机械安全 机械电气设备 第32部分:起重机械技术条件
GB 5226.2-2002
中华人民共和国国家质量监督检验检疫总局2002-06-13发布 2003-07-01实施
前言
本标准的第1章、2章、第3章、第12章、第13章、第17章、第18章为推荐性的,其余为强制性。
本标准等同采用IEC 60204-32:1998《机械安全 机械电气设备 第32部分:起重机技术条件》。
GB 5226在《机械安全 机械电气设备》总标题下,包括以下部分:
第1部分:通用技术条件
第11部分:交流电压高于1 000V或直流电压高于1500V但不超过36kV的通用技术条件
第31部分:缝纫机械单元和系统的特残要求
第32部分:起重机械技术条件
本标准的附录A、附录B和附录C是提示的附录。
本标准由中国机械工业联合会提出。
本标准由全国工业机械电气系统标准化技术委员会归口。
本标准负责起草单位:北京起重运输机械研究所。
本标准参加起草单位:浙江箭环电器机械有限公司、上海港机股份有限公司、佳木斯防爆电机研究所、德马格起重机械(上海)有限公司、扬州天宝自动化工程有限公司、南京禹鼎电子有限公司、江苏三马起重机械制造公司、洛阳前卫安全滑触线厂。
本标准主要起草人:赵春晖、夏日、万德怡、吴文生、傅杭宁、吴忆新、张才、王洪权、王冬阳、孙小平。
IEC前言
1)IEC(国际电工委员会)是由各国国家电工委员会(IEC国家委员会)组成的世界性标准化组织。IEC的目标是在电工领域中对标准化的所有议题促进国际间的合作。为了实现这一目标和其他活动,IEC出版国际标准。IEC标准的起草工作委托技术委员会进行。任何对所涉及的议题感兴趣的IEC国家委员会都可参与这种起草工作。与IEC有联系的国际组织、政府和非政府组织也参与这种起草工作。IEC与国际标准化组织(ISO)按两个组织间达到的协议保持着密切的合作。
2)由于每一技术委员会中都有来自感兴趣的国家委员会代表,因此,IEC对技术议题的正式决定或协议尽可能接近地表达了国际间对有关议题的一致意见。
3)产生的文件采取国际上应用的推荐形式,并以标准,技术报告或导则的形式出版,在这个意义上它们为各国家委员会所接受。
4)为了促进国际间的统一,IEC国家委员会负责在其国家和地区性标准中尽可能地明确采用IEC国际标准。IEC标准与相应国家标准或地区性标准之间的任何差异建议在后者中明确指明。
5)IEC不规定任何关于表示批准的标示方法,也不对任何设备声称其符合某个IEC标准并承担任何责任。
6)希望引起注意的是,本国际标准中的某些条文可能会涉及专利权问题。IEC不负责验证任何或所有这样的专利权。
IEC 60204-32是由IEC/TC 44:机械安全——电工问题技术委员会与IEC/TC 64:建筑物电气装置技术委员会联合制定的。
此版本包括IEC 60204-1第四版的内容。
本标准基于如下文件:

关于投票批准本标准的全部信息见上表中的投票结果报告。
附录A、附录B、附录C和附录D为提示的附录。
在一些国家存在下述差异:
——4.3.1:由公共配电系统供电的电压特性按EN
50160:1994“由公共配电系统供电的电压特性”中规定的要求(欧洲);
——7.2.3:TN-S系统的中线必须断开(法国);
——10.7.2:非锁紧急停器件与单个复位器件联合使用被认为是允许的作法(美国);
——13.6表6:导截面积应符合美国线规(AWG)的规定(美国);
——14.2.2:对于保护导线,颜色标识用绿色(带或不带黄色条纹)与黄绿双色组合等效(美国和加拿大);
——14.2.3:接地中线的颜色标识采用白色或灰色而不用浅蓝色(美国和加拿大);
——14.2.4:该项用途采用黄色而不用橙色(美国)。
引言
本标准对起重机械电气设备提出技术要求和建议,以便促进提高:
——人员和财产的安全性;
——控制响应的一致性;
——维护的便利性。
不应以牺牲上述基本要求来获取高性能。
图1和图2有助于理解一台起重机械各个环节及其相关设备间的关系。图1所示是某黄型物料搬运系统(协同工作的一组起重机)的总框图,图2为某典型起重机和关联设备的框图,它表示了本标准所涉及电气设备的各个环节。

图1 港口典型物料搬运系统中联合作业的起重机框图

图2 典型起重机及其相关电气设备的框图
1 范围
本标准适用于起重机械和相关设备的电气和电子设备及系统。
注
1 本标准中,“电气”一词包括电气和电子两方面(即电气设备是指电气设备和电子设备两者)。
2 本标准中,“人员”一词指任何个人和那些受用户或其代理指派使用和管理起重机械的人。
本标准所包含的设备是从起重机械电气设备的电源接入处(起重机电源开关)开关的,包括起重机械外部的电源及控制馈线系统,例如软电缆或集电导线或滑触线(见图3)。
注3:有关建筑物电源安装要求,参见IEC 60364。
本标准适用的电气设备及其部件,其线间电压不超过1 000V(a.c.)或1 500V(d.c.),额定频率不超过200Hz。
注4:对高压设备的要求由IEC/TC44及IEC/TC99考虑。
对于用于易爆和/或易燃环境中的起重机械电气设备可以规定附加特殊要求。
对本标准而言,起重机械包括各种类型的起重机、各种类型的绞车以及有轨巷道堆垛起重机。包括下列各类产品:
——桥式起重机;
——流动式起重机;
——塔式起重机;
——回转变幅起重机;
——门式起重机;
——岸边起重机;
——浮式起重机;
——各种绞车;
——葫芦及附件;
——装载起重机;
——缆索起重机;
——载荷保持装置;
——有轨巷道堆垛起重机;
——单轨小车运输系统;
——跨车;
——轮胎式门式起重机(RTGs)。
除了电气设备单个元件的选用和安装外,本标准不包括电气设备的单个元件。
2 引用标准
下列标准所包含的条文,通过在本标准中引用而构成为本标准的条文。本标准出版时,所示版本均为有效。所有标准都会被修订,使用本标准的各方应探讨使用下列标准最新版本的可能性。

GB/T 18380.1-2001 电缆在火焰条件下的燃烧试验 第1部分:单根绝缘电线或电缆的垂直燃烧试验方法(idt IEC 60332-1:1993)
ISO 3864:1984 安全色和安全标志
ISO 7000:1989 设备用图形符号 索引和一览表
ISO 13852:1996 机械安全 防止上肢触及危险区的安全距离
IEC 60034-11:1978 旋转电机 第11部分:装入式热保护
IEC 60050(826):1982 国际电工词汇 第826部分:建筑物电气装置
IEC 60073:1996 人机接口标志与识别的基本和安全原则 指示器和操动器编码原则
IEC 60076-5:1976 电力变压器 第5部分:承受短路的能力
IEC 60309-1:1988 工业用插头、插座和耦合器 第1部分:一般要求
IEC 60364-3:1993 建筑物电气装置 第3部分:一般特性评定
IEC 60364-4-46:1981 建筑物电气装置 第4部分:安全保护
第46章:隔离和切换
IEC 60364-4-47:1981 建筑物电气装置 第4部分:安全保护
第47章:安全保护措施的应用第470节:通则 471节:电击保护措施
IEC 60364-4-473:1977 建筑物电气装置 第4部分:安全保护 第47章:安全保护措施的应用第473节:过电流保护措施
IEC 60364-4-481:1993 建筑物电气装置 第4部分:安全保护 第48章:随外界而变化的保护措施的选用 第481节:与外界影响有关的电击防护措施的
IEC 60364-5-523:1983 建筑物电气装置 第5部分:电气设备的选择和安装 第52章:配线系统 第523节:载流量
IEC 60364-6-61:1986 建筑物电气装置 第6部分:验证
第61章:初始验证
IEC 60417-2:1998 设备用图形符号 第2部分:原型符合
IEC 60447:1993 人机接口(MMI)操作原理
IEC 60536:1976 电工电子设备防触电保护分类
IEC 60621-3:1979 严酷条件下户外场所电气装置(包括露天矿和采石场) 第3部分:设备及附件的一般要求
IEC 60947-2:1995 低压开关设备和控制设备 第2部分:断路器
IEC 60947-5-1:1997 低压开关设备和控制设备 第5部分:控制电路器件和开关元件 第1节:机电式控制电路器件
IEC 61131-1:1992 可编程序控制器 第1部分:一般要求
IEC 61131-2:1992 可编程序控制器 第2部分:设备技术要求和试验
3 定义
注:萦引表对本章中定义的术语和缩写按字母排序列出,并指出它们在本标准正文中出现的具体章节。
本标准采用下列定义,有关通用术语,参见IEC 60050(826)

3.11 控制设备 controlgear
主要用来控制受电设备的开关器件以及这些开关器件和相关联的控制、测量、保护及调节设备的组合的通称。也指由这些器件和设备以及相关联的内连接线、辅助件、外壳和支持结构件的组合体。〔GB/T 2900.18-1992中3.1.6〕
3.12 可控停止 controlled stop
一旦控制装置已识别到停止信号,指令信号就转换为零以停止起重机械的运动,但在停止过程中仍保持起重机械操动的电源。
3.13 起重机 crane
用于起升/下降和水平移动悬吊载荷的机械。
3.14 起重机隔离器
crane-disconnector
一种安装在起重机械上的手动隔离器件,用于断开(隔离)电源电路(如用于修理或维护工作)。
3.15 起重机开关 crane-switch
用于断开连接驱动装置电源的一种开关电器(如在紧急停止时使用)。
3.16 起重机电源开关
crane-supply-switch
用于断开起重机械输入电源的一种分断(隔离)和开关电器。
3.17 数字的 digital
采用离散信号工作,用数码或其他字符来表示的数据。
3.18 直接接触 direct contact
人或牲畜触及带电部分。〔IEV 826-03-05〕
3.19 管道 duct
专门用于放置和保护电线、电缆及母线的封闭通道。
注:管道类型包括电气导管(见3.8)、电缆管道装置(见3.6)和地下线槽。
3.20 电气工作区 electrical
operating area
某一电气设备的隔间或位置,只限于熟练的人员或经过训练的人员,不使用钥匙或工具,通过打开门或移去隔板就可接近,该隔间或位置标有清晰的警告标志。
3.21 电子设备 electronic
equipment
主要由电子元器件的构成电路的电气设备部件。
3.22 封闭电气工作区 enclosed electrical
operating area
某一电气设备的隔间或位置,只限于熟练的人员或经过训练的人员,通过使用钥匙或工具,打开门或移动隔板才可接近,该隔间或位置标有清晰的警告标志。
3.23 外壳 enclosure
保护设备免受某些外来影响和防止从任何方向直接接触带电部分的部件。〔IEV 826-03-12〕
注:取自现行IEV的定义,在本标准范围内作如下解释(见GB
4208-1993中3.1):
a)外壳为人或牲畜触及危险件提供保护;
b)用于防止或限制专用测试探头进入的隔板、成型孔或任何其他装置,不论是附着在外壳上的还是由封闭设备构成的,均视为外壳的组成部分,除非它们不用钥匙或工具就能移去。
外壳可以是:
——安装在起重机械上或独立于起重机械的柜体或箱体;
——由起重机械结构上的封闭空间构成的隔间(如箱形梁)。
3.24 设备 equipment
设备是一个通用术语,包括材料、装置、器件、用具、卡具、仪器以及作为电气装置一部分的或与其相连的类似件。
3.25 等电位连接 equipotential
bonding
把各个外露可导电部分和外部可导电部分作电气上的连接,以达到实质上的等电位。〔IEV 826-04-09〕
3.26 外露可导电部分 exposed
conductive part
一种可触及的、平时不带电、但在故障情况下可变为带电的电气设备的导电部分。
注:只有在故障情况下通过外露可导电部分才可能带电的电气设备的导电部分,不应被认为是外露可导电部分。〔IEV
826-03-02〕
3.27 外部可导电部分 extraneous
conductive part
不是电气装置的组成部分,且易于形成电位,通常为接地电位的导电部分。〔IEV 826-03-03〕
3.28 失效 failure
执行某项规定功能能力的终结。
注
1 失效后,该功能项有故障。
2 失效是一个事件,其区别于作为一种状态的“故障”。
3 本概念作为定义,不适用于仅包含软件的功能项目。
4 实际上,术语故障和失效常常混用。
3.29 故障 fault
功能项所表征的不能执行某种规定功能的状态。在预防性维护或其他有计划的操作过程中,或者因缺乏外部资源时的功能丧失除外。〔GB/T 14733.3 1993中191.05.01〕
注
1 故障经常是功能项本身失效的结果,但可能在失效前就已经存在。
2 英语“故障”一词及其定义与在GB/T 14733.3中191.05.01是一致的。但在机械领域中,法语和德语中常不用看上去符合定义的“panne”与“Fehlzustand”,而用“défaut”与“Fehler”。
3.30 防护装置 guard
借助于隔板专门用于提供防护的起重机械部件,按结构可称作箱、盖、屏、门、封闭体等。〔由GB/T
15706.1-1995中3.22导出〕
3.31 手持直接控制器件 hand-held
direct-control device
一种手动开关器件,在作业中,手持其外壳移动,直接作用在动力电路上。
3.32 危险 hazard
可能损伤或危害健康的起源。〔由GB/T 15706.1-1995中3.5导出〕
3.33 间接接触 indirect contact
人或牲畜触及在故障情况下带电的外露可导电部分。〔IEV 826-03-06〕
3.34 (电气)经过训练的人员(electrically)instructed person
一个受过电气熟练人员充分指导或在其监督下,能觉察电气风险并避免电气危险的人员。〔由IEV
826-09-02导出〕
3.35 (安全防护用)联锁 interlock(for safeguarding)
将防护装置或器件与控制系统互连和或将全部或部分电能分配给起重机械的一种电路接法。
3.36 限制装置 limiting device
用来防止起重机械或其部件超出设计极限(如空间极限、压力极限)的一种器件。〔由GB/T
15706.1-1995中3.23.7导出〕
3.37 带电部分 live part
在正常使用时带电的导体或导电部分,包括中性导体,但按惯例不包括PEN导体。
注:本术语不一定含有电击风险的意思。〔IEV 826-03-01〕
3.38 机械执行机构 machine actuator
一种用于引起起重机械驱动装置运动的动力机构。
3.39 机械(机器)machinely(machine)
一系列零部件的组合,其中至少有一个件是可运动的,具有适当的机械执行机构、控制和动力电路等。它们的组合具有一定应用目的,如物料的加工、处理、搬运或包装等。
“机械”这一术语也包含为完成同一应用目的,将其安排、控制得像一台完整机器那样发挥它们功能的机组。
“机械”也指改变机器功能用的可互换设备。市场提供这种设备是为了让操作者自己将其与一台机器或一系列不同机器,或与牵引机组装在一起。但该设备并不是备件或工具。
3.40 标记 marking
元器件生产厂用于区分元器件类符号或标牌。
3.41 中性导线(符号N) neutral conductor(symbol N)
连接到系统中性点的导线,它能有助于电能的传输。〔IEV 826-01-03〕
3.42 阻挡物 obstacle
用于防止无意直接接触,但不能防止有意直接接触的一种部件。〔IEV 826-03-14〕
3.43 过电流 overcurrent
超过额定值的各种电流,对于导线而言额定值指载流量。〔IEV826-05-06〕
3.44 (电路的)过载 overload(of a circuit)
过载是指电路在无故障情况下起过额定满载值时,电路的时间与电流的关系。
注
1 过载不宜作为过电流的同义词。
2 起重机械中“过载”一词也用于机械过载,其有可能会也不可能不会引起电气过载。
3.45 插头/插座组合 plug/socket combination
插头和插座、电缆耦合器和器具耦和器应符合IEC 60309-1的规定。
3.46 (触头元件的肯定或直接)断开操作(positive
or direct)opening action(of a
contact element)
通过非弹性构件(例如不依靠弹簧)使开关操动器完成规定动作而直接引起的触头分离。〔IEC
60947-5-1:1997中K.2.2〕
3.47 动力电路 power circuit
从电网向生产性操作的电气设备单元和控制电路变压器供电的电路。
3.48 保护接地电路 protective
bonding circuit
用于在绝缘失效情况下防止电击的保护导线和导电件的总和。
3.49 保护导线 protective
conductor
某些防电击措施所需的一种导线,用于与下列部分的电气连接:
——外露可导电部分;
——外部可导电部分;
——总接地端子
——接地极;
——电源接地点或人为中性接地点。
〔IEV 826-04-05〕
3.50 冗余技术 redundancy
应用一个以上器件或系统,或应用一个器件或系统的一个以上部分,以确保在一个无法执行所要求的功能时,另一个能执行所要求的功能。
3.51 参考代号 reference
designation
用来识别简图、清单、表图中的和电气设备上的项目的一种区分代码。
3.52 风险 risk
在危险状态下,可能损伤或危害健康的概率和程度的综合。〔GB/T 15706.1-1995中3.6〕
3.53 安全工作步骤 safe working
procedure
一种降低风险的作业方法。
3.54 安全防护装置 safeguard
用于保护人员免受现存或潜在危害的手段所使用的防护装置或保护器件。
3.55 安全防护 safeguarding
由采用称作“安全防护装置”的特殊装置构成的防止人员遭受危险的安全措施,这些危险不能通过设计合理地消除或充分地限制。
3.56 维修站台 servicing level
操作或维修电气设备时,维护人员通常站立的台面。
3.57 短路电流 short circuit
current
由于电路中的故障或连接错误造成的短路而引起的过电流。〔GB/T 2900.18-1992中6.1.26〕
3.58 (电气)熟练的人员 (electrically)skilled person
具有相关知识和经验,能觉察电气风险和避免电气危险的人员。〔由IEV 826-09-01导出〕
3.59 标准起重机械 standard hoisting
machine
由供方列入分类目录中的起重机械。
3.60 供方 supplier
提供与起重机械相关的电气设备或服务的一个实体(如制造厂、承包商、安装者、组装者)。
注:用户自己也作为供方。
3.61 开关电器 switching device
用来接通或断开一个或几个电路电流的器件。〔GB/T 2900.18-1992中3.1.7〕
注:一个开关电可能完成接通、断开动作之一或兼具两者。
3.62 端子terminal
提供器件与外部电路进行电气连接的导电部分。
3.63 不可控停止 uncontrolled stop
通过切除机械执行机构、所有制动器和/或其他产生动作的机械停止器件的动力来停止起重机械的运动。
3.64 用户 user
使用起重机械及其相关电气设备的实体。
4 基本要求
4.1 一般原则
本标准适用于各种起重机械和协同工作的一组起重机械的电气设备。
作为起重机械风险评价的整体要求的一部分,与电气设备危险有关的风险应进行评价。这就要在使起重机械及其电气设备的性能保持在可接受的水平的条件下,确定可接受的风险水平和对可能遭受危险人员的必要保护措施。
危险可能由下列几种原因引起,但不限于这些;
——电气设备的失效或故障,导致电击或电火的可能性;
——控制电路(或者与其有关的元器件)失效或故障,导致起策机械误动作;
——电源的干扰或故障,以及动力电路失效或故障造成的起重机械误动作;
——靠滑动或滚动接触保持电路连续性的消失,导致安全功能失效;
——来自电气设备外部或内部产生的电气干扰(如电磁干扰、静电干扰、射频干扰);
——蓄积的能量(电气或机械的);
——危害人员健康的噪声等级。
安全措施是包括设计阶段采纳的和要求用户实施的措施在内的综合措施。
起重机械的设计和开发首先应考虑降低风险。若这样还不够时应考虑安全防护和安全作业规程。安全防护包括使用安全防护装置和提示手段。
为了便于用户和供方之间依据与电气设备相关的基本环境和用户的附加要求达成协议,推荐使用本标准附录A所示的查询表。这些附加要求包括:
——根据起重机械(或一组起重机械)的类型和用途,提出附加的要点;
——便于维护和修理;
——提高操作的可靠性和简易性。
注:附录A不适用于标准起重机械;在供方样本中为用户提供了有关信息。
4.2 电气设备的选择
4.2.1 概述
电气设备和器件应适应于它们预定的用途,并且应符合现行有关国家标准和IEC标准的规定。
4.2.2 电源接触器的选择
带有辅助短路保护器件的接触器应按照GB 14048.4-1993中7.2.5的规定选择“2”型协调配合。
由安全控制电路启动,完成运动驱动机构停止功能的接触器,应按如下方法选择并和其他设备协调配置,确保不出现触头粘连现象或者即使触头粘连也不影响紧急停止功能。可采纳供方的建议(见7.2.9)。
注:直接控制支;运动且需要高频次动作的接触器,推荐其机械寿命至少为三百万次工作循环。(见附录A中30项和GB 14048.4-1993中5.3.4.3)。
4.3 电源
4.3.1 概述
电气设备应设计成在下列供电点(即在起重机电源开关处,见图3)供电的条件下能正常运行:
——按4.3.2或4.3.3规定的电源条件;
——按用户另行规定,见附录A:
——在用专用电源如4.3.4规定的车载发电机的情况下,按供方规定。
4.3.2 交流电源
电压 稳态电压值:0.9~1.1倍额定电压
注1:对于某些设备(如大型集装箱起重机),以及通过与用户的协商规定,供电点处(即起重机电源开关处,见图3)的电压范围可缩小至0.95~1.05倍额定电压。

