∙ T" A 土 ∙ [C) ~(⅛)]

♦…(H- 25)

' Ih X"()34763 X £ I A JM •乙・「X - 1



•…(H, 26)


g = 125∙ E I ∙ A、」Srr⅛τT Γτ「(攵)—(号)

........................(H, 27)


式中:

q— -在正常条件下的等效容积流量.单位为正常立方米每小时

P--压力勺单位为千帕(kPa):

T——温度.单位为开尔文K)

A.α要求的有效排放面积.单位为平方厘米cm」)。

,上脚标,表示上述压力和面积的测量单位(从原始使用的区域压力和平方米分别进行推 导)。

H.7国际常用单位推导

对于美国常用单位•使用以下数值和/或单位.其中“标准”条件是指6U°F1 ^696Pa:

ʃ ɪ= 379. 46 X


SCF

Ib ∙ mol


Ibf C

TT ∙ ft

L = 1545- UX ɪ

(lb * mol) ∙ R


M = 32. 174 X §


Ibm

Ibf


式中加是重力常量。

37” 46 ×


SCF

Ib ■ mol


q= l*χ77, 4407 XA Λrff

I Il                                                                  4


Mκ*∙[紂唯广]


(H 29)

(;=27879UXA * A


式中:

Y —在标准条件下的半量容积流信,S(THJ

/>一一•绝对压力.单位为磅力每平方英尺(bbl∕h2)?

T——温度.单位为兰氏度°R);

A成一-要求的冇效排放面积,单位为平方英尺(fr)o

H.8正常和标准参考条件之间的转换

H,3中的尺寸确定公式•以自由空气的等效体积流量表示.因此,可以使用H. 1显示的温度校 正系数,转换正常和标准参考条件。

H.9以当量空气流量表示的泄放要求

H. 9. 1 概述

H∙9∙l. I布本标准中描述确定呼吸装置放空能力的排放系数方法的备用方案是以实际流量测试为基 16

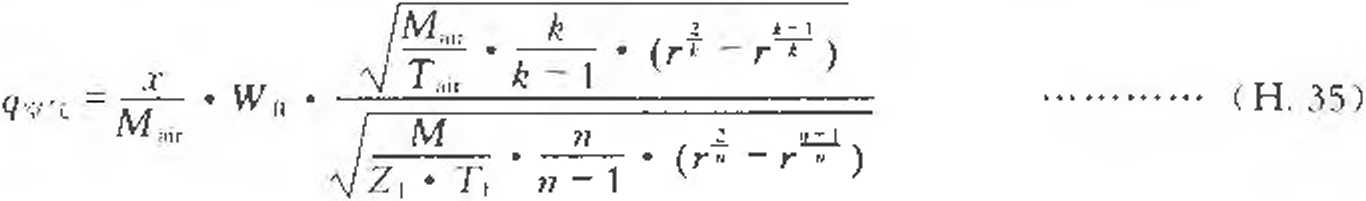
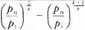
础。流量测试结果通常表示为以进气压力为函数的当量自由空气流量单位;因此.要求将实际泄放要 求转换成当量空气流量的方法,便于直接比较泄放要求和呼吸装置测试能力。

目的是找到标准或正常条件下的一个当量空气流虽.其与实际流体条件下确定要求泄放速率具有 相同有效排放面积。

此种方法中本身存在的基本假定条件是与理想喷嘴流量偏离的校正系数量,例如排放系数.是个 常量.

H.9.L2公式(H. 18)推导岀来的通用喷嘴流量公式用作实际泄放要求放空尺寸的开始点.W见 公式 <H. 31)q

Wr 二/& ∙ p∖ •


(H. 31)

H.9∙l∙3 空气在标准或正常条件下具有相同表达式・见公式H∙32)°公式H∙32)中,压缩系数 等于L等嫡膨胀系数通过理想气体比热比*进行估算,原因是空气在标准或正常条件下是理想 气体。

八二 A,” ♦ p


(H. 32)


H.9.1.4对于要求呼吸面积,同时解公式《H.3U)和公式将他们设定为相等(原因是想 要求岀当量泄放面积),并解岀空气质量流量W“,得出公式H.33)∙公式H,33)可以简化为公 式H∙34):



H.9.L5在标准或正常条件下•空气质量流量可以转换成空气容积流量见公式H.35)


H∙9∙l∙6在以下假定条件下,可以对公式H∙34)和公式H,35)进行进一步简化•见公式 (H. 36)和公式FL 37)

a) 实际泄放流体的等矯膨胀系数等于空气的理想气体比热比。

b) 节流压力与泄放压力比率是两个流体之间的当毋。这是当节流压力等于大气压力时,分关 键流量的可以接受的假定条件,但是不是采用排放管线放空或升高泄放压力时的可接受假 定条件。

C)实际泄放流体的压缩系数等于LDo



II. 10正常条件与标准参考条件之间的转换

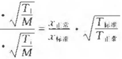
推导公式<H.37>用于以当量容积流量表示泄放压力的正常和标淮参考条件之间转换是复杂的・ 推导表达式的方法不同・每种参考条件下温度也不同,因此•最好为每种参考条件•使用具体公式。 如果需要在两种参考条件下进行转化,可以使用公式H∙38):

ʃ H -.6 W     IM疽 I

0北帘=M幸.