电气设备应适合在4.4.2~4.4.8中规定的实际环境和运行条件中使用。当实际环境或运行条件超出规定范围时,供方和用户之间应有一个协议(见附录A)。
4.4.2 电磁兼容性(EMC)
电气设备不应产生高于其预定使用场合相适的电磁骚扰等级。此外,电气设备还应具有足够的抗电磁骚扰能力,使其在预期环境中能正常工作。
注
1 欧洲标准EN 50081和EN 50082-2给出了总的EMC射频和抗扰性极限值。那些要求IEC TC77和CISPR也在研究中。
2 产品标准(如GB 7251.1)可以规定更具体的EMC要求。
电气设备采取下述措施,可以限制产生的骚扰:
——在骚扰源处采用电容器、电感器、二极管、齐纳管、压敏电阻、有源器件或这些元件的组合加以抑制;
——设备采用有电气连接的导电外壳作屏蔽,以此构成对其他设备的隔离。
应避免不应有的静电放电效应、电磁能辐射和负荷馈线产生的骚扰,例如通过采用合适的滤波器和时间延迟,选择合适的电平,以及采用适合的布线型式和操作方法。
下述措施可以降低设备上的骚扰效应:
——电路接参考电位:每个电路连接到地平面(底座)(见图4)的端子上,也就是用大截面绝缘导线连接到地(如用截面积至少6mm2的6类导线(见表B4));
——设备导电结构件互连:导电构件采用尽可能短的大截面导线连接到公共点上。通过滑动触点或铰点与设备外壳相连的导电件应同时采用大截面编织导线与设备外壳连接(见8.3.3和图4)
——布线法:用静电屏蔽、电磁屏蔽、采用绞合线和电缆定向走线(即电缆交叉走线尽可能接近90°),或使导线走向平等于并尽可能接近于接地平面,以便低电平控制线尽量少受动力电缆的干扰影响;
——设备分离:把灵敏设备(如以脉冲和/或低信号电平工作的单元)同开关设备(如电磁继电器,晶闸管)分离、屏蔽或分离加屏蔽;低电平信号线与控制电缆和动力电缆分开。
4.4.3 环境温度
电气设备应能在预定环境温度中正常工作。对所有电气设备的最低要求是在环境温度0~40℃范围内应能正常工作。对于高温环境(如热带地区、钢厂、造纸厂)和寒冷的环境,必须规定附加要求(见附录A)。
4.4.4 湿度
当最高温度为40℃下的相对湿度不超过50%时,电气设备应能正常工作。在较低温度下可允许较大的湿度(如20℃时为90%)。
应通过对电气设备作适当的设计,或者在必要场所采用适当的附加设施(如内装加热器、空调器、排水孔)来避免偶然性凝露的有害影响。
4.4.5 海拔高度
电气设备应能在海拔高度1 000m以下正常工作。
4.4.6 污染
电气设备应适当保护以防止固体物和液体的侵入(见12.3)
若电气设备安装处的实际环境中存在污染物(如灰尘、酸类物、腐蚀性气体、盐类物)时,应对电气设备的适应性加以考虑(见附录A)。
4.4.7 离子和非离子辐射
当设备受到辐射(如微波、紫外线、激光、X射线)时,应采取附加措施,以避免设备误动作和加速绝缘的老化。供方与用户之间可能有必要达成专项协议(见附录A)。
4.4.8 振动、冲击和碰撞
应通过选择合适的设备,将设备远离振源安装或采取抗振措施等途径防止(由起重机械及其有关设备产生或实际环境引起的)振动、冲击和碰撞的不良影响。供方和用户之间可能有必要达成专项协议(见附录A)。
4.5 运输和存放
电气设备应通过设计或采取适当的预防措施以保障能经受得住在-25℃~+55℃的温度范围内的运输和存放,并能经受温度高达70℃、时间不超过24h的短期运输和存放。应采取适当的措施防止潮湿、振动和冲击的影响,以免损坏电气设备。
注:用PVC绝缘电缆的电气设备在低温下易损坏。
4.6 设备搬运
对于运输时必须从起重机械上拆下或独立于起重机械的重量大和体积大的电气设备,应提供合适的手段,以供起重机或类似设备进行搬运。
4.7 安装和操作
应按照供方说明书安装和使用电气设备,并建议考虑人类工效学原理。
5 引入电源线端接法和切断开关
5.1 引入电源线端接法
建议在可行的地方把起重机械电气设备连接到单一电源上。如果需要用其他电源供电给电气设备的某些部分(如电子电路、电磁离合器),这些电源应尽可能取自组成起重机械电气设备一部分的器件(如变压器、变流器)。对于大型复杂的起重机械需要多个引入电源(见5.3.5.1)。
除非随起重机械提供一连接电源的插头(见5.3.2d),否则建议电源线连接到起重机电源开关上,如果这样做不到,则应为电源线提供独立的接线端子。
使用中线之处应在起重机械的技术文件(如安装图和电路图)中清楚标明,并应对中线提供标有N的独立绝缘端子(见附录A)。
在电气设备内部,中线和保护接地电路之间不应相连,也不应使用PEN兼用端子。
例外:在某些复杂起重机械的情况下可使用TN-C-S系统,假如这些系统符合13.8.2和IEC 60364-3:1993中312.2的图31B规定。
所有引入电源端子都应按GB/T 4026作出清晰的标记,外部保护导线端子记见5.2。
5.2 连接外部保护接地系统的端子
对每个引入电源,应在有关相线端子的邻近处(见8.2.1)设一端子,用于将起重机械接到外部保护接地系统或接到外部保护导线,这取决于电源分配系统,并应符合有关的安装标准。
这种端子的尺寸应适合与表1规定截面积的外部铜保护导线相连接。
如果外部保护导线采用非铜材料,则端子尺寸应作相应的选择(见8.2.2)。
在每个引入电源点,为了避免与起重机械和固定设备的连接点混淆,外部保护导线端子应使用字母标志PE(见GB/T 4026)来标明。
用于把起重机械部件或分组件连接到起重机械保护接地电路的其他端子应使用IEC 60417-2:1998中5019的图示符号
或用字母PE(优先选用图示符号),或用黄绿组合的双色来标记。
表1 外部保护铜导线的最小截面积

5.3 电源切断(隔离)和开关电器
5.3.1 概述
电源切断和/或开关功能应由下列器件完成:
——起重机电源开关(见5.3.5)
——起重机隔离器(见5.3.6)
——起重机开关(见5.3.7)
(见图3)
5.3.2 型式
电源切断和开关电器应是下列型式之一:
a)符合GB 14048.3表Ⅲ带或不带熔断器的隔离开关,使用类别SC-23B或DC-23B(见GB
14048.3-1993中8.3.5);
b)符合BG 14048.3具有一个辅助触头,带或不带熔断器的隔离器,在任何情况下,辅助触头都使开关电器在隔离器主触头断开之前先切断负载电路;
c)符合IEC 60947-2适合于绝缘的断路器;
d)额定电流不超过16A且总额定功率不超过3kW的起重机械用插头/插座组合;
e)在下列条件下,用于向起重机械供电的软电缆(卷筒式、悬挂式)用的插头和插座或器具耦合器(见3.45):
1)使用没有分断能力的插头和插座或器具耦合器,在负载状态下则不能接通和分断电路;
2)插头和插座或器具耦合器连接到引入电源部分的防护等级应至少为IP2X或IPXXB。
如果具有分断能力的插头/插座组合用作起重机电源开关,则应符合5.3.5.3的要求(见14.4.5)。
5.3.3 技术要求
当电源切断和开关电器采用5.3.2规定的前三种型式之一(即隔离开关、与开关电器一起使用的隔离器或断路器)时,其应满足下述全部要求:
——把电气设备从电源上隔离,仅有一个“断开”(隔离)和一个“接通”位置,清晰地标记了“○”和“|”(IEC 60417-2:1998中5008和IEC 60417-2:1998中5007符号;10.2.2),并有依照IEC 60447的操作方向。此外,断路器在“○”和“|”之间有一个复位(脱扣)位置,也看作满足本条要求。
——所有触头间依照GB 14048.3要有足够的隔断距离,有可见的间隙或在所有触头确实没断开之前不能指示“断”(隔离)的位置指示器;
——有一个外部操作装置(如手柄)(例外:动力操作的开关设备有其他方法断开时,就不需要从外壳外操作)。手柄建议用黑色或灰色(例外:见10.7.4);
——在“断开”(隔离)位置上提供能锁住的机构(如挂锁)。当锁住时,应防止手动或遥控接通电路。
——切断电源电路的所有带电导线;但对于TN电源系统,中线可以切断也可以不切断。要注意在有些国家中采用中线时,强制要求切断中线。
——有足以切断功率最大电动机堵转电流及所有其他电动机和/或负载的正常运行电流总和的分断能力。分断能力计算值可以用一个经过验证的差异因数加以降低。
5.3.4 操作手柄
电源切断手柄和开关电器手柄应易于接近,安装在维修站台上方0.6m~1.9m处。推荐的上限值为1.7m。

*)此处可以是接触器、隔离开关或断路器。
图3 电源系统示例
5.3.5 起重机电源开关
注:此条不适用于本机设有车载电源而又没有可切换外接电源的起重机械。
5.3.5.1 概述
起重机电源开关应具备
——为进行修理和维护工作(如在起重机械集电导线上进行维护工作)从引入电源上断开(隔离)连接起重机械的集电导线,滑触线或电缆;
——在需要紧急停止和/可紧急断电时切断电源(见9.2.5.4)。
在使用两个或多个引入电源时,每个电源都应设有起重机电源开关以及保护联锁装置,以确保正确操作。
5.6的要求适用于起重机的电源开关。
5.3.5.2 型式
起重机电源开关应是5.3.2中规定的型式之一。
若起重机械位于建筑土地,则工地配电盘上的装置可用以实现起重机电源开关的功能。5.6的要求可以通过来达到,不管这种断路装置是否可以直接监视。
5.3.5.3 技术要求
对于单台起重机械,电源开关的分断能力的应足以切断功率最大驱动装置在子堵转条件下的最大电流与其他可能同时运转的各驱动装置额定运行电流之和。
注:如果按照给定的作业条件,在一条公共电源线上有一台以上起重机械,分断电流可采用一个经验证过的差异因数。
如果起重机电源开关按9.2.5.4.3作为紧急切断开关,应能在靠近起重机械并易于接近的地方切断(远程或直接)此开关。
只有在紧急切断器件复位后,由紧急切断器件程断开的起重机电源开关才可能重接。
当几个并联的起重机电源开关向集电导线或滑触线馈电时,它们应装有保护联锁装置以确保正确操作。
当起重机电源开关用于向裸导线或滑触线馈电或者起重机电源开关采用远程控制器时,建议起重机电源开关应尽可能设置在从操作位置能看到导线或滑触线的地方。
上述各项要求刀适用于特殊情况,例如:
——有两路主电源导线有触线或集电器系统,其中任一路均可用于向起重机械供电:
——主电源导线或滑触线分成隔离段时。
在这些要求不适用的情况下,应采用其他措施提供必要的安全性。
5.3.6 起重机隔离器
5.3.6.1 概述
一台起重机械应装有一个单独的起重机隔离器,以便在修理和维护时能将电气设备隔离,并且在起重机械进行机械工作期间防止意外起动,但下列情况除外:
——如果在预定起重机隔离器位置和5.3.7中规定的起重机开关之间的布线系统中没有连线和分支,可不必装设起重机隔离器,而由起重机开关起隔离器的作用并满足5.6的要求。
——地面操纵的单台起重机械,当起重机电源开关兼有隔离器作用时,不要求装设起重机隔离器。
注:地面操纵起重机械是指由悬挂式控制站、固定式遥控控制站或便携式控制站操纵。
——在可用其他措施使电压降到零并保持为零值的地方(如锁住柴油发电机的燃油供给或起动机构等),不需要起重机隔离器;
——电源电压大于1kV(a.c.)的起重机械,且起重机械上装有1台或多台变压器以获得低压电源时,在每个变压器的二次侧需要设置一个或多个起重机隔离器来隔离各个低压部分(见5.5)。与每一起重机隔离器相接的回路应明显可辨,例如通过采用:
——间隔;
——隔板;
——标记和标签。
注:优先采用只用一个起重机隔离器来隔离起重机械电源。
5.3.6.2 型式
如果已有措施防止无意和未经许可的断开起重机隔离器,则起重机隔离器至少应满足GB 14048.3中对隔离器规定的要求,否则应满足GB 14048.3中对隔离开关规定的要求。起重机隔离器操动器应满足5.3.4的要求。
当可拆卸集电器或插头/插座组合执行相同功能时,可以作为起重机隔离器使用。
对于具有可切换电源系统的起重机械,如果电源转换开关具有断电中间档位且满足5.3.6的要求,可将电源转换开关用作起重机隔离器。
5.3.6.3 要求
应适当采用5.4.5.5和5.6的要求。
5.3.7 起重机开关
5.3.7.1 概述
每台起重机械应备有一个或多个可从操作控制站操作的起重机开关,用于紧急停止所有运动驱动装置,必要时用于切断其他设备的电源。
断电时不能继续吸住载荷的载荷保持装置(如电磁铁、气动吸持装置),应从起重机开关的电源侧供电。
例外:
紧急停止功能由其他措施实现时,下列情况可以不设起重机开关:
——只有起升机构是电动的起重机械;
——小车运行是手动或由500W以下电动机驱动的地面操纵单轨小车运输系统。
5.3.7.2 型式
起重机开关至少应满足GB 14048.3中对开关规定的要求,该要求由5.3.2a)或c)中规定的器件之一来达到,也可使用按4.2.2选择的接触器。
5.3.7.3 要求
应适当采用5.3.3和5.3.4的要求。
5.3.8 特殊电路
5.3.8.1 概述
修理和维护工作时不予断开的电路视为特殊电路,特殊电路应满足5.3.8.2~5.3.8.4的要求。
注:特殊电路可以是如下电路:
——插座引出的电路和照明电路;
——安装在起重机械上的电梯、检修工具及检修起重机用的电路;
——空调和通风装置电路;
——履行安全作用的装置,如防碰撞装置,航空照明的电气设备电路;
——火警系统电路;
——通讯电路或数据传输线路。
5.3.8.2 电源
特殊电路使用一个满足5.6要求的专用隔离器(见图3),从5.3.6中规定的起重机隔离器的电源侧供电。
5.3.8.3 安装
特殊电路的设计和安装应做到在对起重机械进行修理和维护工作时不使用裸露的导线、滑触线或滑环组件。
5.3.8.4 标记和识别
特殊电路应由下述方法识别:
——在5.3.8.2中的专用隔离器附近放置永久性警告标志。
——维护手册中包含的相应说明;
——在每个特殊电路附近放置一个永久性警告标志,或将特殊电路与其他电路分开;或按14.2.4用颜色识别。
5.4 防止意外起动的断开器件
应配备防止意外起动的断开器件,对于整台起重机械来说,起重机隔离器(见5.3.6)可满足这一功能要求。
当有必要对起重机械的独立部件进行工作时,对每个要求单独断开的部件应配备附加断开器件。只有当位于封闭电气工作区(见3.2.2)内时才可隔离器、可插拔式熔断体或可插拔式连接件。
这种器件应具备:
——适用及使用方便;
——适于安装;
——易于识别,即用于设备的哪部分或者哪个(些)电路(如必要时用耐外性标记);
——采取适当措施防止断开器件未经许可的、无意的、和/或错误的接通(5.6中允许的除外)。
当采用其他方法时(如使用控制电路断开接触器),这种断开方法应仅用于下述场合;
——没有对起重机械进行重大拆卸;
——需相对短时的调整;
——电气设备没有进行工作,但以下情况可以除外;
●无电击(见第6章)和灼伤的危害;
●不会由于工作而妨碍断开;
●该项目作是次要的(如不影响现存配线就可更换插入式器件)。
注:本标准对非电力源的断开未作规定(正在研究中)。
5.5 断开电气设备的器件
应配备断开(隔离)电气设备的器件以便工作时无电击或灼伤的危险。对于整台起重机械来说,起重机隔离器(见5.3.6)可满足这一功能要求。
当有必要对起重机械电气设备的独立部件进行工作时,对每个要求互为独立的部件应配备附加断开器件。只有当位于封闭电气工作区内时才可使用隔离器、可插拔式熔断体或可插拔式连接件。
这种器件应具备
——适用和使用方便;
——安装位置合适;
——易于识别,即用于设备的哪部分或哪个(些)电路(如必要时用耐久标记);
——采取适当措施防止断开器件未经许可,无意和/或误接通(5.6中允许的除外)。
5.6 对未经许可,无意和/或误接通的防护
为了防止发生未经许可、无意和/或误接通,对5.4和5.5中描述的可以配备能将其锁定在断开位置或断开状态的装置(如挂锁)的器件,应为其配备这种装置。其他防止连接的方法(如警告标志)可用在位于封闭电气工作区内的无锁定功能的断开器件(如可插拔式熔断体或可插拔式连接件)上。
但是,当按照5.3.2d)或e)使用插头/插座组合时,应将其设置在操作人员能直接监视的地方,而不需要配备锁定在断开位置的装置。
6 电击的防护
6.1 概述
电气设备应具备在下列情况下保护人员免受电击的能力:
——直接接触;
——间接接触。
为实现此类防护而推荐的措施列于6.2、6.3和6.4中,它们来源于GB 14821.1。若这些推荐性措施不适用,可采用GB 14821.1规定的其他措施。
6.2 直接接触的防护
6.2.1 概述
电气设备的每个电路或部件,都应采取6.2.2或者6.2.3所规定的措施,并在必要时采取6.2.4规定的措施。若这些防护措施不适用,可采用GB14821.1—1993中6.2、6. .3和6.4规定的直接接触防护措施(如:使用隔板、通过置于伸臂范围以外,使用阻挡物、采用防止接近的结构和安装技术)(见6.2.5与6.2.6)。
当电气设备安装在对所有人员,包括残疾人和儿童都开放的地点时,应采用具有相当于IP4X或IPXXD(见GB 4208)的直接接触最低防护等级的6.2.3和6.2.2中规定的措施。
6.2.2 采用外壳进行防护
带电部分应安装在符合第4章、第12章和第15章有关技术要求,且直接接触防护等级不低于IP2X或IPXXB(见GB 4208)的外壳内(见IEC 60536)。
如果壳体上表面是易于接近的,则上表面直接接触的最低防护等级应为IP4X或IPXXD。
只有在下列一种情况下才允许开启外壳(即开启门、罩、盖板及类似件):
a)由熟练的人员或经过训练的人员开启外壳时必须使用钥匙或工具,对于封闭电气工作区,可能适用特殊的技术要求(若适用,见GB 14821.1、IEC 60364-4-47或GB 7251.1)。
门内所有带电部分的直接接触防护等级应至少为IPIX或IPXXA。如果在设备仍处于连接状态对电器重新整定或调整时,可能触及的带电部分的直接接触防护等级应至少为IP2X或IPXXB。
b)开启外壳之前先切断其内部的带电部分。
该技术要求可通过门与隔离器的联锁来实现,使得只有在隔离器断开后才能开门,以及将门关闭后才能接通隔离器。但是可允许熟练的人员用供方规定的专用器件或工具解除联锁,条件是:
——只要解除联锁,就能断开隔离器;
——一旦门闭合,联锁自动恢复。
当有多个门能接近带电部分时,更应注意执地本条要求。
应对隔离器件断开后仍然带电的所有部分进行直接接触防护,其防护等级至少为IP2X或IPXXB(见GB 4208)。这些部分应按17.2规定标明警告标志(见14.2.4按颜色识别导线)。
下列带电部分可不作标记:
——只是由于连接到联锁电路而可能带电的部分以及按照14.2.4用颜色识别可能带电的部分;
——单独安装在独立外壳中的隔离器电源端子。
c)只有当所有带电部分直接接触的防护等级至少为IP2X或IPXXB时(见GB4208),才允许不用钥匙或工具和不断开带电部分去开启外壳。用隔板防护时,应要求使用工具才能拆除隔板,或一旦隔板拆除,所有被防护的带电部分能自动断电。
6.2.3 采用带电部分绝缘层进行防护
用绝缘层保护的带电部分应用绝缘层完全覆盖住,绝缘层只有在被破坏后才能去掉。绝缘层应能够承受正常工作条件下可能遇到的机械的、化学的、电气的及热的应力作用。
油漆、清漆、有色漆及类似产品通常不适于单独用作防护正常工作条件下的电击。
6.2.4 对剩余电压的防护
剩余电压高于60V的带电部分都应在电源电压切断后的5s之内放电到60V或60V以下,只要此放电速率不妨碍电气设备的正常功能。元件储容量不大于60μC时可免除此要求。如果此放电速率会干扰电气设备的正常功能,应在显见位置或靠近带电容的外壳上作提醒注间危害的耐久性警告标志,并说明在打开外壳之前必要的延时。
对拔出后会裸露出导电部分(如插针)的插头或类似器件,放电时间不应超过1s,否则这些导电部分应加以防护,直接接触的防护等级至少为IP2X或IPXXB。如果1s的放电时间和至少为IP2X或IPXXB的防护等级都达不到(如集电导线、滑触线上的可拆集电器或滑环组件,见13.8.4),应采用附加断开器件或适当的警告装置。
6.2.5 采用隔板1)进行防护
1)“隔板”等同于GB14821.1-1993中的“遮拦和外护物”。
采用隔板进行防护,按GB 14821.1-1993中6.2。
6.2.6 置于伸臂范围以外的防护或用阻挡物的防护。
置于伸臂范围以外的防护,按GB 14821.1-1993中6.4。用阻挡物的防护,按GB 14821.1-1993中6.3。
注:栏杆被认为是一种阻挡物。
对于防护等级低于IP2X的集电导线系统或滑触线系统,见13.8.1。
6.3 间接接触的防护
6.3.1 概述
间接接触的防护用来防止带电部分与外露可导电部分之间绝缘失效时所产生的危险情况。
对于电气设备的每个电路或部分,至少应采用6.3.2~6.3.3规定的措施之一。集电导线。滑触线和滑环组件应满足13.8.1的要求。
间接接触的防护可由下述措施达到:
——防止危险接触电压出现的措施;
——在接触电压尚未产生危险前自动切断电源。
这些措施需要下述因素之间的配合:
——电源和接地系统的类型;
——保护接地系统不同元件的阻抗值;
——用于检测绝缘失效的各保护器件的特性。
注:电分类和保护措施见IEC 60536。
6.3.2 防止产生危险接触电压的措施
6.3.2.1 概述
防止产生危险接触电压的措施如下:
——采用Ⅱ类电气设备或等效绝缘;
——电气隔离;
——电源系统的选择或设计。

b)电路的一端或该电中电源的一点应连接到保护接地电路上;
c)PELV电路的带电部分应与其他通电电路电气隔离。电气隔离应不低于安全隔离变压器的初级和次级电路之间的要求(见GB 13028);
d)每条PELV电路的导线均应与其他任何电路的导线作有形隔离。当此要求不能满足时,应满足14.1.3的绝缘要求;
e)PELV电路的插头和插座应遵守下列要求:
1)插头应不能插入其他电压系统的插座内;
2)插座应不接受其他电压系统的插头。
6.4.2 PELV电源
PELV电源应是下列型式之一:
——安全隔离变压器;
——具有与安全隔离变压器相同安全等级的电源(如带有等效绝缘绕组的电动发电机);
——电化学电源(如电池)或其他与较高电压电路无关的电源(如柴油发电机);
——符合相应标准的电子电源,这些标准规定所采取的措施应确保即使在内部故障情况下输出端子的电压仍不会超过6.4.1中的规定值。
7 电气设备的保护
7.1 概述
本章详述了为防止电气设备受到下述情况影响而需采取的措施:
——由短路引起的过电流;
——过载电流;
——异常温度;
——失压或欠压;
——电动机超速;
——接地故障;
——相序错误;
——由于雷电和开关浪涌而引起的过电压。
如果这些异常情况中的一种引起保护器件动作而造成运动驱动电机停止运转,则应防止自行重新起动。
注:该要求可借助于下述示例中的装置来满足:
——只在所有操作控制器件均处于断开位置时才能接通的起重机开关;
——自动返回到断开位置时操作控制器件。
如果仅是起重机械的一部分或协同工作的一组起重机械的一部分受到保护器件动作的保护,则该动作应使相应的控制系统作出响应以确保协调一致(见9.3.4)。

7.2.8 过电流保护器件的设置
过电流保护器件应安装在电源引入处的受保护导线上,如果不能这样安装,对载流量小于电源线的支路导线,不需要设过电流保护,但需通过下列全部措施来减小短路的可能性:
——导线载流量不小于负载所需容量;
——连接过电流保护器件的每根导线长度均不大于3m;
——导线由外壳或管道保护。
如果上述措施不适用,应采用GB 7251.1规定的措施。
7.2.9 过电流保护器件
额定短路分断能力应不小于保护器件安装处的预期故障电流。若过电流保护器件的短路电流包括来自除电源外的其他电流(如来自电动机、功率因数补偿电容器),则应考虑这些电流。
如果在电源侧已安装具有分断能力的保护器件(如电源线过电流保护器件见7.2.2),则负载侧允许选用较低分断能力的保护器件。此时,两套器件的特性应一致,以便经过两套串接器件的能量(I2t)不超过其耐受值,因而不会损伤负载侧过电流保护器件和由其保护的导线(见IEC 60947-2:1995附录A)。
注:采用这种协调布置的过电流保护器件可能导致两个过电流保护器件都工作。
动力电路的过电流保护器件包括熔断器和断路器。也可采用在受保护电路中为降低或限制电流而设计的电子器件。如果采用熔断器,应选取用户所在地区容易买到的类型,或与用户商定备件的供货。
7.2.10 过电流保护器件的额定值和整定值
熔断器的额定电流或其他过电流保护器件的整定电流应选择得尽可能小,但应满足预期的过电流通过(如在电动机起动或变压器合闸期间)。当选择这些保护器件时建议对控制开关器件在过电流情况下的抗损坏予以考虑(如控制开关电器触头的熔焊)。
过电流保护器件和额定电流或整定电流取决于受该器件保护的导线的载流量(按13.4)。应考虑到与保护电路中其他电气器件协调的要求。并应遵照这些电气器件供方的推荐。
7.3 电动机的过载保护
额定功率超过2kW的电动机应配备电动过载保护,额定功率低于2kW的电动机则推荐配备电动机过载保护。在不能自动切断电动机运行的场合(如消防泵),应由过载检测装置为操作人员发出一个能令其作出反应的警告信号。对于不会过载的电动机(如力矩电动机、受机械过载保护器件保护或受到运动尺度限定的运动驱动装置),可省去过载保护器件。电动机的过载保护可用过载保护器、温度传感器或电流限制装置等器件来实现。
注:过载保护器件检测超过额定满载值电路的时间和电流间的关系(I2t),并引发相应的控制响应。
除中线外每条带电导线都应提供过载检测(按照IEC 60034-11有电流限定或内装热保护时除外)。然而,过载检测器件的数量可按用户要求减少(见附录A)。对单相电动机或直流电源,检测器件只允许接在未接地带电导线中。
若过载保护是用分断电路的办法实现,则开关电器应断开所有带电导线,中线不必断开(见7.2.3)。
对于要求频繁起动、制动的特殊工作制电动机(如用于快速移动、锁紧,快速反转、高速钻孔等电动机),由于保护器件保护绕组的时间常数差异较大,配置过载保护可能是困难的。建议采用为特殊工作制电动机专门设计的保护器件。
在可能影响冷却效果的环境中(如多尘环境),建议采用带内装式热保护的电动机(IEC 60034-11)。由于电动机种类不同,内装式热保护不一定能确保对转子堵转或缺相提供保护,此时应提供附加保护措施。
7.4 异常温度的保护
能达到或造成异常温度以致引起危险情况的发热电阻或其他电路,应提供恰当的检测办法以激发适当的控制响应。短期工作制或者冷却不良的带发热电阻的电路可作为这类示例。
7.5 对电源中断或电压下降随后复原的保护
电源中断或电压下降会引起危险情况下,例如损坏重机械或载荷,则应在预定电压值下提供欠压保护(如断开起重机械电源)。对于手动控制的起重机械,可不用欠压保护。
若起重机械的运行允许电压短时中断或下降,则可配置带昝的欠压保护器件。欠压保护器件的工作不应妨碍起重机械的任何停车控制的操作。
7.6 电动机的超速保护
对可能发生超速并可能引起危险的情况,则应按9.5所考虑到的措施提供超速保护。超速保护应激发适当的控制响应。
注
1 例如,该保护可由离心式开关或限速监测器构成。超速保护的作用是使电动机的机械速度极限或其载荷不被超过。
2 例如,在装有直流电动机的起升机构上就有可能出现不允许的高速。
7.7 接地故障/剩余电流的保护
除了按6.3的规定提供自动切断电源的接地故障/残余电流保护外,这种保护还能用于减小由于其接地故障电流小于过电流保护的检测值而引起的对电气设备的损害。
只要满足电气设备的正常运行,这些保护器件的整定值应尽可能小。
7.8 相序的保护
如果电源电压的相序错误会引起危险情况或损坏起重机械,则应提供相序保护。
注:可引起相序错误的使用条件包括
——起重机械从一个电源转换到另一个电源;
——流动式起重机带有连接外接电源的设备。
带有辅助电源连接装置(如修理用)或可换切电源(如紧急情况下)的起重机械应具有相序保护器件以确保电动机的正确旋转。
7.9 雷电和开关浪涌引起的过电压的保护
可以装设保护器件对由雷电或开关浪涌引起的过电压提供保护。
抑制由雷电引起过电压的保护器件应连接到电源切断和开关电器的引入端。
抑制由开关浪涌产生过电压的保护器件应跨接到所有需要这种保护的设备的端子上。
8 等电位连接
8.1 概述
本章提出保护接地和工作接地两者的要求。图4说明这些概念。
8.2 保护接地电路
8.2.1 概述
保护接地电路由下列部分组成:
——PE端子(见5.2);
——电气设备和起重机械的导电结构件;
——起重机械设备上的保护导线,包括作为电路部分的滑动触头。
对具有车载电源的流动式起重机,其保护电路、外露可导电部分和外部可导电部分均应连接到保护接地端子以对电击提供防护。当流动式起重机也可连接外部引入电源时,保护接地端子应是外部保护导线的连接点。
注:当电能的供给是装在设备的固定,活动或可拆件内的车载电源,且没有外部连接电源时(如不连接车载电池充电器时),不需要将这些设备接到外部保护导线上。
保护接地电路所有部分应设计成能够承受保护接地电路中可能流过的接地故障电流所造成的最高热应力和机械应力。
电气设备或起重机械的任何结构部分可以用作保护接地电路部分,只要该部分满足GB 16895-.3的要求。
如果采用IT配电系统,起重机械的结构应同时用作保护接地电路和接地故障监视系统的部分。若提供的所有设备符合6.3.2.2的规定,则不需要结构件接地。