3     . WI . .¾≤

M∙ ∙λ    λ


(H. 3H)

H. 11消除外部火灾要求

H. IL 1概述

H. 11. Ll关于由干暴露在火源中的热输入引起的泄放要求依据的更多信息,参见附录F..

対于给定泄放条件.蒸气产生速率WM可以转换成H. 4中指小的当址空气流量。

由于热输入产生的蒸气质量产生速率按公式H.3,丿)确定;

J 牛IJ匸判 ..............................H.39)

式中:

WW  •蒸气质址产生速率.单位为千克每磅(磅每小时)[kg∕lh (IbZh)];

Q——由于暴露在火源中的热输入,单位为瓦待《英国热单位每小时)[W (Btu/h)]

F——环境因子.与尺寸无关,

Lttt在泄放条件下.储擢内蒸气冇效热,单位为焦耳毎千克(英国热单位毎磅)[J∕kκ < Bιu∕lb>];

Vl一一在泄放条件下.储罐内沸腾液体比容.单位为立方米每『克(立方英尺每磅:・L∏√∕kg (fc'/lb)];

t¼--在泄放条件下,储罐内产生蒸气的比容・单位为立方米每千克(立方英尺每磅)[m'∕kg (h71b>]0

ILll.2对于远离热动态关键点的流体.蒸气比容比液体比容大得多(由于是对于操作在接近环境 压力的低压储罐):因此.容积校正系数非常接近1.通常可以忽略.得岀简化形式.见公式 (H. 40),

=          .................................... (H.M)

H∙1L3 可将公式H∙3R)和公式H.4l))合并.得出公式H∙J1)<j

ʧ,m =


MW

τ,dr


L rfʃ


(HnI)


H∙12国际单位的推导表达式

对于国际单位.采用以卜数值和/或单位.式中的


.•正常”条件是指()P和l"1∙325kPa


m NXm'(标况)

Kmoi

丁,“ =273. I5K

7<∙IΓ


22, 414 X / 2<

29    √ 273. 15


1 b L 4((


Q∙F /T1

M


q"W>6X汗项


(H.2)

(H- 43)


式中Sr以当量正常立方米每小时为单位计算。

It 13美国常用单位推导表达式

对于美国常用单位.釆用以下数值或单位•式中的”标准”条件是指6()F16%psi°

S('F

f iXj⅛

M.,l = 29

Tm = 519. 67°R

q,,,


379. 46 X / 29

29    √ 519. 67


Q∙ F /TT

La, *√M


H. 44)

(H-5)


式中g是以当量标准立方英尺空气每小时为单位计算。

参考文献

Li] APlRP 5” 炼沛厂中泄尾装置的尺寸、选择和安装 第1部分“尺寸和选择”

L5j ASME PTC 25压力泄放装置

LG] EN 1127-1爆炸性环境爆炸防止和防护部分I基本概念和方法

[7] EN 1473液化石油天然气设备和安装 陆上装置设计

貝]E∖∖2N74火焰捕捉器 性能荽求,试验方法和使用限制

[刃E 13237潜在爆炸大气有爆炸危险范围内使用设备和防护系统的术语和定义

Γ∏∏ NFPA 311可燃易燃液体规范

∏6j UL 525火焰捕捉器

[17] USCG 33 CFR 1546运输石油或散装冇害材料的设施

[IKJ Klciz. TA.哪种呼吸方法是错误的?工艺设备的故障研究

19~ FoCrStcr∙ H. ♦ SChanlPCIt K. ∙ Sioen* H. Aimungsvorgange infoige VOn WinerIingSeinFlLlSSeti an l√ιgcrtanks fur brcnnbarc F'lUSSigkCiten. PhySikaliSCh ICChniSChC BUndeSanMall IPTBL BCriCht W - 22

L2()] Goglatu W- . Miiller* Weyl∙ R. ∙ Tank]agcrtcchnik— FeSligkeit IJn(I Beatmung.

• ∙ MitteiIUng ClUS CIer BASF Eigenuberwachung, LIIdWigShafenZRhein. SOnderdrLICk a us TU 01 1985

Ilnd )5 - O,ni985

I 211 HCidCrnlaπn> T. ∙ Flarnv Transmission TeSt With PJV ValVeS — ∙ AtmoSPheriC deflagration and burning tests* PRoTE(Jo Te5t report VB ()3 1 1 14 — H 2(M)7

[22] FM 61)61储罐呼吸管的火焰捕提器的FMRC测试规程.等级6∣∣6B 199S5

.W

中华人Rjtffl石油.犬然,行业标潭 常压与低压储罐通风安全规范 SY,'T 6673 2(H3

-♦-

f ι⅛! I .业岀版衬出版

< .IC求安定Ci &卜安中里二K - 5

.It貝中有油彩色印刷πικ贲任公司』皈印制 ,淅华¾ij所发仃

t

BNIix 12W 它糸 Ih IF 3 75 E卩张 IIH Γ fI In 2∣∣!4 q: 2 Hjt IWr年? M北京第∣次印刷 IJ g)2l 7∏97 ⅛ Kf : 45. oil JL

版权专有不得翻印