图4 起重机械电气设备等电位连接示例
8.2.2 保护导线
保护导线应按14.2.2做出标记。
应采用铜导线。在使用非铜质导线的场合,其单位长度电阻不应超过允许的铜导线单位长度电阻,并且它的截面积应不小于16mm2。
保护导线截面积应按下列标准的技术要求来决定:
——GB 16895-.3-1997的543;
——GB 7251.1-1997的7.4.3.1.7,如适用。
与设备相连的相线的截面积与有关保护导线的截面积的对应关系若符合表1的规定,大多数情况下都能满足这个要求。
8.2.3 保护接地电路的连续性
电气设备和起重机械的所有外露可导电部分都应连接到保护接地电路上,若由于任何原因(如日常维护)拆掉一部分时,则不应使余留部分的保护接地电路中断。
万一绝缘失效,保护接地电路任何部分的电阻不应导致外露可导电部分呈现危险的接触电压(见GB
1689.5-1997中543.2和543.3)。
连接件和连接点的设计应确保不受机械、化学或电化学的作用而削弱其导电能力。当外壳和导体采用铝材或铝合金材料时,应特别考虑电蚀问题。
金属软管、硬管和电缆金属护套不应用作保护导线。然而,这些金属管道和所有连接电缆的金属护套(如编织铠甲、铅护套)均应连接到保护接地电路上。
电气设备安装在罩、门或盖板上时,应确保其保护接地电路的连续性,并建议采用保护导线(见8.2.2)。否则在设计上应采用具有低电阻的坚固件、铰链或滑动触头(见19.2)。
应采用适当的措施(如监视)来确保易受损电缆(如拖曳软电缆)中保护导线的连续性。
对于采用集电导线,滑触线和滑环组件的保护导线的连续性的要求见13.8.2。
起重机械的钢轨可连接到保护接地电路上,但是,它们不能取代从电源到起重机械的保护导线(如电缆、集电导线或滑触线)。
准备用于不同场合的起重机械(如可移动式起重机械)电气设备的设计应满足不同的电源情况。当采用IT或TT系统时,起重机械的保护接地电路应连接到现场的接地系统上。
8.2.4 禁止开关器件接入保护接地电路。
保护接地电路中不应接有开关电器、过电流保护器件(如开关,熔断器),也不应接有这些器件的电流检测装置。在保护导线中唯一允许中断的是连接件,为了进行某些试验或测量,只能由经过训练的人员或熟练的人员且最好用工具断开连接件(见GB 16895.3-1997中543.3)
例外:在保护接地电路中允许接入不中断保护接地电路的器件,这些器件具有在任何情况下确保电路中任何部分不产生危险电压的电气性能,并且不削弱该电路的性能。
8.2.5 不必连接到保护接地电路上的零件。
有些零件安装后不会构成危险,那么就不必把它的外露可导电部分连接到保护接地电路,因为
——这些零件不能大面积触摸到,不能用手握住或尺寸很小(约小于50mm×50mm);
——这些零件的位置使得既不大可能接触带电部分,绝缘也不易失效。
这适用于螺钉、铆钉和铭牌等小零件,以及装在电控柜内的与尺寸大小无关的零件(如接触器或继电器的电磁铁、器件的机械部分)(见IEC 60364-4-47:1981,471.2.2)。
8.2.6 保护接地电路的断开
当保护接地电路的连续性可通过可移式集电器或插头/插座组合的方法中断时,保护接地电路只应在通电导线全部断开之后再断开,且在任何一条带电导线重新接通之前先行恢复。这也适用于可移动的或可插拔的插入式器件(见14.4.5)。
插头/插座组合的金属外壳应连接到保护接地电路上,用保安特低电压(PELV)电路时除外。
8.2.7 保护导线的连接点
所有保护导线应按14.1.1进行端子连接。保护导线的连接点不应有其他功能且不应用于,例如,系到或连接到器具或零件上。
每个保护导线连接点都应有标记,采用IEC 61417-2:1998中5019的
符号。
或者,连接保护导线的接线端子可以用黄/绿组合双色标记。PE字母的使用见5.2。
8.3 工作接地
8.3.1 概述
工作接地的目的是为减小
——绝缘失效时对机械工作所产生的影响(见8.3.2);
——电骚扰对灵敏电气设备工作的影响(见8.3.3)。
8.3.2 接至保护电路
一种对因绝缘失效而产生非预期运行的防护方法是把由变压器供电的控制电路的一边接到保护接地电路上,而控制器件则按9.1.4进行连接来实现。这种连接应设在控制电路电源的引入处。
应注意按6.3.2.2和6.3.2.3允许的省略把器件的外露可导电部分接到保护接地电路的连接方法,本条的安全措施可视为无效。
8.3.3 接至公共基准电位
在为电气设备内部的高频信号作基准电平(如底座或地平面)的低阻抗网络中,利用低电阻导体可以降低骚扰作用。接地连接的设计应尽可能减小对地阻抗。这种端接点应标明IEC 60417-2:1998中5020
符号(见图4)。
如能满足第6章和第7章的要求,允许连接至并非由保护接地电路提供的公共基准电位上,或者连至外部接地(无噪声接地)导线连接的端子上。
只要合适,便应使用独立点尽可能靠近PE端子直接接地(见图4中①),或接至设备自身的外部(无噪声)接地导体端子(见图4中②)以使共模干扰减至最小。无噪声端子应标明IEC 60417-2:1998中5018
符号。
9 控制电路和控制功能
9.1 控制电路
不适用于手持直接控制器件(见3.31)。
9.1.1 控制电路电源
控制电路电源应由变压器供电,这些变压器应有独立的绕组。如果使用几个变压器,建议这些变压器的绕组按与二次电压同相位的方式连接。
如果直流控制电路连接到保护接地电路(见8.2.1),它们应由交流控制电路变压器的一个单独的绕组供电或由另外的控制电路变压器供电。
采用单一电动机起动器和不超过两只控制器件(如联锁器件、起动/停止控制站)的机械,不强制使用变压器。
为进行试验和/或维护,带有一台以上电气驱动装置的起重机械应配置不给其动力电路供电而能给驱动装置控制电路供电的装置。
9.1.2 控制电路电压
控制电压值应与控制电路的正常运行协调一致。当用变压器供电时,控制电路的额定电压不应超过277V。
9.1.3 保护
控制电路应按7.2.4和7.2.10提供过电流保护。
9.1.4 控制器件的连接
一边连接(或预期连接)到保护接地电路的控制电路中(见7.2.4),各电磁操作件工作线圈 的一端(最好是用同标记端)或任何其他电器件的一端应直接连接到该控制电路的接地边。所有操纵线圈或电器件的控制器件的开关元件(如触头),应连接在线圈电器件的另一端子与控制电路的另一边(即未接到保护接地电路的一边)之间。
允许下列例外:
——保护器件(例如过载继电器)的触头可以连接在连接保护接地电路的那一侧和线圈之间,只要这些触头与继电器触头工作在其上的控制器件线圈之间的导线是处于同一电柜内,且连接线很短,出现接地故障的可能性不大。
——满足9.4.3.1的技术要求的场合。
9.2 控制功能
9.2.1 起动功能
起动功能应通过给有关电路通电来实现(见9.2.5.2)。
9.2.2 停止功能
有下列三种类别的停止功能:
——0类:用立即切除起重机械执行机构动力的方法停车(即不可控停止——见3.63);
——1类:给起重机械执行机构施加动力去完成停车并在停车后切除动力的可控停止(见3.12);
——2类:利用储留动能施加于起重机械执行机构的可控停止。
注:除紧急停止和/或紧急断开(见9.2.5.4)外,根据风险评价的情况,切除动力可利用机电元件或硬件来实现。
9.2.3 工作方式
每台起重机械可能有一种或多种工作方式,这取决于起重机械的类型及其用途。
当选择某一种工作方式能导致危险时,应采取适当的措施(如钥匙操作开关,访问码)来防止这种选择。工作方式选择本身不应造成起重机械自行起动,应要求由操作者另行动作。
安全防护应在所有工作方式下均保持有效(见9.2.4特殊情况下安全防护的暂停)。
应对已选定的工作方式提供显示(如工作方式选择器的位置、指示灯的装设、显示器)。
9.2.4 安全防护的暂停
在需要暂停安全防护(例如,为进行调整或维护)的场合,应采用能保持(锁定)在所需工作方式上的工作方式选择器或装置,以防止自动运转。此外,还应采取如下一条或多条措施:
——利用“保护一运转”器件或类似的控制器件开动运转;
——一种带急停器件以及在适当时带允动器件的便携式控制站(非无线的),若采用便携式控制站,则只能从此站开动运转;
——限制运动速度或功率;
——限制运动范围。
9.2.5 操作
9.2.5.1 概述
应为安全操作提供必要的联锁(见9.3)
应采取措施防止起重机械在停车后(如由于制动状态,电源故障、更换电池、无线控制信号丢失)意外地动作。
只能通过有目的的重新起动指令才能重新起动起重机械。
9.2.5.2 起动
只有在安全防护装置全部就位并起作用后才能开始运转,但9.2.4叙述的情况除外。
应设置恰当的联锁以确保正确的起动顺序。
起重机械要求使用多个控制站操纵起动时;
——每个控制站应有独立的手动操作起动控制件;
——应满足起重机械运行的所有工况;
——所有起动控制器件处于释放(断开)位置后才能允许起动;
——所有起动控制器件应联合引发(见3.7)。
9.2.5.3 停止
当需明确风险评价与起重机械的功能要求(见4.1)时,应提供0类、1类和/或2类停止。无论什么工作方式(见9.2.3),0类和1类停止均应是可供使用的,且应优先选取0类。停止功能应优先于相关的起动功能(见9.2.5.2)。
在需要的场合,应提供连接保护器件和联锁的装置。如果这种保护器件或联锁会引起起重机械停止,则有必要将这种状态以信号形式传给控制系统的逻辑单元。停止功能的复位不应引发任何危险情况。
9.2.5.4 紧急操作(紧急停止、紧急断开)
9.2.5.4.1 概述
本标准对附录C中列出的紧急操作的紧急停止和紧急断开功能规定了要求,本标准中的这两种操作都是由单人操作完成的。紧急停止功能仅限于对运动驱动装置的运转起作用。其他相关安全功能见11.3.4。
紧急操作功能应只采用硬导线连接的机电元件。此外,它的操作不应依赖于电子逻辑(硬件或软件),或依赖于通过通信网络或链接进行的指令传输。
9.2.5.4.2 紧急停止
起重机械应具有紧急停止功能,该急停功能至少应停止运动驱动装置。这一紧急停止功能应具备0类停止功能。
除上述停止要求(见9.2.5.3)之外,紧急停止功能还有下列要求:
——紧急停止功能应优先于所有工作方式中的所有其他功能和操作;
——接至能够引起危险情况的起重机械运动驱动装置的执行的机构的动力应尽可能快地被切除,从而不引起其他危险(如采用不需要由外部动力停止的机械制动器);
——复位不应引起重新起动。
9.2.5.4.3 紧急断开
IEC 60364-4-46中给出了紧急断电的功能特性。
在下列场合应配备紧急断开功能:
——直接接触(例如与在电气工作区内使用的集电导线、滑触线、滑环组件、控制装置接触)的防护仅通过置于伸臂范围以外或通过阻挡物(见6.2.6)获得;
——电源可能引起其他危险或伤害的地方。
紧急断开功能是通过切断起重机械或其部件的引入电源(起重机电源开关)实现的,它使起重机械或与这些部件相连的驱动装置紧急停止。
9.2.5.5 指令动作的监控
起重机械或起重机械部件的运动或动作会引起危险情况时,应对其进行监控。对于手动控制的起重机械,操作者可完成某些监控。对于预计操作者不能监控的情况,将需要安装一些装置,包括超行程限制器、电动机超速检测装置、机械过载检测装置或防碰撞装置。

9.2.5.9 操作者控制的起重机械
操作者控制的起重机械应使用“保持-运转”控制或2-位使能器件(见9.2.5.8)进行操作; 本要求不适用于带有超行程限制装置的司机室操纵的起重机械,因为这种情况下不会发生危险情况。
9.2.5.10 手持式直接控制器件
手持式直接控制器件允许用于额定值不超过500V(a.c.)和7.5kW的起重机械的操纵。它们应按6.3.2.2对间接接触进行防护。
9.2.5.11 操作控制站的允动
对于采用多个操作控制站控制同一驱动机构的一台起重机械(如司机室操纵和地面操纵),在任何给定时间内只允许一个操作控制站工作。紧急停止见9.2.5.4.2和10.7.1。
应装有显示操作控制站工作状态的装置。
9.2.6 兼具起动和停止功能的控制器
那些在操作时能效替控制起动和停止的按钮和类似器件,只应用于不会发生危险情况的功能。
9.2.7 无线控制
9.2.7.1 概述
本章叙述了采用无线(例如无线电、红外线)技术在起重机械控制系统和操作控制站之间传递指令和信号的控制系统的功能要求。
注:其中某些应用及系统完整性方面的考虑对于利用电缆(如同轴电缆、双绞线、光缆)作通信链接,采用串联数据通信技术的控制功能也同样适用。
应提供易于拆除或切断操作控制站电源的装置。
必要时应采取措施(如钥匙操作开关、访问码)防止擅自使用操作控制站。
每个操作控制站应带有一个预定由其控制的一台或数台起重机械的明确标记。
操作控制站的设计应使机械冲击(如由落到地面引起的)不大可能会引起无意的信号指令。
若操作控制站有可能掉落而又不能立即复原时,在操作者工作区内应装设其他停止起重机械的装置(如紧急停止和/或紧急断开器件)。
9.2.7.2 控制限制
应采取措施以确保控制指令
——只对预定的起重机械起作用,
——只对预定功能起作用。
应采取措施防止起重机械对来自非预定操作控制站的信号作出响应。
必要时,应采取措施使起重机械只能由在一个或多个预定区域或位置的操作控制站操作。
9.2.7.3 停止
操作控制站应设有一个单独的和清晰可辨的装置来启动起重机械上的紧急停止功能(见9.2.5.4.2和10.7.1)。起动紧急停止功能的执行装置不应按紧急停止器件标记或标明。
无线控制系统对停止指令的响应时间应不超过550ms。
装有无线控制的起重机械应有一装置能在下列情况下自动动作使起重机械停车并防止具有潜在危险性的操作:
——当收到停止信号时;
——当检测到系统有故障时;
——当在规定的时间段内(见附录A)未检测出有效信号时,但是不包括起重机械正在在执行预先计划的超出无线控制范围以外且不会引起危险情况的一项任务。
注:有效信号包括确认通信联系已建立并保持着的信号。按照起重机械的预定用途和特性,实际时间值一般在0.5s~2s之间。
9.2.7.4 串行数据通信
在依靠串联数据传输实现有关安全功能控制的起重机械上,应通过使用能在任意指令顺序中最多应付3个错误数位的检错方法确保正确通信。
注:推荐采用IEC 60870-5-1的检错方法。
9.2.7.5使用多个操作控制站
若起重机械具有多个操作控制站,则应采取措施以确保在给定时间内只有一个控制站允许工作。应在由起重机械风险评价确定的适当位置处设置标记,说明由哪一个操作控制站控制看起重机械。
9.2.7.6 电池供电的操作控制站
电池电压的变化不应引起危险情况。如何使用电池供电的控制站控制一个或多个可能有危险的运动,则当电池电压的变化超过规定的限值时,应向操作者发出清晰的警告。此时,操作控制站应保持其功能直到起重机械脱离危险情况。
注:通常允许的时间周期为10min。
9.3 联锁保护
9.3.1 联锁防护装置的重新接通或复位
在可能发生危险情况的部位,联锁安全防护装置的重新接通或复位不应引发起重机械的运转或工作。
9.3.2 超行程限制
如果超行程会发生危险情况,则应配备位置传感器或限位开关来引发适当的控制动作(如:切断相关运动驱动机构或起重机械),见9.5。
当限制器已使手动起重机械停止运动时,可重新起动,但只能沿相反方向运行。
9.3.3 辅助功能的工作
应通过适当的器件(如压力传感器)去检验辅助功能是否正常工作。
如果辅助功能(如润滑、供冷去液、排屑)的电动机或任一器件不工作有可能引发危险情况或损坏起重机械或载荷,则应提供适当的联锁。
9.3.4 不同动作和反身运动间的联锁
控制起重机械各零部件的所有接触器、继电器和其他控制器件同时动作会带来危险时(例如启动反向运动的部件),应进行以联锁防止不正确的工作。
反向接触器(如控制电动机旋转方向的接器)应联锁,使得在正常使用中进行切换时不会发生短路。
如果为了安全持续运行,起重机械上某些功能需要相互关联,则应用适当的联锁以确保正常的协调。对于以协同方式共同工作并具有多个控制器的一组起重机械,必要时应对控制器的协调操作作出规定。
如果机械制动操动器的失效会使得该制动器在其相关机械执行机构已通电的情况下处于上闸状态并造成危险,应提供联锁使该机械执行机构断电。
9.3.5 对反接制动
如果电动机采用反接制动,则应采取有效措施避免制动结束时电动机反转,这种反转可能会造成危险情况或损坏起重机械或载荷。为此,不应允许采用只按时间作用原则的器件。
本要求只适合于自动操作的起重机械。
9.4 故障情况下的控制功能
9.4.1 一般要求
电气设备中的故障或骚扰会引起危险情况或损坏起重机械时,应采取有效措施以减少这些危险出现的可能性。所需的措施及实施程度,无论是单独或联合使用,均取决于相关各应用的风险程度(见4.1)。
减少这些风险的措施包括但不限于
——起重机械上的保护器件(如联锁防护装置、脱扣器件);
——电路的保护联锁;
——采用成熟的电路技术和元件(见9.4.2.1);
——提供部分或完整的冗余技术(见9.4.2.2)或相异技术(见9.4.2.3);
——提供功能试验(见9.4.2.4)。
通常,只考虑单一故障。在风险程度较高的情况下,可能有必要确保多个故障也不会造成危险情况。
9.4.2 故障情况下降低风险的措施
9.4.2.1 采用成熟的电路技术和元件
这些措施包括但不限于
——出于工作目的将控制电路接到保护接地电路上(见9.4.3.1);
——按9.4.1进行控制器件的连接;
——用断电的方式停车(见9.2.2);
——切断接至受控器件上的所有通电导线(见9.4.3.1);
——使用具有强制(或直接)断开操作的开关电器(见IEC 60947-5-1);
——电路设计上要减少意外操作引起故障的可能性。
9.4.2.2 采用冗余技术
通过提供部分或完整的冗余技术能使电路中由单一故障引起危险的可能性减至最小。冗余技术可以在正常运行时起作用(即在线冗余),或设计成仅在运行功能失效时才起到保护作用的专用电路(即离线冗余)。
在采用正常运行期间不起作用的离线冗余的场合,应采取适当措施确保这些控制电路在需要时起作用。
9.4.2.3 采用相异技术
采用具有不同操作原理或不同类型器件的控制电路,可以减少故障和/或失效引危险的概率。
例如:
——由联锁保护装置控制的常开闭触头的组合;
——电路中不同类型控制电路元件的使用;
——在冗余结构中机电和电子电路的组合;
——电和非电(如机械、液压、气压)系统的组合可以执行冗余功能并提供相异技术。
9.4.2.4 功能试验
功能试验可由控制系统自动进行,或在起动时或按预定的周期通过手动检查或试验进行,或以适当方式验合(见18.2和19.4)。
9.4.3 接地故障、电压中断和电路连续性丧失引起误动作的防护
9.4.3.1 接地故障
控制电路的接地故障不应引起意外的起动,潜在危险的运动或障碍起重机械的停止。
为了达到这个要求,应按8.2的要求提供对保护接地电路的连接,并按9.1.4所述的方法连接器件。由变压器供电且不与保护接地电路连接的控制电路应配备绝缘监控装置,它或是显示接地故障,或在接地故障出现后即自动切断电路。
若控制电路直接连接到电源两相线之间或相线与中线之间,而该中线是不接地的或通过高阻 抗接地,则应使用多极控制开关,以便在意外起动或无法停车时,切断用于起动或停止起重机械功能的所有通电导线,否则这些功能会引起危险情况或损坏起重机械。
9.4.3.2 电压中断
应采用7.5中详述的要求。
如果控制系统采用存储器,一旦电源发生故障应确保正常功能(例如用非易失性存储器),防止记忆丢失所发生的危险情况。
9.4.3.3 电路连续性丧失
如果相关安全控制电路的连续性取决于滑动触头,而且连续性的丧失将可能引起危险情况,则应采取适当的措施(例如采用双重滑动触头)。
9.4.4 运动控制系统误动作的防护
在电动机的闭环运动控制系统里,应能自动检测出可能会造成危险情况的不允许的控制偏差,采用0类停止切断电动机的电源,并使用机械制动器(见15.7)上闸。
在采用能量转换器的液压或气动传动中,如果能量转换器的电源发生故障,应停止运动。
9.5 相关安全控制电路
检测会引发危险情况并造成对起重机械或载荷损坏的超行程、超速或超载的相关安全控制电路,在测出上述情况时,应起动停止功能,其类别应由起重机械及应用的风险评价来确定。
应按照9.4.2.4的要求进行功能试验。
10 安装在操作面板和起重机械上的控制器件
10.1 概述
10.1.1 器件的通用要求
本章包含对外装或局部露出外壳安装的器件的要求。
只要可行,这些器件应按IEC 60073和IEC
60447选用,安装和标志和编码。
10.1.2 位置和安装
只要可行,安装在起重机械上的控制器件应
——使用和维修时易于接近;
——安装时应使象物料搬运那样的工作所引起损坏的可能性减至最小;
手动控制器件的操动器应这样选择和安装:
——操动不低于维修站台以上0.6m,并处于操作正常工作位置易够得着的范围内;
——操作者进行操作时不会处于危险状况;
——使意外操作的可能性减至最小。
10.1.3 防护
按预定目的安装时,安装在操作面板和起重机械上的控制器件应能承受预期用途的应力。防护等级(见GB 4208)和其他适当措施一起应能防护:
——实际环境中存在的腐蚀性液体,蒸气或气体的影响;
——污染物(如铁屑、粉尘、物质粒子)的侵入。
此外,操作面板上的控制器件应具有IPXXD的直接接触最低防护等级(见GB 4208)。
10.1.4 位置传感器
位置传感器(如位置开关、接近开关)的安装应确保即使处于超行程也不会受到损坏。
相关安全功能电路中使用的位置传感应具有肯定(或直接)断开的功能(见IEC 60947-5-1),或具有与此相当的可靠性(见9.4.2)。
10.1.5 便携式和悬挂或控制站
便携式和悬挂式操作控制站及其控制器件的选择和安装应使由冲击和振动(例如操作控制站掉落或撞击障碍物)引起无意操作起重机械的可能性减至最小。
10.2 按钮
10.2.1 颜色
按钮操作动器的颜色代码应符合表2的要求。
表2 按钮操作件的颜色代码及其含义

“起动/接通”操动器的颜色可为白、灰或黑色,优先用白色,也允许选用绿色,但不允许用红色。
紧急停止和紧急断开操作动器应使用红色。
“停止/断开”操动器可为黑、灰或白色,优先选用黑色,不允许用绿色。也允许选用红色,但建议在紧急停止和/或紧急断开器件附近不使用红色。
作为“起动/接通和停止/断开”交替操作的按钮操动器的优选颜色为白、灰或黑色,不允许用红、黄或绿色(见9.2.6)。
对于按住运转而松开则停止运转(如“保持一运转”的按钮操动器,其优选颜色为白、灰或黑色,不允许用红、黄或绿色。
复位按钮应为蓝、白、灰或黑色。如果它们还兼作停止/断开按钮,最好使用白、灰或黑色,优先选用黑色,不允许用绿色。
10.2.2 标记
除了如17.3所述功能识别以外,建议给按钮作出标记,标记可作在其附近,最好直接标在操动器上,例如:

10.3 指标灯和显示器
10.3.1 使用方式
指标灯和显示器用来发出下列型式的信息:
——指示:引起操作者注意或指示操作者应该完成某项工作。红、黄、绿和蓝通常用于这种方式。
——确认:确认一条指令或一种状态,或确认一种变化或转换阶段的结束。蓝色和白色通常用于这种方式,某些情况下也可以用绿色。
10.3.2 颜色
除非供方和用户间另有协议,否则指示(信号)灯的颜色代码应根据起重机械的状态(状况)符合表3的要求。按照IEC 60073,可根据下述判据之一赋予不同含义:
——人员和环境的安全;
——电气设备的状态。
表3 指示灯的颜色及其相对于起重机械状态的含义

10.3.3 闪烁灯
为了进一步区别或发出信息,尤其是进一步作出强调,闪烁灯可用于下列目的:
——引起注意;
——要求立即动作;
——指出指令与实际情况有差异;
——指出进程中的变化(转换期间闪烁)。
对于较重要的信息,建议使用较高频率的闪烁灯(推荐的闪烁速率和脉冲/间歇比见IEC 60073)。
10.4 光标按钮
光标按钮操动器的颜色代码应符合表2和表3的要求。当难以选定适当的颜色时,应使用白色。急停操动器的红色不应依赖于其灯光的照度。
10.5 旋动控制器件
具有旋动部分的器件如电位计和选择开关的安装应防止其静止部分转动,只靠摩擦力是不够的。
10.6 起动器件
用于引发起动功能或起重机械机构(如小车)的运动的操动器,其构造和安装应量减小意外操作的可能性,但是蘑菇头操可用于双手控制。
10.7 紧急停止和/或紧急断开器件
10.7.1 概述
紧急停止或紧急断开器件应设置在各个操作控制站(例外:见9.2.7.3)。
10.7.1.1 紧急停止
需要时,应提供附加急停器件(如在未保护的钢丝绳绞车附近)。
需要时,在起重机械以外也应设置急停器件(例如对于桥式起重机情况可从地面操作)。
对于那些可造成附带危险的起重机械驱动装置,不需要从地面上停止所有运动驱动装置,例如,对于门式起重机,停止大车运动即可。对于流动式起重机在地面上可不设此器件。
该功能或由图3中所示的一个或多个开关电器完成(如驱动装置用开关设备、起重机械开关或起重机电源开关)。
10.7.1.2 紧急断开
起重机电源开关可以起到紧急断开器件功能的作用。
该器件应能够从可方便和迅速地接近起重机械的位置直接操纵或进行远程操纵。
根据风险评价,对于正常工作时带电部分可能外露的其他位置提供紧急断开装置也是必要的(也见9.2.5.4.3和13.8.1)。
10.7.2 型式
紧急停止和/或紧急断开器件的型式包括:
——按钮操作开关;
——拉线操作开关;
——无机械防护装置的脚踏开关。
它们应是自锁式的并应具有肯定(或直接)断开的功能(见IEC 60947-5-1)。
10.7.3 紧急停止和/或紧急断开后正常功能的恢复
某个紧急操作件未经手动复位前应不可能恢复其电路。如果在一个电路中设置了几个紧急操作器件,则在所有已经动作的紧急操作器件复位前电路应不能恢复。
10.7.4 操动器
紧急停止和/或紧急断开器件的操动器应红色。操动周围的底色应着黄色。按钮操作的紧急停止和/或紧急断开器件的操动器应为掌揿式或蘑菇头式的。
10.8 显示器
显示器(如目视显示器、警报信号器)的选择和安装,应使操作者从正常操作位置上易于观察。当显示器用作报警器件时,建议它们为闪烁式或旋转式的,并应配置音响报警器件。
11 电子设备
11.1 概述
本章适用于所有型式的电子设备,包括可编程序电子设备、组件、印刷电路板、器件和元件。
11.2 基本要求
11.2.1 输入和输出
应提供所有数字输入和输出的状态显示。
11.2.2 等电位连接
所有输入/输出支架(远程的或本机的)、信息处理器支架和电源,都应按照供方的规定彼此电气连接,并连接到保护接地电路上(见5.2.3)。
如果某些设备为了远行目的需要与保护接地电路隔离,则这些设备可不考虑第8章的要求。
11.3 可编程序设备
11.3.1 可编程序控制器
可编程序控制器应符合有关的标准(见IEC 61131-1和IEC
61131-2)。
11.3.2 存储器的记忆和防护
应提供措施防止由未经授权人员更改存储器内容,并应遵守9.4.3.2所述的技术要求。
11.3.3 软件的校验
采用可编程序控制器的设备应有验证软件是否符合有关程序文件的能力。
11.3.4 在相关安全功能中的使用
可编程序电子设备不应用于紧急停车和/或紧急断开功能(见9.2.5.4)。
对于所有其他相关安全的停止功能,最好是用硬接线机电元件(即其功能不宜依赖于可编程序电子设备的操作)。如果可编程序电子设备用于这些功能,则应采用符合9.4的相应措施。
这些要求不应排除可编程序电子设备用监控、测试或后备等些类功能,但这种设备不应妨碍这些功能的正确工作。
注:由于控制系统误动作而引发严重危险的情况下,目前人们还很难有把握地认为,仅仅依靠可编程序电子设备的单通道的正确工作便是保险的。在这一问题没有得到解决之前,单纯依赖于这种单通道器件的正确工作是不明智的。
12 控制设备:位置、安装和电柜
12.1 一般要求
所有控制设备的位置和安装应:
——易于接近和维护;
——易于防卸外界影响或预定操作中出现的情况;
——便于起重机械及其相关设备的操作和维护。
12.2 位置和安装
12.2.1 易接近性和维护
控制设备的所有元件的设置和排列应使得不用移动它们或其配线就能清楚识别。对于那些需要检查其运行是否正确或有可能需要更换的零部件,最好能在不拆卸起重机械的其他设备或部件情况下就能得以进行(开门和卸罩盖除外)。与控制设备无关的接线端子也应符合这些要求。
所有控制设备的安装都应易于从正面操作和维护。当需要用专用工具拆卸器件时,应提供这种专用工具。为了常规性维护或调整而需接近的有关器件,应安置在维修站台以上0.4m~2m之间。建议接线端子至少在维修站台以上0.2m,且使导线和电缆能容易连接其上。
除操作、指示、测量、冷却器件外,在门上和通常可拆卸的外壳孔盖上不应安装控制器件。
当控制器件(单独或组合使用)是通过插接方式连接时,其组合应通过型号(形状)、标记或参考代号加以区分(见14.4.5)。
正常工作中需插拔的插入器件应具有非互换性,缺少这种特性会导致错误工作。
正常工作中需插拔的插头/插座组合的位置和安装应提供畅通无阻的通道。
当具有测试点时应:
——在安装上提供畅通无阻的通道;
——有符合技术文件的醒目标记(见18.3);
——有满足要求的绝缘;
——提供连接测试设备或装置的充分空间。

12.4 电柜、门和通孔
电柜应使用能承受在正常工作时可能受到的机械、电气和热应力以及湿度影响的材料制造。
紧固门和盖板的紧固件建议为系留式的。为观察内部安装的指示器件而提供的窗口应选择适合于参承受机械应力和耐化学腐蚀的材料(如3mm厚的钢化玻璃和聚碳酸脂板)。
建议电柜门宽不超过0.9m,且使用垂直铰链,最好是提升拆卸形式,开角至少为95°。
门、罩、盖和柜体的铰接件或密封垫应能经受住起重机械使用环境中存在的侵蚀性液体、蒸气或气体的化学影响。因运行或维护而需要开启或卸下的门、罩和盖上用来保持电柜的防护等级的铰接件或密封垫应:
——牢靠地联在门/盖或柜体上;
——不因门、盖的拆卸或更换而损坏,以至降低防护等级。
外壳上的所有通孔,包括通向地板或地基,或通向起重机械其他部件的通孔,均应由供方以确保设备规定防护等级的方式封住。电缆入口孔在现场应易于打开。起重机械内部的隔间底面可设置适当的通孔,以便能排除冷凝水。
在装有电气设备的电柜和装有冷却液、润滑油或液压油的隔间或可能进入油液、其他液体以及粉尘的隔间之间不应有孔。此要求不适用于专门设计的在油中工作的电器(如电磁离合器),也不适用于需要使用冷却液的电气设备。
如果电柜上有安装用孔,应注意使其安装后不致削弱所要求的防护等级。
在正常工作或不正常工作时,表面温度可能会达到足以引起火灾或对外壳材料造成有害影响的设备应:
——置于能承受可能达到该温度而不起火或造成有害后果的电柜中;
——装设在与相邻设备足够远的位置,以便于安全地散热(见12.2.3);
——采用能承受该设备散出的热量而不起火或造成有害后果的材料另行遮护。
12.5 控制设备通道
12.5.1 通道
在开关设备和控制设备前面和其间的通道的最小尺寸应符合IEC 60364-4-481:1993中481.2.4的规定,除非由于结构原因(如起重机械和建筑物之间的关系)在长度不超过1 000mm时垂直净空可减至不小于1 400mm。
注:IEC 60364-4-481:1993的481.2.4中规定的尺寸是推荐的最小值。从对诸如起重机械合适的工作位置、撤离设施、机动性等的考虑出发可能需要采用较大值。
12.5.2 通向通道的入口
20m以上长度的操作和维护通道应从两端出入。对于小于20m位超过6m的通道建议从两端出入。
12.5.3 门
通道的门和进入电气工作区的门应是:
——至少宽0.7m,高2.0m;
——外开式;
——带有不使用钥匙或工具就可从里面打开的装置(如太平门栓)。
12.5.4 通道和门的限制
通道和/或门的尺寸不得不减不小的地方,例如在箱形梁需要加筋的隔板处,其净高度可减至不小于1 400mm,净宽度可减至不小于600mm。
对于紧邻这些限制区的区域,为防止不经意地触及沿通道的带电部分而采取的措施可能还不够。在这些地方可还需要采取附加防护措施(见6.2)。
13 导线和电缆
13.1 一般要求
导线和电缆的选择应适合于工作条件(如电压、电流、电击的防护、电缆的分组)和可能存在的外界影响(如环境温度、存在水或腐蚀性物质、机械应力(包括安装期间的应力)和火灾危险)。
这些要求不适用于按有关标准(如GB 7251.1)制造和测试的成套设备、分组设备和器件的集成配线。
当电缆安装在露天使用(如建筑物或其他防护结构外面)的起重机械上时,它们应适合于户外使用(如防紫外线、满足要求的温度范围),或进行适当防护。
13.2 导线
导线通常应为铜质。任何其他材质的导线都应具有承载相同电流的标称截面积。导线最高温度不应超过表4规定的数值。如果用铝导线,截面积应至少为16mm2。
表4 正常和短路条件下导线允许的最高温度

虽然1类导线主要用于刚性的、非移动件之间,只要其截面积小于0.5mm2,也可用于产生极小弯曲的场合。须经频繁运动(如机械动作每小时运动一次)的所有导线,均应采用5类或6类绞合软线(见表B4)。
13.3 绝缘
绝缘的种类包括(但不限于):
——聚氯乙烯(PVC);
——天然或合成橡胶;
——硅橡胶(SiR);
——无机物;
——交联聚乙烯(XLPE);
——乙丙橡胶(EPR)。
导线和电缆的绝缘材料(例如PVC)由于火的蔓延或有毒的或腐蚀性烟雾的扩散可能构成火灾危险时,宜寻求电缆供方的指导,特别应注意,保持相关安全功能电路的完整性是重要的。
绝缘的介电强度应满足耐压试验的要求,对工作于电压高于50V(a.c.)或120V(d.c.)的电缆,要经受到少2 000V(a.c.)的持续5 min的耐压试验。对于独立的PELV电路,介电强度应承受500V(a.c.)的持续5min的耐压试验(见GB 14821.1-1993中Ⅲ类设备)。
绝缘层的机械强度和厚度应使得工作或敷设时,尤其是电缆拉入线缆通道时绝缘层不受损伤。
13.4 正常工作时的载流量
导线和电缆的载流量由下面两个因素来确定:
——通过最大稳态电流或通过用于断续工作制下(见B2)的热等效方均根电流时导线允许的最高温度;
——短路状态下,导线允许的短时极限温度。
导线截面积应使得在上述这些情况下,导线温底不超过表4中的规定值,除非电缆制造商另有规定。
在稳态条件下成套电柜和单件设备之间PVC绝缘配线的载流量规定在表5中。对于用于断续工作制应用的导线和电缆的选择见B2中关于热等效方均根电流的计算。
导线截面积可按IEC 60364-5-523选择。
13.5 电压降
在正常工作条件下,从起重机电源开关到电动机,或在变流器驱动电机情况下,至变流器线端的电压降不应超过额定电压的5%。为了遵守这个要求,可能有必要采用截面积大于表5规定值的导线。
注:如果不能得到更多的信息,电压降可通过使用功率最大的驱动装置的起动电流与第二大驱动装置的额定电流组合起来计算得出。当一台以上起重机械使用同一电源时,可根据给定的使用条件采用同时系数。


13.6 最小截面积
为确保足够的机械强度,导线截面积不宜小于表6示出值。然而,如果用其他措施来获得足够的机械强度且不削弱正常功能,必要时在设备上可以使用截面积比表6示出值小的导线。
表6 铜导线的最小截面积 mm2

13.7 软电缆
13.7.1 概述
软电缆应采用5类或6类导线(见表B4)。
经受繁重工作条件的电缆应具有适当的结构以防止
——由于机械搬运和拖曳过粗糙表面所造成的磨损;
——由于工作时无导向件所造成的扭结;
——由于导向滚轮和强迫导向使电缆在电缆卷筒上正反身缠绕所产生的应力。
注
1 符合这种条件的电缆见国家有关标准。
2 在不利的工作条件,如大的拉应力、小弯曲半径、弯入另一平面和/或同时进行频繁周期工作时,电缆电使用寿命将会减少。
13.7.2 机械性能
起重机械电缆搬运系统的设计应使得在起重机械工作期间导线的拉应力尽可能地低。当采用铜导线时,铜导线截面区的拉应力应不超过15N/mm2。在应用要求超过15N/mm2拉应力限值的地方,宜采用具有特殊结构性能的电缆,且允许的最大抗拉强度宜征得电缆制造厂的同意。
注:下列条件影响导线的拉应力:
——加速力;
——运动速度;
——电缆自重(吊挂重量);
——导向方法;
——电缆卷筒系统的设计。
13.7.3 绕在电缆卷筒上的电缆的载流量
绕在卷筒上的电缆应选用具有这样截面积的导线,当其完全缠绕在卷筒上并承受正常工作载荷时,不超过导线允许的最高温度。
对装在卷筒上的圆形截面电缆,其在大气中的最大载流量宜按表7减小(见IEC 60621-3:1979中第44章)。
注:大气中的电缆的载流量可以在制造厂说明书或有关的国家标准中查到。
表7 绕在卷筒上的电缆的减额系数

13.8 集电导线,滑触线和滑环组件
13.8.1 直接接触的防护
集电导线、滑触线和滑环组件应以这样的方式安装或封闭,使用在正常通向起重机械时,例如经沿着起重机轨道或沿着起重机主梁的通道,使用下列防护措施之一可以达到直接接触的防护:
——采用部分绝缘的带电部分防护,这是优先选用的措施;
——采用至少IP2X的外壳或隔板防护(见GB 14821.1-1993中6.2)
容易触及的隔板或外壳的水平顶面的防护等级应至少达到IP4X(见GB 14821.1-1993中6.2.2)。
如果达不到所要求的防护等级,应采用下列附加防护措施之一:
a)将带电部分置于伸臂范围以外并按照9.2.5.4.2(见GB14821.1-1993中6.4)采用紧急断开的措施共同防护;如果此条不适用,则
b)按照图5a)、图5b)中给出的极限(出自ISO 13852)来防护。该措施规定用于只有熟练的人员或经过训练的人员可以接近的地方和存在特殊条件的地方(如钢厂或化工厂的高温区)。
注:位于无保护集电导线、滑触线上方的阻挡物示例是栏杆、网筛。
集电导线和滑触线应如下安装和/或防护:
——尤其防止无保护的集电导线和滑触线与带电元件如拉线开关的软线、卸荷装置以及传动链接触;
——防止由于载荷摆地动而损坏。

a)起升装置钢轨中央至主梁边缘距离小于300mm情况下伸臂范围的界限

b)起升装置钢轨中央至主梁边缘距离不小于300mm情况下伸臂范围的界限

c)采用附加阻挡物情况下伸臂范围的界限
图5 伸壁范围的界限
如果为集电导线和滑触线规定的防护等级不起作用(如靠近集电器),应提供附加措施(如附加阻挡物)。
如果不同起重机隔离器的电路均通过集电导线、滑触线或滑环组件,则每个分电路系统的直接接触防护等级至少为IP2X或IPXXB(见GB 4208)。
13.8.2 保护导线电路
如果集电导线、滑触线和滑环组件作为保护接地电路的一部分来安装,则在正常工作时,它们不应有电流流过。因此保护导线(PE)和中线(N)应分别使用一条单独的集电导线、滑触线或滑环。采用滑动触头保护导线电路的连续性应通过采取适当的措施来保证(如复式集电器、连续性监控)。
13.8.3 保护导线集电器
保护导线集电器的形状或结构应使用它们不能与其他集电器互换。这种集电器应是滑动触头型的。
13.8.4 具有隔离器功能的可移式集电器
具有隔离器功能的可移式集电器的设计应使得只有在切断带电导线后才能断开保护导线电路,而且保护导线电路的连续性应该在任何带电导线重新接通之前先行恢复(见8.2.6)。
13.8.5 电气间隙
集电导线、滑触线、滑环组件及它们的集电器的各导线之间、相邻装置之间的电气间隙应适合于在3级污染条件下工作(见GB/T 16935.1-1997中2.5)。
13.8.6 爬电距离
集电导线、滑触线、滑环组件及它们的集电器的各导线之间、相邻装置之间的爬电距离应适合于在3级污染条件下工作(见GB/T16935.1-1997中2.5)。
在异常多尘、潮湿或腐蚀性环境下,采用下列爬电距离的要求:
——未保护的集电导线、滑触线和滑环组件应装有最小爬电距离为60mm的绝缘子。
——封闭式集电导线、绝缘多极滑触线和绝缘单极滑触线应具有30mm的最小爬电距离。
应遵照制造厂有关特殊措施的建议防止由于不利的环境条件(如导电尘埃的沉积、化学腐蚀)造成的绝缘值逐渐减小。
13.8.7 导线系统的分组
如果集电导线或滑触线按若干独立的部分进行布置,则应采取适当的设计措施防止由集电器本身使相邻部分通电。
13.8.8 集电导线、滑触线系统和滑环组件的构造和安装
用于电源电路的集电导线、滑触线和滑环组件应与用于控制电路的集电导线、滑触线和滑环组件分开成组。
集电导线、滑触线和滑环组件应能经受机械力和短路电流的热效应而无损坏。
敷设在地下或地板下的集电导线和滑触线系统的可移式覆板的设计应使得一个人不借助于工具则无法打开。
如果滑触线装在普通金属外壳里,外壳的各个部分应连接在一起,并根据它们的长度在若干点接地。敷设在地下或地板下的滑触线的覆板也应连接在一起并接地。
注:由于与金属外壳的罩板或盖板或地板下的管理的电位连接或保护导线连接,可认为一般的金属铰链足以确保电气连续性。
地下或地板下滑触线管道应具有排水设施。
14 配线技术
14.1 连接和布线
14.1.1 一般要求
所有连接,尤其是保护接地电路的连接应确保不意外松脱。
连接方法应与被连接导线的截面积及导线的种类相适应。对于铝或铝合金导线,要特别考虑电蚀问题的预防(见13.2)。
只有专门设计的端子,才允许一个端子连接两根或多根导线。但一个端子的连接点只应连接一根保护导线。
只有端子适用于焊接时才允许焊接连线。
接线板上的端子应清楚做出与电路上相一致的标记。
软电气导管和电缆的敷设应使液体能排出。
当器件或端子不具备端接导线的条件时,应提供拢合绞芯束的办法。不应为此使用焊锡。
屏蔽导线的端接应防止绞线磨损并应容易拆卸。
识别标签应清晰、耐久,并适合于实际环境。
接线板的安装和接线应使内部和外部配线不跨越端子(见GB14048.7)。
14.1.2 导线和电缆的敷设
导线和电缆的敷设应使得各端子之间无铰接点或爆接点。在一个接线盒里不能容纳多个端子时(例如在采用长的软电缆的起重机械上),可以使用铰接点或焊接点。
为满足连接和拆卸电缆和电缆束的需要,应为此提供足够的额外长度。
电缆端部应充分支承以防止导线端的机械应力。
只要可能就应将保护导线靠近相关的带电导线安装,以便减小回路阻抗。
14.1.3 不同电路的电线
不同电路的导线可以并排放置,可以穿在同一管道中(如电气导管或电缆管道装置)还可以处于同一多芯电缆中,只要这种安排不削弱各自电路的原有功能。如果这些电路的工作电压不同,应把导线用适当的隔板隔开,或者把可能遇到这种情况的同一管道内的导线都按最高电压绝缘。
14.2 导线的标识
14.2.1 一般要求
导线应按照技术文件的要求(见第18章)在每个端部作标记。附录A的问题30可作为供方和用户之间关于最佳标识的协议。
当用颜色代码作导线标记时,可采用下列颜色:
黑、棕、红、橙、绿、蓝(包括浅蓝)、柴、灰、白、粉红、青绿。
注:该颜色系列自GB/T13534。
如果采用颜色作标记,建议在导线全长上使用绝缘层的颜色或色标。另一种可行办法是在选定的位置上设置附加标记。
由于安全原因,在有可能与黄/绿双色组合(见14.2.2)发生混淆的场合,不宜使用绿或黄色。
可以使用上面列出颜色的组合色标,只要不发生混淆和不使用绿或黄色,不过黄/绿双色组合标记外。
14.2.2 保护导线的标识
应通过形状、位置、标记或颜色而使保护导线易于识别,当只用颜色标识时,应在导线全长上使用黄/绿双色组合。这一色标是保护导线绝缘对专用的。
对于绝缘导线,黄/绿双色组合应这样安排,即在任意15mm长度上,一种颜色覆盖导线表面30~70%,其余部分覆盖另一颜色。
如果保护导线能容易地按其形状,位置或结构(如编织导线)识别,或者绝缘导线难以得,则不必在整个长度上使用颜色代码,但应在端头或易接近部位上清楚地标明IEC 60417-2:1998中的5019图形符号或黄/绿双色组合标记。
14.2.3 中线的标识
如果电路包含有用颜色识别的中线,其颜色应力浅蓝色(见GB7947-1997中的3.1.2)。在可能混淆的场合,不应使用浅蓝色来标记其他任何导线。
如果采用色标,用作中线的裸导线应在每个间隔或单元内,或在易接近的位置上用15mm~100mm宽度的浅蓝色条纹,或在导线整个长度上作浅蓝色标志。
14.2.4 其他导线的标识
其他导线应使用颜色(单一颜色或单色、多色条纹)、数字、字母或颜色和数字或字母的组合来标识。当采用数字时,它们应为阿拉伯数字;字母应为罗马字母(大写或小写)。
建议绝缘导线应使用下列颜色代码:
——黑色:交流和直流动力电路;
——红色:交流控制电路;
——蓝色:直流控制电路;
——橙色:由外部电源供电的联锁控制电路。
允许以下例外情况:
——独立器件与内部配线成套购买时;
——没有所需颜色的绝缘导线时;
——采用不是黄/绿双色组合的多芯电缆时。
14.3 电柜内配线
配电盘内的配线应固定在需要的位置上。仅允许使用由阻燃绝缘材料制成的非金属管道(见(IEC 60332-1)。
安装在电柜内的电气设备建议设计和制作成允许从电柜正面修改配线(见12.2.1)。如果这样不可能实现及控制器件从电柜后面接线,此时应提供检修门能旋出的配电盘。
安装在门上或其他活动部件上的器件,应使用符合13.2要求的允许频繁移动用的软导线连接。这些导线应固定在固定部件上以与电气连接无关的活动部件上(见5.2.3和12.2.1)。
不敷入管道的导线和电缆应牢固固定住。
引出电柜外部的控制配线,应采用接线板或插头/插座组合。
动力电缆和测量电路的电缆可以直接接到预定连接器件的端子上。
14.4 电柜外配线
14.4.1 一般要求
电缆或管道连同其专用密封套、套管等进入柜内的导入措施,应确保不降低防护等级(见12.3)。
14.4.2 外部管道
电气设备电柜外部的导线及其连接线应封闭在按14.5所述的适当的管道中(即电气导管或电缆管道装置),只有具有适当保护的电缆可以例外。这种电缆可以无管道安装,以及用或不用开式电缆托架或电缆支承措施进行安装。
与管道或多芯电缆一起使用的接头附件应适合于实际环境。
如果至悬挂按钮站的连接必须使用柔性连接,则应彩软电气导管或多芯软电缆。悬挂站的重量不应借助软电气导管或软多芯电缆来支承,除非是为此目的专门设计的电气导管或电缆。
软导管或多芯软电缆应使用于小范围运动或不频繁运动的连接。也允许使用于通常固定的电动机、位置开关和其他外部安装器件的连接。如果提供预先配好线的器件(如位置开关、接近开关),则整条电缆不必封闭在管道里。
14.4.3 与起重机械和起重机械上移动件的连接
频繁移动的部件应使用符合13.2要求的导线连接。软电缆和软导管的安装应避免过度弯曲和绷紧,尤其是在接头附件部件。
移动电缆应支承在连接点上不产生机械应力,也不便电缆产生急弯。当利用弯曲回环达到此目的时,电缆应有足够的长度,以使电缆之处弯曲半径至少为其外径的10倍。
起重机械软电缆的敷设或防护应使涉及下列的电缆使用或可能的滥用因素所造成的外部损伤的可能性减至最小:
——被起得机械自身辗过;
——被车辆或其他起重机械辗过;
——在移动期间与起重机械结构碰触;
进出电缆吊篮,或绕入绕出电缆卷筒;
——作用在电缆吊挂系统或悬挂电缆上的加速力和风力;
——由电缆集电器造成的过度摩擦;
——暴露于过度的热辐射中。
电缆护套应能耐受由于移动而产生的可预料到的正常磨损,并能经受大气污染物质(如油、水、冷却液、粉尘)的影响。
如果移动电缆靠近运动部件,则应采取预防措施使运动部件和电缆之间保持至少25m的距离。如果做不到,则应在电缆和运动部件之间安装隔板。
电缆移系统应设计成使电缆侧向角度不超过5°,避免电缆在下列情况下产生扭曲:
——电缆绕入或绕出电缆卷筒时;
——接近或偏离电缆导向装置时。
应采取措施确保软电缆卷筒上至少始终保留两圈。
考虑到允许的张力和预期的疲劳寿命,用于导向和携载软电缆装置的设计应使电缆在所有变曲点处的内弯半径不小于表8规定的值,除非与电缆制造厂另有协议。
表8 软电缆强制导向的最小允许变曲半径

S形或成螺旋状的两弯曲段之间的直线部分应至少为电缆直径的20倍。
如果软导管靠近运动部件,则在所有运行情况下应防止其结构和支承装置损伤软导管。金属软导管不应用于快速或频繁移动的场合,除非是为此目的专门设计的。
14.4.4 起重机械上器件的互连
如果装在起重机械上的几个开关电器(如位置传感器、按钮)是串联或并联的,建议器件间的连接通过接线端子实现,从而形成中间试验点。这些接线端子应便于接线,充分保护,并在有关图上示出。
14.4.5 插头/插座组合
如果设备是可移式的,允许通过确定了极性位置的插头/插座组合与其进行连接。
插头/插座组合应尺寸相适,并具有足够的接触压力和滑触作用确保电气连续性。触头间的间隙应适用于所使用的电压,并在连接器插入和拔出期间均应保持住。
插头/插座组合的型式选择和安装方式在任何时候均要避免与带电部分意外接触,却使在连接器插入或拔出时。PELV电路除外。
插头/插座组合的设计应使得在任何带电极接通之前接通保护接地电路,并且只有插头中的所有带电极全部断开后保护接地电路才切断(见6.2.4),用于PELV电路或仅用作简化拆装(多极接插件)的情况除外。
额定值大于16A或正常工作中需保持接通的插头/插座组合应为保持式的,以防止意外断开。额定值为63A或更大的插头插座组合,应为带一开关联锁式的,使得只有当开关处于断开位置时才有可能接通和断开。
如果同一电气设备上使用多个插头/插座组合,它们应做出清楚标记,建议采用机械编码以防错误插入。
符合IEC 60309-1或民用型式的插头/插座组合不应用于控制电路。
14.4.6 发货拆卸
如果发货时布线需要拆开,应在分段处设接线端子或插头/插座组合。如果插头/插座组合仅用于安装和拆卸,则可省去其与组合开关的联锁。
在运输和存储中,这些接线端子应适当封装,插头/插座组合应进行防护以免受实际环境的影响。
14.4.7 备用导线
应考虑提供维护和修理用的备用导线,当提供备用导线时,应把它们连接在备用端子上,或用能防止接触带电部分的方法予以隔绝。
14.5 管道、接线盒与其他线盒。
14.5.1 一般要求
管道应具有IP33的最低防护等级(见GB4208)。
可能与导线绝缘层接触的锐棱、焊碴、毛刺、粗糙表面或螺纹,应从管道和接头附件上清除。必要时应采用由阻燃,耐油绝缘材料构成的附加防护以保护导线绝缘。
易积油或水的配线用电缆管道装置、接线盒和其他线盒中允许设直径6mm的排泄孔。
为了防止电气导管与油管、气管和水管混淆,建议电气导管用实体隔离,或者做出相应标记。
管道和电缆托架应采用刚性支承,并安装在距运动部件有足够距离、使损伤或磨损的可能性减至最小的地方。在需要人行通道的区域内,管道和电缆托架的安装应为该通道提供至少为12.5.1中规定的净空。
管道应只用于机械保护(关于保护接地电路的连接要求见8.2.3)。
局部覆盖的电缆托架不宜用作管道或电缆管道装置(见14.5.6),所使用的电缆应适合于在电缆托架上安装(见14.4.2)。
14.5.2 管道填充率
管道填充率应考虑管道的直线性和长度以及导线的柔性。管道的尺寸和布置要使导线和电缆易于装入。
14.5.3 金属硬导管及管接头
金属硬导管及管接头的材料应为镀锌钢管或适合该使用条件的耐腐蚀材料。避免使用在接触中会产生电化作用的异种金属。
导管应牢固应位并将其两端支承住。
管接应与导管相匹配并适合于该用途。管接头应带螺纹,除非由于结构上的困难妨碍装配。如果使用无螺纹管接头,则导管应牢固地固定在设备上。
导管的折弯不应损坏导管,也不应减小导管的有效内径。
14.5.4 金属软导管和管接头
金属软导管应由金属软管或编织线网铠装组成。它应适用于预定的实际环境。
管接头应与软导管相匹配并适合于该用途。
14.5.5 非金属软导管和管接头
非金属软导管应耐弯折,并应具有与多股电缆护套类似的物理性能。
这种导管应适用于预定的实际环境。
管接头应与软导管相匹配并适合于该用途。
14.5.6 电缆管道装置
电柜外部的电缆管道装置应采用刚性支承,并应与起重机械的所有运动部位或污染区段隔开。
盖板的形状应能遮盖侧板,允许加密封垫。盖板应通过铰链或链条连到电缆管道装置上,并应使用系留螺栓或其他适合的紧固件关紧。对于水平安装的电缆管道装置,其盖板不应装在底部。
如果电缆管道装置是分段敷设的,则各段之间的联结应紧密配合,但不需加密封衬垫。
除接线孔或排水孔外不应有其他开口。电缆管道装置不应有敞开不用的敲落孔。
14.5.7 起重机械的隔间和电缆管道装置
应允许在起重机械内用隔间或电缆管道装置对导线进行封护。只要该隔间或电缆管道装置与冷却液槽或油箱隔离并完全封闭的,敷入封闭隔间或电缆管道装置中的导线应安装和布置得使它们不易受到损坏。
14.5.8 接线盒和其他线盒
用于配线的接线盒和其他线盒应易于维护。考虑到起重机械在预定使用条件下的外部影响(见12.3),这些盒体应能防止液体与固体颗粒的侵入,其结构应足以防止在正常使用中的机械损坏。
接线盒与其他线盒不应有敞开不用的敲落孔,也不应有其他开口,其结构应能隔绝粉尘,毛屑、油和冷却液之类的物质。
14.5.9 电动机接线盒
电动机的接线盒应只密闭电动机与安装在电动机上的器件(如制动器、温度传感器、反接制动开关或测速发电机)的连接接头。
15 电动机及相关设备
15.1 一般要求
电动机应符合GB 755的要求。
电动机及相关设备的保护要求见在7.2中规定的过电流保护,在7.3中的过载保护,在7.6中的超速保护。
当电动机处于停转时,许多控制器并未断开电动机的电源,因此应注意确保符合5.3、5.4、5.5、7.5、7.6和9.4的要求。电动机控制设备应按第12章的规定设置和安装。
15.2 电动机外壳
建议电动机外壳按GB/T 4942.1选择。
所有电动机的防护等级应至少为IP23(见GB 4208)。根据用途和实际环境(见4.4)可能需要提出更严格的要求。与起重机械合装一体的电动机的安装,应使它们对机械损伤具有足够的防护。
15.3 电动机尺寸
电动机尺寸应尽可能地符合GB 4772.1和GB
4772.2的规定。
15.4 电动机安装与隔间
每台电动机及其相关联轴器、皮带、皮带轮或链条的安装应使得它们有足够的防护,且便于接近进行检查、维护、调整、校准、润滑和更换。电动机的安装布置应使得能拆卸所有的电动机压紧装置,并容易接近接线盒。
电动机的安装应确保适当的冷却使温升保持在绝缘等级的限值内(见GB 755)。
电动机隔间应尽可能清洁和干燥,必要时应直接向起重机械外部通风。通风口应使切屑、粉尘或水雾的进入量处于一个允许的水平上。
不符合电动机间要求的其他隔间与电动机隔间之间不应有通孔。如果不志管或管子从另一不符合电动机隔间要求的隔间进入电动机隔间,则导管或管子周围的间隙应密封。
15.5 电动机选择的依据
电动机及其有关设备的特性应根据预定的使用目的和实际环境条件(见4.4)进行选择。在这方面,应考虑的要点包括:
——电动机型式;
——工作循环类型(见GB 755);
——恒速或变速运行(以及随之产生的通风量的变化);
——机械振动;
——电动机速度控制用的变流器型式(见IEC 60146);
——当电动机由静态变流器供电时电机馈电电压和/或电流的谐波频谱对温升的影响。
——起动方法及起动电流对其他用户运行的影响,还要考虑供电部门可能的特殊规定。
——反转矩负载随时间和速度的变化;
——大惯量负载的影响;
——恒转矩或恒功率运行的影响;
——电动机和变流器之间可能需要的感抗。
15.6 机械制动器的保护器件
机械制动器操动器的过载和过电流保护器件的动作应引发相关机械操作件的同时断电(释放)。
注:相关机械操动器是指那些与相同运动有关的操动器,如电缆卷筒和长行程驱动装置。
15.7 电动机械式制动器
在采用断电时可进行制动的电动机械式制动器的场合,运动驱动装置断电应造成相应制动器断电。
例外:运行和回转驱动机构的工作制动可采用其他制动控制方式。
16 附件和照明
16.1 附件
如果起重机械及其有关设备备有供附属设备(如手提电动工具、试验设备)使用的电源插座、则应适用于下列各条规定:
——电源插座建议符合IEC 60309-1的规定。不能实施处宜清楚标明电压和电流的额定值;
——应确保电源插座保护接地电路的连续性(例外情况见6.4);
——接到电源插座的所有未接地导线应按7.2和7.3的规定,提供合适的过电流保护和(必要时的)过载保护,并与其他电路的保护分开;
——如果插座的电源不由起重机隔离器断开,庆采用5.3.8的要求。
16.2 起重机械和电气设备的局部照明
16.2.1 概述
与保护接地电路的连接应符合8.2.2的规定。
通-断开关不应内装在灯头座里或悬挂在软线上。
应采用合适光源避免光的频闪效应。
如果电柜中装有固定照明装置,则应按4.4.2的原则考虑电磁兼容性。
16.2.2 电源
建议局部照明线路的线间额定电压不超过50V。如果使用较高电压,则不应超过250V。
照明电路应由下述一种电源电(见7.2.6):
——连接在起重机隔离器负载边的专用的隔离变压器。副边电路中应设有过电流保护;
——连接在起重机隔离器进线边的专用的隔离变压器。该电源仅允许供控制电柜中维修照明电路使用。副边电路中应设有过电流保护(见5.3.8和14.1.3);
——带独立过电流保护的起重机械电路;
——外部供电的照明电路(例如工厂照明电源)。只允许在控制柜中使用,以及在总额定功率不超过3kW的情况下用起重机械的工作照明。
例外:如果在正常工作时固定照明装置在操作者的伸臂范围以外,则本条规定不适用。
16.2.3 保护
局部照明电路应按照7.2.6进行保护。
16.2.4 照明配件
可调照明配件应适应于实际环境。
灯头座应
——符合有关的国家标准和IEC标准;
——采用绝缘材料构成保护性灯头,防止意外触电。
反光罩应采用灯架支承,不得使用灯头座作为支承。
例外:如果在工作时固定照明装置在操作者的伸臂范围以外,则本条规定不适用。
17 标记、警告志和参考代号
17.1 概述
电气设备应标出供方名称、商标或其他标识,必要时还应标出认证标记。
警告标志、铭牌、标记和标识牌就具有足够的耐用性,以经得住复杂使用环境的影响。
17.2 警告标志
不能清楚表明其中装有电气器件的外壳,都应标出形状符合IEC 60417-2:1998中5036图形符号的黑边、黄底、黑色闪电符号
,其整体应与ISO 3864:1984中的符号B3.6一致。
外壳门或盖上的警告标志应清晰可见。
下列情况可省去警告标志:
——装有电源切断和开关电器的外壳;
——人机接口或控制站;
——具有自身外壳的单个器件(如位置传感器)。
17.3 功能识别
用作人机接口的控制器件、目视指示器和显示器(尤其是涉及安全功能的器件),应在其上或在其附近作出与它们功能有关的清晰耐久的标记。这些标记可由设备的用户与供方之间商定(见附录A)。宜优先选用IEC 60417-1和ISO
7000规定的标准符号。
17.4 控制设备的标记
控制设备(如成套控制设备)应作出清晰耐久的标记,使得在设备被安装后标记仍清晰可见,铭牌应尽可能固定在外壳上并给出下列信息:
——供方名称或商标;
——认证标记(需要时);
——产品编号(如有时);
——额定电压、相数和频率(如果是交流),每个电源的满载电流(见IEC 61082);
——随设备提供的机械过电流保护器件的短路分断能力;
——电气图编号或电气图索引号。
铭牌上标示的满载电流,不应小于正常使用条件下能同时运行的所有电动机和其他设备的满载电流之和。如果在异常的负载或工作循环条件下,热等效电流(见B.2)应包含在铭牌上给定的满载电流中。
对于具有多个运动驱动装置的起重机械,铭牌可由有关文件代替。
17.5 参考代号
所有外壳、组件、控制器件和元件应清晰标出与技术文件相一致的符合GB 5094.1规定的参考代号。
如果尺寸或位置使得难以采用单独的参考代号,则应采用组合参考代号。
例外:本条要求可能不适用于其电气设备仅由一台电动机、电动机控制器、按钮控制站和工作照明组成的起重机械。
18 技术文件
18.1 概述
为了安装、操作和维护起重机械电气设备所需的资料,应以图纸、简图、表图、表格和说明书的形式提供。这些资料应采用商定的语言(见附录A)。
提供的资料可随提供的电气设备的复杂程度而异。对于很简单的设备,有关资料可以包容在一份文件中,只要这份文件能显示电气设备的所有器并使之能够连接到供电网上即可。

技术文件至少应包括下列信息:
——电气设备的正常工作条件,包括对电源的期望条件和所适用的实际环境;
——装卸、运输和存放方法;
——设备不适宜使用的条件。
这些信息可作为单独的文件提供或作为安装或操作文件的一部分提供。
必要时该文件还应包括有关负载电流、峰值起动电流和允许电压降的信息。这些信息应在系统图或电路图上提供。
18.5 安装图
安装图庆给出架设起重机械的准备工作所需的所有资料。在复杂情况下,有关细节需要参阅装配图。
应清楚表明现场应安装的电源电缆的推荐位置、类型和截面积。
应给出选择起重机械电气设备电源线过电流保护器件的类型、特性、额定电流和整定电流所需的数据(见7.2.2)。
必要时,应详细说明由用户准备的地基中的管道的尺寸,用途和位置,见附录A。
应详细说明起重机和由用户提供的有关设备之间的管道,电缆托架或电缆支承物的尺寸、类型及用途(见附录A)。
必要时,图中应表明移动或维修电气设备所需的空间。
注1:安装图的示例见GB/T 6988.4。
此外,必要时应提供接线图或接线表。这种图或表应给出所有外部连接的完整信息。如果电气设备预定使用多个电源供电,则接线图或表应指出使用的每个电源所要求的变更或连接方法。
注2接线图/表的示例见GB/T 6988.3。
18.6 框图(系统图)和功能图
必要时应提供柜图(系统图)以便了解操作原理。框图(系统图)象征性地表示电气设备及其功能关系而无需表示出所有互连关系。
注1:框图的示例可见GB/T 6988.1-1997中第2章。
功能图可用作框图(系统图)的一部分,或除了框图(系统图)之外还有功能图。
注2:功能图的示例见GB/T 6988.1-1997中第2章以及GB/T 6988.2-1997中第4章。
18.7 电路图
如果框图(系统图)不能充分表明电气设备各单元的细节,则应提供电路图。这些图应示出起重机械及其有关电气设备上的电路。GB/T 4728中未示出的那些图形符号,都应单独指明,并应在图上和技术文件上分别示出和说明。起重机械上的和所有文件中的元器件的符号和标志应是完全一致的。
注:电路图的示例见GB/T 6988.1。
在适当地场合应提供表明接口连接用接线端子图。为了简化,这种图可与电路图一起使用。这种图宜包括每个单元具体电路图的参考资料。
在机电图上,开关符号应以供给源全部断的状态(如电源、空气、水、润滑剂)示出,起重机械及其电气设备以正常起动的状态示出。
导线应按照14.2的规定标记。
电路图的表示方法应便于理解电路的功能、便于维护和确定故障位置。有些控制器件和元件的功能特性,若从它们的符号表示法上不能明显表达出来,则庆在图上其符号附近说明或加脚注。
18.8 操作说明书
技术文件应包含有一份操作说明书详述设备的正确安装和使用方法。应特别提醒注意所规定的安全措施和预计会出现不正确的操作方法。
如果设备操作可以编程,则应提供编程方法、需要的设备、程序校验和附加安全措施(需要时)方面的详细资料。
18.9 维修说明书
技术文件中应包含有一份详述调整、维护与预防性检查以及修理的正确程序的维护说明书。维修/使用记录的推荐格式应为该说明书的一部分。如果提供正确运行的方法(如软件调试程序),则应详细说明这些方法的使用。
18.10 元器件清单
元器件清单至少应包括订购备件或替换件所需的信息(如元件、器件、软件、测试设备、技术文件),这些件是预防性维修或设备保养所需要的,其中包括建议由设备的用户库存的元器件。
元器件清单应列出下列项目:
——文件中所用的参考代号;
——形式代号;
——供方和现有的替代货源;
——适用的一般特性。
19 试验和检验
19.1 概述
本标准对起重机械电气设备规定了一般要求。对于某种特殊型式起重机械的有关试验,将在单独的产品标准中给出。如果标准起重机械(见3.59)没有单独的产品标准,则一台起重机械样机应进行下列的试验:
——检验电气设备是否符合技术文件;
——保护接地电路的连续性(见19.2);
——绝缘电阻检验(见19.3);
——功能试验(见19.4)。
这些试验应在现场安装的每台起重机械上进行。
当起重机械电气设备变动时,应采用19.5规定的要求。
19.2 保护接地电路的连续性。
当完成起重机械安装和电气设备连接(包括与电源的连接)后,可按照IEC 60364-6-61:1986中612.6.3的规定进行回路阻抗试验来检验保护接地电路的连续性。
对于保护接地回路不超过30m的小型起重机械、预制造的起重机械或起重机械部件,如果起重机械不能连接到回路阻抗试验的电源上,则下列方法是适用的:
——保护接地电路的连续性,应通过引入来自PELV电源的50Hz或60Hz至少10A的电流来验证。该试验在PE端子(见5.2)和作为保护接地电路一部分的相关点间进行;
——PE端子和各测试点间的实测电压应不超过表9所规定的值(见8.2.2)。
表9 保护接地电路连续性的检验

19.3 绝缘电阻检验
在动力电路导线和保护接地电路之间施加500V(d.c.)时测得的绝缘电阻应不小于1MΩ。该试验可在整套电气装置的各部分上进行。
例外:对于电气设备的某些元器件,例如:母线、集电导线、滑触线系统或滑环组件,可允许较低的最小值,但应不小于50kΩ。
19.4 功能试验
电气设备的各种功能,尤其是有关安全和安全防护措施的功能,都应进行试验。
19.5 重复试验
如果起重机械及其有关设备的一部分经过了变动或更改,这些部分应重新进行试验和检验(见19.1)。
附录A
(提示的附录)
起得机械电气设备查询表
建议由设备的预定用户提供下列信息。这些信息有助于用户和供方之间就基本条件和用户的附加要求达到一致,以确保起重机械电气设备的正确设计、使用和利用(见4.1)。
制造厂/供方名称____________________________________________________________
最终用户名称_______________________________________________________________
投标书/订单编号______________________
日期 ________________________________
起重机械型式/产品编号______________________________________________________
1.在本标准中的规定范围内有无更改考虑?有_____________
无 __________________
工况-特殊要求(见4.4)
2.环境温度范围_____________________________________________________________
3.湿度范围_________________________________________________________________
4.海拔高度_________________________________________________________________
5.环境条件(如腐蚀性气体、颗粒物、电磁兼容性)_____________________________
6.辐射_____________________________________________________________________
7.振动、冲击_______________________________________________________________
8.特殊的安装和工作要求(如电缆和导线的阻燃要求)___________________________
电源及相关条件(见4.3)
9.预期的电压波动(如果超过±10%)_________________________________________
10.预期的频率波动(如果超过4.3.2中的规定)
短时频率允许值的规定_______________________________________________________
11.说明电气设备今后可能的变化,这种变化对电源提出需要增加要求______________
12.指明需要的各种电源:
额定电压(V)_______________a.c._____________________d.c.__________________
如为a.c.,相数___________________频率____________________________________Hz
起重机械电源处的预期短路电流____________________________kA(r.m.s.)(见问题15)
超过4.3.2中规定值的偏差___________________________________________________
13.电源的接地型式(见IEC 60364-3):
——TN〔系统具有一个直接接地点,保护导线(PE)直接接到此点上〕______________
——TT〔系统具有一个直接接地点,但保护导线(PE)不接到系统的接地点上〕_______
——IT(系统不直接接地)_________________________________________________
14.电气设备是否连接电源中线(N)?(见5.1)
连接______________不连接________________
15.电源线的过电流保护是由用户还是由供方提供?(见7.2.2)
过电流保护器件的型式和额定值___________________________
16.电源切断和开关电器
——是否需要断开中线(N)? 需要______________不需要______________
——是否允许中线(N)连接? 允许______________不允许______________
——所提供的切断开关的型式
17.接至该电源输入线路可直接起动的三相交流电动机功率限值______________kW
18.电动机过载检测器件的数目是否可以减少?(见7.3)
可以______________不可以______________
19.当起重机械设置局部照明时:
——最高允许电压_______________________________________________________V
——如果照明电路电压不是直接取自电源,则说明优选电压______________V
其他需要考虑的事项
20.功能标识(见17.3)______________
21.铭文/专用标记
——认证标记
有______________无______________如果有,是哪种?
——是否在电气设备上?______________用何种语言?______________
22.技术文件(见18.1)
在何种媒介上?______________用何种语言?______________
23.由用户提供的管道、开式电缆托架或电缆支架的尺寸、位置和用途(见18.5)(必要时提供附页说明)。
24.在设备正常运行期间,哪类下列人员可以接近电柜内容?
——熟练的人员____________________________
——经过训练的人员____________________________
25.为扣紧门或盖而提供的锁是可取下钥匙的吗(见6.2.2)?
26.如果要提供双手控制,说明型式:____________________________
如果用型式Ⅲ,说明每对按钮操作的时间限制(最大0.5s)____________________________
27.是否有影响起重机械或成套控制设备运往安装地点时尺寸或重量的特别限制,如有,予以说明:
——最大尺寸__________________________________________
——最大重量__________________________________________
28.每小时吊运循环的平均次数量多少?____________________________
注:一个吊运循环包括从起重机械吊运某一载荷开始到作好吊运下一个载荷的准备时为止的所有操作。
起重机械以此频率操作不出现间歇的预定时间是多长?____________________________h
29.对于无线控制系统,在没有有效信号的情况下,起重机械自动激发停止前的延时是多少(9.2.7.3)______________s
30.是否需要专门的导线标识方法用于14.2.4中涉及的导线?
需要______________不需要______________型式______________
附录B
(提示的附录)
机电电气设备中导线和电缆的载流量和过电流保护
本附录的目的是在表5(见第13章)的给定条件不同时(见表5注)为选择导线尺寸提供附加信息。
B1 一般工作条件
B1.1 环境温度
表5给出了环境温度40℃时的PVC绝缘导线的载流量。对于其他环境温度,安装者应按表B1给出的系数修正载流量值。
表B1 修正系数

B1.2 安装方法
图B1中所示的起重机械上电柜与设备各单元之间的导线和电缆的安装方法视作为典型的(所用的字母按IEC 60364-5-523):
——方法B1:用电气导管(见3.8)和电缆管道装置(见3.6)放置和保护导线(单芯电缆);
——方法B2:同B1,但用于多芯电缆;
——方法C:没有管道或电气导管,电缆悬挂装壁侧;
——方法E:电缆水平或垂直装在开式电缆托架上(见3.5)。

图B1 导线和电缆的安装方法
B1.3 组合安装
表5的载流量值是基于:
——一条截面积为0.75mm2以上(含0.75mm2)的三相交流负载电缆;
——一对截面积分别为0.2mm2和0.75mm2的直流控制电路负载线对(两根导线)。
如果安装多条负载电缆/线对,则表5的载流量值应按表B2或表B3的规定减额使用。
控制电路导线一般无须折算。

B1.4 导线的分类
表B4 导线的分类

B2 断续工作制的应用
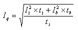
对于周期性断续工作制的应用(如在电动机发生频繁起动的场合),需要计算热等效均方根电流Iq,看其是否超过稳态设计电流Ib。在Iq> Ib情况下,为了选择电缆及与过电流保护相协调,建议用Iq代替Ib。Iq可按下式计算:

式中:Iq——热等效电流,A;
Ii——起动电流,A;
Ib——稳态电流,A;
ti——起动时间,s;
tb——负载持续时间,s;
ts——周期工作时间,s;
B3 导线与保护器件间的协调
B3.1 在各种情况下都应存在着下列关系;
Ib≤In
Ib≤Iz
式中:In——过电流保护器件的额定电流或整定电流,A;
Iz——在有关特定安装条件下,电缆的连续工作有效载流量,A。
B3.2 在期望用过电流保护器件提供过载保护的情况下,应存在着下列关系:
Ib≤In≤Iz
I2≤1.45 Iz
式中:Iz——持续1h后会导致保护器件脱扣的最小电流,A。
B3.3 在只期望用过电流保护器件提供短路保护的情况下:
In可以大于Iz;
I2可以大于1.45 Iz。
不过要记住,万一发生短路,与Iz相比,In越高,超过极限导线短路温度的可能性也越大。在导线较细(≤16mm2)的情况下尤其是这样。关于计算方法见B4。
B4 导线的过电流保护
所有导线都要用接在所有带电导线中的保护器件进行过电流保护(见7.2),使得在导线达到最高允许温度之前切断线缆中流动的任何短路电流(见表4)。以工作温度为70℃的PVC绝缘导线为例,短路电流持续时间不超过5s,便能使该导线从70℃热至160℃。
注:关于中线见7.2.3第二段。
事实上,当保护器件在电流I作用下,在决不超过t的时间内使电路切断便能达到7.2的要求。
时间t值(以秒为单位)应按下式计算:
t=(k×S/I)2
式中:S——截面积,mm2;
I——用交流方均根值表达的有效短路电流,A;
k——采用下列材料绝缘的铜导线的系数:
聚氯乙烯 115
橡胶 141
硅橡胶 132
交联聚乙烯 143
乙烯丙烯混合物 143
采用gG或gM型特性的熔断器(见IEC 60269-1)和按照IEC 60898的B和C型特性的断路器可确保符合本要求。这适用于当按表5选择额定电流In时,其中In≤Iz。
附录C
(提示的附录)
紧急操作功能的解释
注:为了统一对术语“紧急”的使用,下面这些概念正在欧洲进行讨论。此处提到的这些术语是为了使读者能更好地理解这些术语的范围,尽管本标准只采用了其中两个。
紧急操作
紧急操作是指用来尽可能快地消除可能已意外发生的危险的一种操作。
紧急操作包括如下单独的或组合的操作:
——紧急停车;
——紧急起动;
——紧急断开;
——紧急接通。
紧急停车
是指用于停止已变得危险的某种过程或运动的一种紧急操作。
紧急起动
是指用于起动某种过程或运动以消除或避免危险情况的一种紧急操作。
紧急断开
是指在有电击或其他电源性危险的场合用于断开一套设施的全部或部分电源的一种紧急操作。
紧急接通
是指用于接通预期用于紧急情况的一套设施的部分电源的一种紧急操作。
附录D
(提示的附录)
参考资料
IEC
60228:1978 绝缘电缆导线
IEC 60228A:1982 第1次补充:圆导线尺寸限值指南
IEC 60269-1:1986 低压熔断器 第1部分:一般要求
IEC 60870-5-1:1990 遥控设备和系统 第5部分:通信协议
第1节:通信系统格式
IEC 60898:1995 电气辅助设备 家用或类似设备的过电流保护用断路器
索引
本索引按字母顺序列出了第3章中定义的术语,并指出它们在本标准正文中使用的地方。
A
Actuator 操动器 3.1,3.46,5.3.6.2,9.2.5.8,9.3.4,10.1.2,10.2.1,10.2.2,10.4,10.6,10.7.4,15.6
Ambient(air)temperature 3.2,4.4.3,13.1,13.4(表5),A2,B1.1
环境(空气)温度
B
Barrier 隔板 3.3,3.20,3.22,3.23,3.30,5.3.6.1,6.2.1,6.2.2,6.2.5,12.2.2,13.8.1,14.1.3,14.4.3
C
Cabin controlled hoisting machine 3.4,9.2.5.9
司机室操纵的起重机械
cable tray 电缆托架 3.5,14.4.2,14.5.1,18.5,A23,B1.2
cable trunking system 3.6,3.19,14.1.3,14.4.2,14.5.1,14.5.6,14.5.7,B1.2
电缆管道装置
concurrent 联合引发 3.7,9.2.5.2,9.2.5.7
conduit 电气导管 3.8,3.19,14.1.1,14.1.3,14.4.2,14.4.3,14.5.1,14.5.3,14.5.4,14.5.5,15.4,B1.2
control circuit 控制电路 3.9,3.10,3.47,4.1,5.4,7.2.4,8.3.2,9.1.1,9.1.2,9.1.3,9.1.4,9.4.2.1,9.4.2.2,9.4.2.3,9.4.3.1,9.4.3.3,9.5,12.2.2,13.6表6,13.8.8,14.2.4,14.4.5,B1.3
control device 控制器件 3.10,3.7,7.1,8.3.2,9.1.1,9.1.4,9.2.4,9.2.5.2,9.2.5.6,9.2.5.7,9.2.5.8,9.2.6,9.3.4,9.4.2.1,10.1.2,10.1.3,10.5,12.2.1,12.2.2,14.3,17.3,17.5,18.7
controlgear 控制设备 3.11,6.3.2.2,9.2.5.4,12.1,12.2.1,12.2.2,12.3,12.5,12.5.1,17.4,A27
controlled stop 可控停止 3.12,9.2.2
crane 起重机 3.13,图 2,1,4.3.2,4.6,5.3.8.1,7.8.8,8.2.1,10.7.1.1,13.8.1
crane-disconnector 起重机隔离器
3.14,5.3.1,5.3.6,5.3.8.2,5.4,13.8.1
crane-switch 起重机开关 3.15,5.3.1,5.3.6.1,5.3.7,7.1,10.7.1.1
crane-supply-switch
起重机电源开关 3.16,1,4.3.1,4.3.2,5.1,5.3.1,5.3.2,5.3.5,5.3.5.3, 5.3.6.1,9.2.5.4,10.7.1.1,10.7.1.1,13.5
D
digital 数字的 3.17,11.2.1
direct contact 直接接触 3.18,3.3,3.23,3.42,6.1,6.2.1,6.2.2,6.2.4,6.4.1,9.2.5.4.3,10.1.3,12.3,13.8.1
duct 管道 3.19,7.2.8,8.2.3,13.3,13.8.8,14.1.3,14.3,14.4.1,14.4.2,14.5.1,14.5.2,18.5,A23,B1.2
E
Electrical operating area 3.20,9.2.5.4.3,12.5.3
电气工作区
electronic equipment 电子设备
3.21,1,4.3.3,11,11.2.1,11.3.4
enclosed electrical operating area 3.22,5.4,5.5,5.6,6.2.2,12.3
封闭电气工作区
enclosure 外壳 3.23,3.6,3.11,4.4.2,5.3.3,6.2.2,6.2.4,7.2.8,8.2.3,8.2.5,9.1.4,10.1.1,12.2.1,12.2.2,12.3,12.4,13.4,13.6,13.8.1,13.8.8,14.3,14.4.1,14.4.2,14.5.6,15.2,16.2.1,16.2.2,17.2,17.4,A24,B1.2
equipnent 设备 3.24,1,3.2,3.6,3.11,3.20,3.21,3.22,3.23,3.26, 3.39,3.47,3.51,3.56,3.60,3.64,4.1,4.2,4.3.1,4.3.3,4.4.1,4.4.2,4.4.3,4.4.4,4.4.5,4.4.6,4.4.7,4.4.8,4.5,4.6,4.7,5.1,5.3.3,5.3.5.2,5.3.6.1,5.3.7.1,5.3.8.1,5.4,5.5,6.1,6.2.1,6.2.2,6.2.4,6.3.1,6.3.2.1,6.3.2.2,6.4.1,7.1,7.2.2,7.2.5,7.7,7.9,8.2.1,8.2.2,8.2.3,8.3.1,8.3.3,9.2.7.4,9.4.1,10.3.2,11.2.2,11.3.3,11.3.4,12.1,12.2.1,12.2.2,12.3,12.4,13.4,13.6,14.3,14.4.2,14.4.5,14.5.3,15.1,15.5,16.1,17.1,17.4,17.5,18.1,18.2,18.3,18.4,18.5,18.6,18.7,18.8,18.10,19.1,19.3,19.4,19.5,附录A
equipotential bonding 3.25,8,11.2.2,13.8.8
等电位连接
exposed conductive part 3.26,3.25,3.33,3.49,6.3.1,6.3.2.3,6.3.3,8.2.1,外露可导电部分 8.2.3,8.2.5,8.3.2
extraneous conductive part 3.27,3.25,3.49,8.2.1
外部可导电部分
F
Failure 失效 3.28,3.29,3.48,4.1,6.3.1,6.3.2.2,6.3.2.3,6.3.3,8.2.5,8.3.1,9.3.4,9.4.1,9.4.2.1,9.4.2.2,9.4.2.3,9.4.3.1,9.4.3.2
Fault 故障 3.29,3.26,3.28,3.33,3.44,4.1,6.3.2.4,6.3.3,6.4.2,7.1,7.2.9,7.7,8.2.1,9.1.4,9.2.5.1,9.2.7.3,9.4.2.3,18.7
G
Guard 防护装置 3.30,3.35,3.54,9.4.1,9.4.2.3,10.7.2,18.2
H
Hand-held direct-control device 3.31,9.1
手持直接控制器件
hazard 危害 3.32,3.34,3.54,3.55,3.58,4.1,5.4,6.2.4,6.3.1,8.2.5,9.2.5.4.2,9.2.5.4.3,9.4.1,9.4.2.3,10.7.1.1,11.3.4,13.3,14.3
I
Indirect contact 间接接触 3.33,6.1,6.3.1,6.4.1,9.2.5.10
(electrically) instructed person 3.34,3.20,3.22,6.2.2,8.2.4,13.8.1,A24
(电气)经过训练的人员
interlock (for safeguarding) 3.35,6.2.2,9.1.1,9.2.5.1,9.2.5.3,9.3.1,9.4.1,9.4.2.3,18.2
(安全防护用)联锁
L
Limiting device 限制装置 3.36,7.3,9.2.5.9,9.3.2
Live part 带电部分 3.37,3.18,6.2.2,6.2.3,6.2.4,6.3.1,6.3.2.3,6.4.1,8.2.5,12.5.4,13.8.1,14.4.7
M
machine actuator 机械执行机构 3.38,3.1,3.39,3.63,9.3.4,15.6
machinery (machine) 机械(机器)
3.39,3.13,3.29,5.4,9.3.5,17.4
marking 标记 3.40,5.2,5.3.6.1,5.4,5.5,6.2.2,9.1.4,12.2.1,12.2.2,14.1.1,14.2.2,17.1,17.3,A21
N
neutral conductor (symbol N) 中 3.41,3.37,5.1,5.3.3,7.2.3,7.3,9.4.3.1,13.8.2,14.2.3,B4
O
obstacle 阻挡物 3.42,6.2.1,6.2.6,9.2.5.4.3,13.8.1,图5
overcurrent 过电流 3.43,3.44,3.57,7.1,7.2.1,7.2.2,7.2.3,7.2.4,7.2.5,7.2.6,7.2.7,7.2.8,7.2.9,7.2.10,7.7,8.2.4,9.1.3,15.1,15.6,16.1,16.2.2,17.4,18.5,B.15,附录B
overload (of a circuit) 3.44,7.1,7.3,9.1.4,15.6,16.1,B3.2
(电路的)过载
P
Plrg/socket combination 3.45,5.3.2,5.3.6.2,5.6,8.2.6,12.2.1,14.3,14.4.5,14.4.6
插头/插座组合
positive (or direct) opening operation
3.46,9.4.2.1,10.1.4,10.7.2
肯定(或直接)断开操作
power circuit 动力电路 3.47,3.31,3.39,4.1,4.2.2,7.2.3,7.2.9,9.1.1,12.2.2,13.8.8,14.2.4,19.3
protective bonding circuit 3.48,5.1,5.2,6.3.3,6.4.1,7.2.4,8.2.1,8.2.3,8.2.4,8.2.5,8.2.6,8.3.2,8.3.3,9.1.1,9.1.4,9.4.2.1,9.4.3.1,11.2.2,13.8.2,14.1.1,14.5.1,16.1,16.2.1,19.1,19.2,19.3
保护接地电路
protective conductor 保护导体
3.49,3.48,5.1,5.2,8.2.1,8.2.2,8.2.3,8.2.4,8.2.7,13.8.2,13.8.3,13.8.4,13.8.8,14.1.1,14.1.2,14.2.2,A13
R
redundancy 冗余技术 3.50,9.4.1,9.4.2.2
reference designation 3.51,12.2.1,17.5,18.3,18.10
risk 危险 3.52,3.34,3.37,3.53,3.58,4.1,5.5,9.2.5.3,9.2.5.7,9.4.1,12.4,附录C
S
safe working procedure 3.53,4.1
安全工作步骤
safeguard 安全防护装置 3.54,3.55,4.1,9.2.5.2,9.3.1,18.2
safeguarding 安全防护 3.55,3.35,4.1,9.2.3.9.2.4,18.2,19.4
servicing level 维修站台 3.56,5.3.4,10.1.2,12.2.1
short-circuit current 短路电流
3.57,7.2.9,13.8.8,A12,B4
(electrically) skilled person 3.58,3.20,3.22,3.34,6.2.2,8.2.4,13.8.1,A24
(电气)熟练的人员
standard hoisting machine 3.59,4.1,19.1
标准起重机械
supplier 供方 3.60,4.1,4.2.2,4.3.1,4.4.1,4.4.7,4.4.8,4.7,6.2.2,7.2.2,7.2.7,7.2.10,10.3.2,11.2.2,12.4,13.3,14.2.1,17.1,17.3,17.4,18.1,18.3,18.10,附录A
switching device 开关电器 3.61,3.11,3.15,3.16,3.31,5.3.2,5.3.3,5.3.4,7.2.10,7.3,7.9,8.2.4,9.4.2.1,10.7.1.1,14.4.4,17.2,A16
T
terminal 端子 3.62,3.49,4.4.2,5.1,5.2,6.2.2,6.4.2,7.2.7,7.9,8.2.1,8.2.7,8.3.3,9.1.4,12.2.1,12.2.2,14.1.1,14.1.2,14.3,14.4.4,14.4.6,14.4.7,15.4,18.7,19.2
U
uncontrolled stop 不可控停止 3.63,9.2.2
user 用户 3.64,1,3.60,4.1,4.3.1,4.3.2,4.4.1,4.4.7,4.4.8,7.2.2,7.2.9,7.3,10.3.2,14.2.1,15.5,17.3,18.5,18.10,附录A